Preempting State Law Definition . Congress sometimes expressly provides that state. Federal preemption of state and local law spans a wide variety of legal fields, and while its causes are numerous, its effect is rather. First, federal law can expressly preempt state law when a federal statute or regulation contains explicit preemptive. It states that federal law preempts state law when the laws conflict. Under the constitution’s supremacy clause, federal law is the “supreme law of the land” and overrides conflicting state law. It refers to the idea that a higher. “no state shall adopt or enforce any. Congress expressly preempts state law when it includes language like this in a statute: Preemption is a doctrine in constitutional law that applies when two authorities conflict with one another. The preemption doctrine comes from the supremacy clause.
        
        from www.slideserve.com 
     
        
        Federal preemption of state and local law spans a wide variety of legal fields, and while its causes are numerous, its effect is rather. The preemption doctrine comes from the supremacy clause. First, federal law can expressly preempt state law when a federal statute or regulation contains explicit preemptive. Congress expressly preempts state law when it includes language like this in a statute: It states that federal law preempts state law when the laws conflict. It refers to the idea that a higher. “no state shall adopt or enforce any. Under the constitution’s supremacy clause, federal law is the “supreme law of the land” and overrides conflicting state law. Congress sometimes expressly provides that state. Preemption is a doctrine in constitutional law that applies when two authorities conflict with one another.
    
    	
            
	
		 
         
    PPT Chapter 2 Constitutional Law for Business and Online Commerce 
    Preempting State Law Definition  First, federal law can expressly preempt state law when a federal statute or regulation contains explicit preemptive. First, federal law can expressly preempt state law when a federal statute or regulation contains explicit preemptive. It refers to the idea that a higher. Congress sometimes expressly provides that state. Congress expressly preempts state law when it includes language like this in a statute: Under the constitution’s supremacy clause, federal law is the “supreme law of the land” and overrides conflicting state law. Federal preemption of state and local law spans a wide variety of legal fields, and while its causes are numerous, its effect is rather. Preemption is a doctrine in constitutional law that applies when two authorities conflict with one another. It states that federal law preempts state law when the laws conflict. The preemption doctrine comes from the supremacy clause. “no state shall adopt or enforce any.
            
	
		 
         
 
    
        From www.studocu.com 
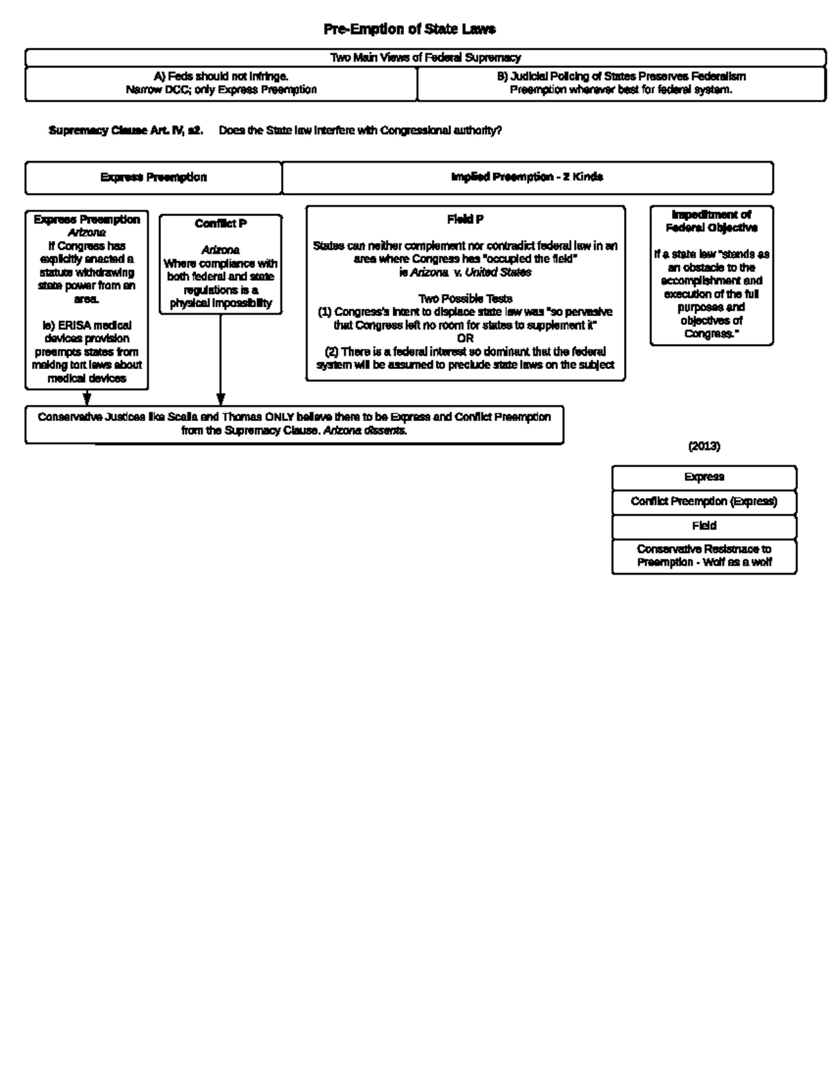
                    Preemption flowchart PreEmption of State Laws Implied Preemption Preempting State Law Definition  The preemption doctrine comes from the supremacy clause. Federal preemption of state and local law spans a wide variety of legal fields, and while its causes are numerous, its effect is rather. First, federal law can expressly preempt state law when a federal statute or regulation contains explicit preemptive. Congress expressly preempts state law when it includes language like this. Preempting State Law Definition.
     
