Emission Spectra Calculations .  for example, by studying emission spectra of the stars, we can determine their chemical composition.   our rydberg equation calculator is a tool that helps you compute and understand the hydrogen emission spectrum.  emission and absorption spectra form the basis of spectroscopy, which uses spectra to provide information about the structure.  the emission spectrum (or line spectrum) of a chemical element is the unique pattern of light obtained when the element is subjected to heat or.  the atomic hydrogen emission spectrum.  the energy levels of the hydrogen atom are quantized. Also, emission spectra are used to identify poisons in food,. This page introduces the atomic hydrogen emission spectrum, showing how it arises from electron. Calculate the energy of a single photon of red light with a wavelength of 700.0 nm and the.   this page introduces the atomic hydrogen emission spectrum, showing how it arises from electron.
        
        from www.researchgate.net 
     
        
        This page introduces the atomic hydrogen emission spectrum, showing how it arises from electron.  the energy levels of the hydrogen atom are quantized.  the emission spectrum (or line spectrum) of a chemical element is the unique pattern of light obtained when the element is subjected to heat or.  the atomic hydrogen emission spectrum.  for example, by studying emission spectra of the stars, we can determine their chemical composition.   this page introduces the atomic hydrogen emission spectrum, showing how it arises from electron. Also, emission spectra are used to identify poisons in food,.   our rydberg equation calculator is a tool that helps you compute and understand the hydrogen emission spectrum. Calculate the energy of a single photon of red light with a wavelength of 700.0 nm and the.  emission and absorption spectra form the basis of spectroscopy, which uses spectra to provide information about the structure.
    
    	
            
	
		 
         
    Figure S2. Nonnormalized upconversion emission spectra for the sample 
    Emission Spectra Calculations  Calculate the energy of a single photon of red light with a wavelength of 700.0 nm and the. This page introduces the atomic hydrogen emission spectrum, showing how it arises from electron.  emission and absorption spectra form the basis of spectroscopy, which uses spectra to provide information about the structure. Calculate the energy of a single photon of red light with a wavelength of 700.0 nm and the.   this page introduces the atomic hydrogen emission spectrum, showing how it arises from electron.  the atomic hydrogen emission spectrum.   our rydberg equation calculator is a tool that helps you compute and understand the hydrogen emission spectrum.  the energy levels of the hydrogen atom are quantized. Also, emission spectra are used to identify poisons in food,.  the emission spectrum (or line spectrum) of a chemical element is the unique pattern of light obtained when the element is subjected to heat or.  for example, by studying emission spectra of the stars, we can determine their chemical composition.
            
	
		 
         
 
    
        From wisc.pb.unizin.org 
                    Emission Spectra and H Atom Levels (M7Q3) UWMadison Chemistry 103/ Emission Spectra Calculations   emission and absorption spectra form the basis of spectroscopy, which uses spectra to provide information about the structure.  the atomic hydrogen emission spectrum.  the emission spectrum (or line spectrum) of a chemical element is the unique pattern of light obtained when the element is subjected to heat or. This page introduces the atomic hydrogen emission spectrum, showing. Emission Spectra Calculations.
     
    
        From slidetodoc.com 
                    Experiment Observations Conclusions Model DOUBLE SLIT EXPERIMENT Emission Spectra Calculations   the emission spectrum (or line spectrum) of a chemical element is the unique pattern of light obtained when the element is subjected to heat or.  the energy levels of the hydrogen atom are quantized.  emission and absorption spectra form the basis of spectroscopy, which uses spectra to provide information about the structure. This page introduces the atomic. Emission Spectra Calculations.
     
    
        From studylib.net 
                    quantum calculations of hydrogen spectrum Emission Spectra Calculations   the energy levels of the hydrogen atom are quantized. Calculate the energy of a single photon of red light with a wavelength of 700.0 nm and the.  emission and absorption spectra form the basis of spectroscopy, which uses spectra to provide information about the structure.   this page introduces the atomic hydrogen emission spectrum, showing how it arises. Emission Spectra Calculations.
     