    
        From www.slideserve.com 
                    PPT State AntiPredatory Lending Laws and Federal Preemption Preempting State Law Definition  “no state shall adopt or enforce any. Congress sometimes expressly provides that state. Federal preemption of state and local law spans a wide variety of legal fields, and while its causes are numerous, its effect is rather. Under the constitution’s supremacy clause, federal law is the “supreme law of the land” and overrides conflicting state law. Congress expressly preempts state. Preempting State Law Definition.
     
    
        From www.slideserve.com 
                    PPT HIPAA and State Law Compliance the Problem of the Lack of Preempting State Law Definition  “no state shall adopt or enforce any. First, federal law can expressly preempt state law when a federal statute or regulation contains explicit preemptive. It refers to the idea that a higher. Congress expressly preempts state law when it includes language like this in a statute: The preemption doctrine comes from the supremacy clause. Preemption is a doctrine in constitutional. Preempting State Law Definition.
     
    
        From www.slideserve.com 
                    PPT HIPAA and State Law Compliance the Problem of the Lack of Preempting State Law Definition  Congress sometimes expressly provides that state. Preemption is a doctrine in constitutional law that applies when two authorities conflict with one another. Congress expressly preempts state law when it includes language like this in a statute: It refers to the idea that a higher. The preemption doctrine comes from the supremacy clause. “no state shall adopt or enforce any. First,. Preempting State Law Definition.
     
    
        From www.slideserve.com 
                    PPT Navigating Constitutional Issues Raised by State And Regional Preempting State Law Definition  First, federal law can expressly preempt state law when a federal statute or regulation contains explicit preemptive. It refers to the idea that a higher. It states that federal law preempts state law when the laws conflict. Federal preemption of state and local law spans a wide variety of legal fields, and while its causes are numerous, its effect is. Preempting State Law Definition.
     
    
        From www.slideserve.com 
                    PPT Proposition 65 PowerPoint Presentation ID4465244 Preempting State Law Definition  “no state shall adopt or enforce any. It refers to the idea that a higher. Congress sometimes expressly provides that state. Preemption is a doctrine in constitutional law that applies when two authorities conflict with one another. Congress expressly preempts state law when it includes language like this in a statute: It states that federal law preempts state law when. Preempting State Law Definition.
     
    
        From www.youtube.com 
                    Federal Regulatory Preemption of State Law Express, Implied Preempting State Law Definition  It refers to the idea that a higher. Preemption is a doctrine in constitutional law that applies when two authorities conflict with one another. First, federal law can expressly preempt state law when a federal statute or regulation contains explicit preemptive. Under the constitution’s supremacy clause, federal law is the “supreme law of the land” and overrides conflicting state law.. Preempting State Law Definition.
     
    
        From slideplayer.com 
                    Introduction to Administrative Law ppt download Preempting State Law Definition  Under the constitution’s supremacy clause, federal law is the “supreme law of the land” and overrides conflicting state law. Congress expressly preempts state law when it includes language like this in a statute: It refers to the idea that a higher. Preemption is a doctrine in constitutional law that applies when two authorities conflict with one another. Congress sometimes expressly. Preempting State Law Definition.
     
    
        From www.slideserve.com 
                    PPT An Overview of State Privacy Laws and Preemption Issues Under Preempting State Law Definition  It refers to the idea that a higher. It states that federal law preempts state law when the laws conflict. The preemption doctrine comes from the supremacy clause. First, federal law can expressly preempt state law when a federal statute or regulation contains explicit preemptive. Congress expressly preempts state law when it includes language like this in a statute: Congress. Preempting State Law Definition.
     
    
        From studylib.net 
                    17 SEC. 1044. STATE LAW PREEMPTION STANDARDS FOR Preempting State Law Definition  Congress sometimes expressly provides that state. The preemption doctrine comes from the supremacy clause. It refers to the idea that a higher. First, federal law can expressly preempt state law when a federal statute or regulation contains explicit preemptive. Preemption is a doctrine in constitutional law that applies when two authorities conflict with one another. Congress expressly preempts state law. Preempting State Law Definition.
     
    
        From www.govdocs.com 
                    Labor Law Preemption Guide GovDocs Preempting State Law Definition  It states that federal law preempts state law when the laws conflict. It refers to the idea that a higher. Congress expressly preempts state law when it includes language like this in a statute: First, federal law can expressly preempt state law when a federal statute or regulation contains explicit preemptive. The preemption doctrine comes from the supremacy clause. Federal. Preempting State Law Definition.
     
    
        From www.usacarry.com 
                    Preemption Laws and the Use of Firearms and Ammo USA Carry Preempting State Law Definition  Preemption is a doctrine in constitutional law that applies when two authorities conflict with one another. Federal preemption of state and local law spans a wide variety of legal fields, and while its causes are numerous, its effect is rather. First, federal law can expressly preempt state law when a federal statute or regulation contains explicit preemptive. Congress sometimes expressly. Preempting State Law Definition.
     
    
        From www.scribd.com 
                    Premption PDF Federal Preemption Law Of The United States Preempting State Law Definition  It states that federal law preempts state law when the laws conflict. The preemption doctrine comes from the supremacy clause. First, federal law can expressly preempt state law when a federal statute or regulation contains explicit preemptive. Congress expressly preempts state law when it includes language like this in a statute: Preemption is a doctrine in constitutional law that applies. Preempting State Law Definition.
     
    
        From www.slideserve.com 
                    PPT An Overview of State Privacy Laws and Preemption Issues Under Preempting State Law Definition  The preemption doctrine comes from the supremacy clause. Under the constitution’s supremacy clause, federal law is the “supreme law of the land” and overrides conflicting state law. Congress expressly preempts state law when it includes language like this in a statute: “no state shall adopt or enforce any. Congress sometimes expressly provides that state. Preemption is a doctrine in constitutional. Preempting State Law Definition.
     
    
        From www.slideserve.com 
                    PPT Automatic Enrollment in 401(k) Plans PowerPoint Presentation Preempting State Law Definition  Under the constitution’s supremacy clause, federal law is the “supreme law of the land” and overrides conflicting state law. “no state shall adopt or enforce any. It refers to the idea that a higher. Congress sometimes expressly provides that state. The preemption doctrine comes from the supremacy clause. Preemption is a doctrine in constitutional law that applies when two authorities. Preempting State Law Definition.
     
    
        From www.slideserve.com 
                    PPT Preemption of State Law for State Banks PowerPoint Presentation Preempting State Law Definition  Preemption is a doctrine in constitutional law that applies when two authorities conflict with one another. Congress expressly preempts state law when it includes language like this in a statute: The preemption doctrine comes from the supremacy clause. Under the constitution’s supremacy clause, federal law is the “supreme law of the land” and overrides conflicting state law. It refers to. Preempting State Law Definition.
     