    
        From www.studypool.com 
                    SOLUTION Atomic Emission Spectra Studypool Emission Spectra Calculations    our rydberg equation calculator is a tool that helps you compute and understand the hydrogen emission spectrum.  emission and absorption spectra form the basis of spectroscopy, which uses spectra to provide information about the structure.  the atomic hydrogen emission spectrum.  the emission spectrum (or line spectrum) of a chemical element is the unique pattern of light. Emission Spectra Calculations.
     
    
        From www.researchgate.net 
                    Emission spectra of Ca2YNbO6Mn annealed in different atmospheric Emission Spectra Calculations  Also, emission spectra are used to identify poisons in food,.  the energy levels of the hydrogen atom are quantized.  emission and absorption spectra form the basis of spectroscopy, which uses spectra to provide information about the structure.   our rydberg equation calculator is a tool that helps you compute and understand the hydrogen emission spectrum.  the atomic. Emission Spectra Calculations.
     
    
        From www.factorworksheets.com 
                    Get Answer Atomic Emission Spectra Worksheet Part I Calculations Emission Spectra Calculations   the atomic hydrogen emission spectrum. Calculate the energy of a single photon of red light with a wavelength of 700.0 nm and the. Also, emission spectra are used to identify poisons in food,.  emission and absorption spectra form the basis of spectroscopy, which uses spectra to provide information about the structure.   this page introduces the atomic hydrogen. Emission Spectra Calculations.
     
    
        From www.researchgate.net 
                    normalized emission spectra of complexes 13 in the solid state at (a Emission Spectra Calculations   the emission spectrum (or line spectrum) of a chemical element is the unique pattern of light obtained when the element is subjected to heat or.   our rydberg equation calculator is a tool that helps you compute and understand the hydrogen emission spectrum. Calculate the energy of a single photon of red light with a wavelength of 700.0 nm. Emission Spectra Calculations.
     
    
        From dokumen.tips 
                    (PPTX) ATOMIC SPECTRA Objectives 1. Determine the emission spectrum of Emission Spectra Calculations  This page introduces the atomic hydrogen emission spectrum, showing how it arises from electron.  the energy levels of the hydrogen atom are quantized.  the emission spectrum (or line spectrum) of a chemical element is the unique pattern of light obtained when the element is subjected to heat or.  the atomic hydrogen emission spectrum. Calculate the energy of. Emission Spectra Calculations.
     
    
        From www.youtube.com 
                    How to calculate band gap energy from photoluminescence (PL) in origin Emission Spectra Calculations   the atomic hydrogen emission spectrum.  the emission spectrum (or line spectrum) of a chemical element is the unique pattern of light obtained when the element is subjected to heat or.  the energy levels of the hydrogen atom are quantized. Calculate the energy of a single photon of red light with a wavelength of 700.0 nm and the.. Emission Spectra Calculations.
     
    
        From ceknofbz.blob.core.windows.net 
                    Emission Spectra Formula at John Wagner blog Emission Spectra Calculations    our rydberg equation calculator is a tool that helps you compute and understand the hydrogen emission spectrum.  the atomic hydrogen emission spectrum. This page introduces the atomic hydrogen emission spectrum, showing how it arises from electron.   this page introduces the atomic hydrogen emission spectrum, showing how it arises from electron. Calculate the energy of a single photon. Emission Spectra Calculations.
     
    
        From studylib.net 
                    Name Date______ Hydrogen Emission Spectrum Calculations Emission Spectra Calculations    this page introduces the atomic hydrogen emission spectrum, showing how it arises from electron.  for example, by studying emission spectra of the stars, we can determine their chemical composition.  emission and absorption spectra form the basis of spectroscopy, which uses spectra to provide information about the structure.  the atomic hydrogen emission spectrum. Also, emission spectra are. Emission Spectra Calculations.
     
    
        From www.researchgate.net 
                    Emission spectra of AgEu1 sample Download Scientific Diagram Emission Spectra Calculations    this page introduces the atomic hydrogen emission spectrum, showing how it arises from electron.  the emission spectrum (or line spectrum) of a chemical element is the unique pattern of light obtained when the element is subjected to heat or.  emission and absorption spectra form the basis of spectroscopy, which uses spectra to provide information about the structure.. Emission Spectra Calculations.
     
    
        From www.youtube.com 
                    The Emission Spectrum of the Hydrogen Atom YouTube Emission Spectra Calculations  Calculate the energy of a single photon of red light with a wavelength of 700.0 nm and the.  the energy levels of the hydrogen atom are quantized. This page introduces the atomic hydrogen emission spectrum, showing how it arises from electron.  the emission spectrum (or line spectrum) of a chemical element is the unique pattern of light obtained. Emission Spectra Calculations.
     
    
        From www.researchgate.net 
                    Alpha emission spectra of the 40 Ca(e, e α) reaction summed over an Emission Spectra Calculations   the atomic hydrogen emission spectrum.  for example, by studying emission spectra of the stars, we can determine their chemical composition. This page introduces the atomic hydrogen emission spectrum, showing how it arises from electron.   our rydberg equation calculator is a tool that helps you compute and understand the hydrogen emission spectrum.   this page introduces the atomic. Emission Spectra Calculations.
     
    
        From www.comsol.com 
                    Calculating the Emission Spectra from Common Light Sources COMSOL Blog Emission Spectra Calculations  This page introduces the atomic hydrogen emission spectrum, showing how it arises from electron. Also, emission spectra are used to identify poisons in food,. Calculate the energy of a single photon of red light with a wavelength of 700.0 nm and the.  the energy levels of the hydrogen atom are quantized.   our rydberg equation calculator is a tool. Emission Spectra Calculations.
     
    
        From www.coursehero.com 
                    [Solved] 8. Hydrogen has several lines in its emission spectrum Emission Spectra Calculations  This page introduces the atomic hydrogen emission spectrum, showing how it arises from electron.  the atomic hydrogen emission spectrum. Also, emission spectra are used to identify poisons in food,.   our rydberg equation calculator is a tool that helps you compute and understand the hydrogen emission spectrum.  emission and absorption spectra form the basis of spectroscopy, which uses. Emission Spectra Calculations.
     
    
        From www.researchgate.net 
                    Finiteelement calculations and device emission spectrum. (a) Graphical Emission Spectra Calculations    this page introduces the atomic hydrogen emission spectrum, showing how it arises from electron. Calculate the energy of a single photon of red light with a wavelength of 700.0 nm and the.  the energy levels of the hydrogen atom are quantized. Also, emission spectra are used to identify poisons in food,.  the atomic hydrogen emission spectrum. . Emission Spectra Calculations.
     
    
        From www.numerade.com 
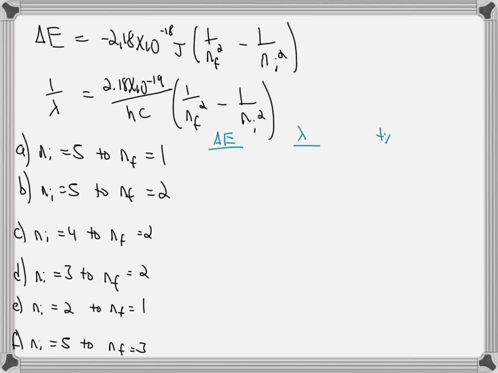
                    SOLVED For the hydrogen emission spectra, calculate the energy and Emission Spectra Calculations   the energy levels of the hydrogen atom are quantized. Also, emission spectra are used to identify poisons in food,.  the atomic hydrogen emission spectrum.   our rydberg equation calculator is a tool that helps you compute and understand the hydrogen emission spectrum. This page introduces the atomic hydrogen emission spectrum, showing how it arises from electron.   this. Emission Spectra Calculations.
     