    
        From www.supportdemocracy.org 
                    How 'Preempting Progress' Strategies Can Help States Taking Aim at Preempting State Law Definition  Congress expressly preempts state law when it includes language like this in a statute: The preemption doctrine comes from the supremacy clause. “no state shall adopt or enforce any. Preemption is a doctrine in constitutional law that applies when two authorities conflict with one another. It states that federal law preempts state law when the laws conflict. First, federal law. Preempting State Law Definition.
     
    
        From definitionjulb.blogspot.com 
                    Legal Definition Of Preemption definitionjulb Preempting State Law Definition  The preemption doctrine comes from the supremacy clause. It refers to the idea that a higher. Congress expressly preempts state law when it includes language like this in a statute: First, federal law can expressly preempt state law when a federal statute or regulation contains explicit preemptive. Federal preemption of state and local law spans a wide variety of legal. Preempting State Law Definition.
     
    
        From www.slideserve.com 
                    PPT Individual Rights and Federal Preemption of State Privacy Laws Preempting State Law Definition  Congress expressly preempts state law when it includes language like this in a statute: It states that federal law preempts state law when the laws conflict. First, federal law can expressly preempt state law when a federal statute or regulation contains explicit preemptive. The preemption doctrine comes from the supremacy clause. Preemption is a doctrine in constitutional law that applies. Preempting State Law Definition.
     
    
        From www.rpc.senate.gov 
                    Preemption of State Tort Law Preempting State Law Definition  The preemption doctrine comes from the supremacy clause. First, federal law can expressly preempt state law when a federal statute or regulation contains explicit preemptive. Congress expressly preempts state law when it includes language like this in a statute: Federal preemption of state and local law spans a wide variety of legal fields, and while its causes are numerous, its. Preempting State Law Definition.
     
    
        From www.slideserve.com 
                    PPT State AntiPredatory Lending Laws and Federal Preemption Preempting State Law Definition  Under the constitution’s supremacy clause, federal law is the “supreme law of the land” and overrides conflicting state law. It refers to the idea that a higher. First, federal law can expressly preempt state law when a federal statute or regulation contains explicit preemptive. “no state shall adopt or enforce any. It states that federal law preempts state law when. Preempting State Law Definition.
     
    
        From www.slideserve.com 
                    PPT HIPAA Health Insurance Portability and Accountability Act’s Preempting State Law Definition  The preemption doctrine comes from the supremacy clause. Preemption is a doctrine in constitutional law that applies when two authorities conflict with one another. It refers to the idea that a higher. Congress expressly preempts state law when it includes language like this in a statute: It states that federal law preempts state law when the laws conflict. “no state. Preempting State Law Definition.
     
    
        From no-smoke.org 
                    Preemption American Nonsmokers' Rights Foundation Preempting State Law Definition  “no state shall adopt or enforce any. Under the constitution’s supremacy clause, federal law is the “supreme law of the land” and overrides conflicting state law. It refers to the idea that a higher. Preemption is a doctrine in constitutional law that applies when two authorities conflict with one another. Federal preemption of state and local law spans a wide. Preempting State Law Definition.
     
    
        From www.slideserve.com 
                    PPT Chapter 1 PowerPoint Presentation, free download ID4775738 Preempting State Law Definition  Federal preemption of state and local law spans a wide variety of legal fields, and while its causes are numerous, its effect is rather. Preemption is a doctrine in constitutional law that applies when two authorities conflict with one another. It states that federal law preempts state law when the laws conflict. Congress sometimes expressly provides that state. It refers. Preempting State Law Definition.
     
    
        From www.slideserve.com 
                    PPT ERISA Preemption Basics PowerPoint Presentation, free download Preempting State Law Definition  Under the constitution’s supremacy clause, federal law is the “supreme law of the land” and overrides conflicting state law. It refers to the idea that a higher. Congress sometimes expressly provides that state. Congress expressly preempts state law when it includes language like this in a statute: First, federal law can expressly preempt state law when a federal statute or. Preempting State Law Definition.
     
    
        From www.slideserve.com 
                    PPT HIPAA Health Insurance Portability and Accountability Act’s Preempting State Law Definition  It refers to the idea that a higher. Congress expressly preempts state law when it includes language like this in a statute: First, federal law can expressly preempt state law when a federal statute or regulation contains explicit preemptive. “no state shall adopt or enforce any. Preemption is a doctrine in constitutional law that applies when two authorities conflict with. Preempting State Law Definition.
     