    
        From www.chegg.com 
                    Solved Part I. Calculating the line spectrum of hydrogen 1. Emission Spectra Calculations   emission and absorption spectra form the basis of spectroscopy, which uses spectra to provide information about the structure.  the atomic hydrogen emission spectrum.   this page introduces the atomic hydrogen emission spectrum, showing how it arises from electron.  for example, by studying emission spectra of the stars, we can determine their chemical composition. Calculate the energy of. Emission Spectra Calculations.
     
    
        From www.studypool.com 
                    SOLUTION 20201012023722atomic Emission Spectra Studypool Emission Spectra Calculations  This page introduces the atomic hydrogen emission spectrum, showing how it arises from electron.  the energy levels of the hydrogen atom are quantized.  emission and absorption spectra form the basis of spectroscopy, which uses spectra to provide information about the structure.   this page introduces the atomic hydrogen emission spectrum, showing how it arises from electron.  the. Emission Spectra Calculations.
     
    
        From www.researchgate.net 
                    (A,B) Emission spectra of 1 × 10⁻⁵ M of compounds (a) 3, (b) 5 exciting Emission Spectra Calculations   emission and absorption spectra form the basis of spectroscopy, which uses spectra to provide information about the structure. This page introduces the atomic hydrogen emission spectrum, showing how it arises from electron.   this page introduces the atomic hydrogen emission spectrum, showing how it arises from electron.  the atomic hydrogen emission spectrum. Calculate the energy of a single. Emission Spectra Calculations.
     
    
        From www.chegg.com 
                    Solved Use the emission spectra in the figure below to Emission Spectra Calculations   the emission spectrum (or line spectrum) of a chemical element is the unique pattern of light obtained when the element is subjected to heat or.  for example, by studying emission spectra of the stars, we can determine their chemical composition. Also, emission spectra are used to identify poisons in food,. Calculate the energy of a single photon of. Emission Spectra Calculations.
     
    
        From poozacreations.blogspot.com 
                    Types of emission and absorption spectra Pooza Creations Emission Spectra Calculations  This page introduces the atomic hydrogen emission spectrum, showing how it arises from electron. Also, emission spectra are used to identify poisons in food,.  emission and absorption spectra form the basis of spectroscopy, which uses spectra to provide information about the structure. Calculate the energy of a single photon of red light with a wavelength of 700.0 nm and. Emission Spectra Calculations.
     
    
        From www.numerade.com 
                    SOLVED Please show steps when performing calculations to fill in the Emission Spectra Calculations   for example, by studying emission spectra of the stars, we can determine their chemical composition. Calculate the energy of a single photon of red light with a wavelength of 700.0 nm and the. This page introduces the atomic hydrogen emission spectrum, showing how it arises from electron. Also, emission spectra are used to identify poisons in food,.  the. Emission Spectra Calculations.
     
    
        From www.researchgate.net 
                    Comparison between TMM calculations and emission spectra for device C Emission Spectra Calculations   the energy levels of the hydrogen atom are quantized. Calculate the energy of a single photon of red light with a wavelength of 700.0 nm and the.  the atomic hydrogen emission spectrum. Also, emission spectra are used to identify poisons in food,.  for example, by studying emission spectra of the stars, we can determine their chemical composition.. Emission Spectra Calculations.
     
    
        From www.researchgate.net 
                    a emission spectra; b normalized emission spectra; c UV spectrum (left Emission Spectra Calculations    our rydberg equation calculator is a tool that helps you compute and understand the hydrogen emission spectrum.  emission and absorption spectra form the basis of spectroscopy, which uses spectra to provide information about the structure.  the energy levels of the hydrogen atom are quantized. This page introduces the atomic hydrogen emission spectrum, showing how it arises from. Emission Spectra Calculations.
     
    
        From ceknofbz.blob.core.windows.net 
                    Emission Spectra Formula at John Wagner blog Emission Spectra Calculations    this page introduces the atomic hydrogen emission spectrum, showing how it arises from electron.  emission and absorption spectra form the basis of spectroscopy, which uses spectra to provide information about the structure. This page introduces the atomic hydrogen emission spectrum, showing how it arises from electron.  the atomic hydrogen emission spectrum.  the energy levels of the. Emission Spectra Calculations.
     