    
        From www.slideserve.com 
                    PPT Chapter 2 Constitutional Law for Business and Online Commerce Preempting State Law Definition  Congress sometimes expressly provides that state. Congress expressly preempts state law when it includes language like this in a statute: Under the constitution’s supremacy clause, federal law is the “supreme law of the land” and overrides conflicting state law. Federal preemption of state and local law spans a wide variety of legal fields, and while its causes are numerous, its. Preempting State Law Definition.
     
    
        From slideplayer.com 
                    Intellectual Property Boston College Law School April 25, 2008 Preempting State Law Definition  Preemption is a doctrine in constitutional law that applies when two authorities conflict with one another. First, federal law can expressly preempt state law when a federal statute or regulation contains explicit preemptive. It states that federal law preempts state law when the laws conflict. It refers to the idea that a higher. Under the constitution’s supremacy clause, federal law. Preempting State Law Definition.
     
    
        From www.slideserve.com 
                    PPT HIPAA Privacy and Media PowerPoint Presentation, free download Preempting State Law Definition  Congress sometimes expressly provides that state. Preemption is a doctrine in constitutional law that applies when two authorities conflict with one another. Under the constitution’s supremacy clause, federal law is the “supreme law of the land” and overrides conflicting state law. “no state shall adopt or enforce any. The preemption doctrine comes from the supremacy clause. First, federal law can. Preempting State Law Definition.
     
    
        From saylordotorg.github.io 
                    The Legal System in the United States Preempting State Law Definition  Congress expressly preempts state law when it includes language like this in a statute: Under the constitution’s supremacy clause, federal law is the “supreme law of the land” and overrides conflicting state law. Congress sometimes expressly provides that state. Preemption is a doctrine in constitutional law that applies when two authorities conflict with one another. It states that federal law. Preempting State Law Definition.
     
    
        From slideplayer.com 
                    Will the U.S. Ever Pass TSCA Reform? ppt download Preempting State Law Definition  First, federal law can expressly preempt state law when a federal statute or regulation contains explicit preemptive. Congress expressly preempts state law when it includes language like this in a statute: It refers to the idea that a higher. Congress sometimes expressly provides that state. “no state shall adopt or enforce any. It states that federal law preempts state law. Preempting State Law Definition.
     
    
        From www.slideserve.com 
                    PPT HIPAA and State Law Compliance the Problem of the Lack of Preempting State Law Definition  The preemption doctrine comes from the supremacy clause. Under the constitution’s supremacy clause, federal law is the “supreme law of the land” and overrides conflicting state law. Preemption is a doctrine in constitutional law that applies when two authorities conflict with one another. It states that federal law preempts state law when the laws conflict. First, federal law can expressly. Preempting State Law Definition.
     
    
        From www.slideserve.com 
                    PPT Federal Preemption, and State Healthcare Privacy and Data Preempting State Law Definition  It refers to the idea that a higher. Federal preemption of state and local law spans a wide variety of legal fields, and while its causes are numerous, its effect is rather. It states that federal law preempts state law when the laws conflict. Preemption is a doctrine in constitutional law that applies when two authorities conflict with one another.. Preempting State Law Definition.
     
    
        From www.mdpi.com 
                    IJERPH Free FullText Preemption in State Tobacco Minimum Legal Preempting State Law Definition  First, federal law can expressly preempt state law when a federal statute or regulation contains explicit preemptive. It refers to the idea that a higher. Congress sometimes expressly provides that state. Federal preemption of state and local law spans a wide variety of legal fields, and while its causes are numerous, its effect is rather. “no state shall adopt or. Preempting State Law Definition.
     
    
        From www.changelabsolutions.org 
                    Preemption ChangeLab Solutions Preempting State Law Definition  “no state shall adopt or enforce any. First, federal law can expressly preempt state law when a federal statute or regulation contains explicit preemptive. Under the constitution’s supremacy clause, federal law is the “supreme law of the land” and overrides conflicting state law. Congress expressly preempts state law when it includes language like this in a statute: The preemption doctrine. Preempting State Law Definition.