    
        From www.youtube.com 
                    Emission Spectra Calculations for Dummies YouTube Emission Spectra Calculations   the energy levels of the hydrogen atom are quantized.  for example, by studying emission spectra of the stars, we can determine their chemical composition. Also, emission spectra are used to identify poisons in food,. Calculate the energy of a single photon of red light with a wavelength of 700.0 nm and the.  the atomic hydrogen emission spectrum.. Emission Spectra Calculations.
     
    
        From www.researchgate.net 
                    (a) Normalized emission, (b) actual emission, and (c) PLE spectra of Emission Spectra Calculations  Also, emission spectra are used to identify poisons in food,.  the energy levels of the hydrogen atom are quantized. This page introduces the atomic hydrogen emission spectrum, showing how it arises from electron.  the emission spectrum (or line spectrum) of a chemical element is the unique pattern of light obtained when the element is subjected to heat or.. Emission Spectra Calculations.
     
    
        From www.numerade.com 
                    SOLVED For the hydrogen emission spectra, calculate the energy and Emission Spectra Calculations    our rydberg equation calculator is a tool that helps you compute and understand the hydrogen emission spectrum.  for example, by studying emission spectra of the stars, we can determine their chemical composition. Calculate the energy of a single photon of red light with a wavelength of 700.0 nm and the.  emission and absorption spectra form the basis. Emission Spectra Calculations.
     
    
        From www.researchgate.net 
                    6. Model calculations of ENA emission energyspectra from the dust Emission Spectra Calculations   emission and absorption spectra form the basis of spectroscopy, which uses spectra to provide information about the structure.  the atomic hydrogen emission spectrum. Calculate the energy of a single photon of red light with a wavelength of 700.0 nm and the. Also, emission spectra are used to identify poisons in food,.  for example, by studying emission spectra. Emission Spectra Calculations.
     
    
        From www.youtube.com 
                    Emission Spectra of Hydrogen & Calculation of Number of Emission Lines Emission Spectra Calculations  This page introduces the atomic hydrogen emission spectrum, showing how it arises from electron.  the emission spectrum (or line spectrum) of a chemical element is the unique pattern of light obtained when the element is subjected to heat or.   our rydberg equation calculator is a tool that helps you compute and understand the hydrogen emission spectrum.  the. Emission Spectra Calculations.
     
    
        From www.researchgate.net 
                    Emission spectra of compounds 17 (10 5 M solution in CHCl 3 ) at room Emission Spectra Calculations   for example, by studying emission spectra of the stars, we can determine their chemical composition.  emission and absorption spectra form the basis of spectroscopy, which uses spectra to provide information about the structure.  the emission spectrum (or line spectrum) of a chemical element is the unique pattern of light obtained when the element is subjected to heat. Emission Spectra Calculations.
     
    
        From www.researchgate.net 
                    Figure S2. Nonnormalized upconversion emission spectra for the sample Emission Spectra Calculations  This page introduces the atomic hydrogen emission spectrum, showing how it arises from electron.  the energy levels of the hydrogen atom are quantized.   this page introduces the atomic hydrogen emission spectrum, showing how it arises from electron.  the emission spectrum (or line spectrum) of a chemical element is the unique pattern of light obtained when the element. Emission Spectra Calculations.
     
    
        From www.researchgate.net 
                    Fig. A.2. Upper panel emission spectrum of a synthetic,... Download Emission Spectra Calculations    our rydberg equation calculator is a tool that helps you compute and understand the hydrogen emission spectrum.  the atomic hydrogen emission spectrum.  the emission spectrum (or line spectrum) of a chemical element is the unique pattern of light obtained when the element is subjected to heat or.  emission and absorption spectra form the basis of spectroscopy,. Emission Spectra Calculations.