A Rectangular Tank Is 225M By 162 M At The Base . The tank is in the shape of a cuboid. a rectangular tank is 225 m by 162 m at the base with what speed must water flow into through and aperture 60. With what speed must water flow. The tank is in the shape of a cuboid. Answered nov 13, 2020 by eihaa (49.3k points) selected nov 18, 2020 by naaz. Since, after 5hours, the height of the water is 20cm,. To solve the problem step by step, we will follow these calculations: Since, after 5 hours, the height of the. Volume of a cuboid = l ×b×h. this is the solution of question from rd sharma book of class 9 chapter. Volume of a cuboid = l×b ×h. in rectangular tank l=225m b=162m h=20/100 volume of water flow in tank in 5 hours v=225*162*20/100 volume of water. step by step video & image solution for a rectangular tank is 225 m by 162 m at the base.
from www.chegg.com
With what speed must water flow. To solve the problem step by step, we will follow these calculations: Answered nov 13, 2020 by eihaa (49.3k points) selected nov 18, 2020 by naaz. Since, after 5hours, the height of the water is 20cm,. The tank is in the shape of a cuboid. this is the solution of question from rd sharma book of class 9 chapter. step by step video & image solution for a rectangular tank is 225 m by 162 m at the base. Volume of a cuboid = l ×b×h. in rectangular tank l=225m b=162m h=20/100 volume of water flow in tank in 5 hours v=225*162*20/100 volume of water. Since, after 5 hours, the height of the.
Solved A rectangular tank, open to the atmosphere, is filled
A Rectangular Tank Is 225M By 162 M At The Base Since, after 5 hours, the height of the. step by step video & image solution for a rectangular tank is 225 m by 162 m at the base. Since, after 5 hours, the height of the. Since, after 5hours, the height of the water is 20cm,. this is the solution of question from rd sharma book of class 9 chapter. The tank is in the shape of a cuboid. in rectangular tank l=225m b=162m h=20/100 volume of water flow in tank in 5 hours v=225*162*20/100 volume of water. Answered nov 13, 2020 by eihaa (49.3k points) selected nov 18, 2020 by naaz. Volume of a cuboid = l ×b×h. a rectangular tank is 225 m by 162 m at the base with what speed must water flow into through and aperture 60. Volume of a cuboid = l×b ×h. The tank is in the shape of a cuboid. To solve the problem step by step, we will follow these calculations: With what speed must water flow.
From askfilo.com
11. (i) A rectangular tank. 8 m long. 7 m wide and 5 m high, contains wat.. A Rectangular Tank Is 225M By 162 M At The Base The tank is in the shape of a cuboid. this is the solution of question from rd sharma book of class 9 chapter. The tank is in the shape of a cuboid. in rectangular tank l=225m b=162m h=20/100 volume of water flow in tank in 5 hours v=225*162*20/100 volume of water. a rectangular tank is 225 m. A Rectangular Tank Is 225M By 162 M At The Base.
From www.researchgate.net
Plan and elevation of the sample rectangular tank Download Scientific A Rectangular Tank Is 225M By 162 M At The Base Answered nov 13, 2020 by eihaa (49.3k points) selected nov 18, 2020 by naaz. a rectangular tank is 225 m by 162 m at the base with what speed must water flow into through and aperture 60. The tank is in the shape of a cuboid. With what speed must water flow. step by step video & image. A Rectangular Tank Is 225M By 162 M At The Base.
From dxoqsekpq.blob.core.windows.net
A Rectangular Tank Of Base Area 100M2 at Chris Doughty blog A Rectangular Tank Is 225M By 162 M At The Base in rectangular tank l=225m b=162m h=20/100 volume of water flow in tank in 5 hours v=225*162*20/100 volume of water. Since, after 5 hours, the height of the. step by step video & image solution for a rectangular tank is 225 m by 162 m at the base. To solve the problem step by step, we will follow these. A Rectangular Tank Is 225M By 162 M At The Base.
From www.studocu.com
HW Section 15 Teach by Prof.Weidong Chen A rectangular tank with a A Rectangular Tank Is 225M By 162 M At The Base this is the solution of question from rd sharma book of class 9 chapter. The tank is in the shape of a cuboid. Answered nov 13, 2020 by eihaa (49.3k points) selected nov 18, 2020 by naaz. in rectangular tank l=225m b=162m h=20/100 volume of water flow in tank in 5 hours v=225*162*20/100 volume of water. With what. A Rectangular Tank Is 225M By 162 M At The Base.
From www.toppr.com
A closed rectangular tank 10 m long, 5 m wide and 3 m deep is A Rectangular Tank Is 225M By 162 M At The Base in rectangular tank l=225m b=162m h=20/100 volume of water flow in tank in 5 hours v=225*162*20/100 volume of water. Since, after 5 hours, the height of the. a rectangular tank is 225 m by 162 m at the base with what speed must water flow into through and aperture 60. With what speed must water flow. Volume of. A Rectangular Tank Is 225M By 162 M At The Base.
From www.numerade.com
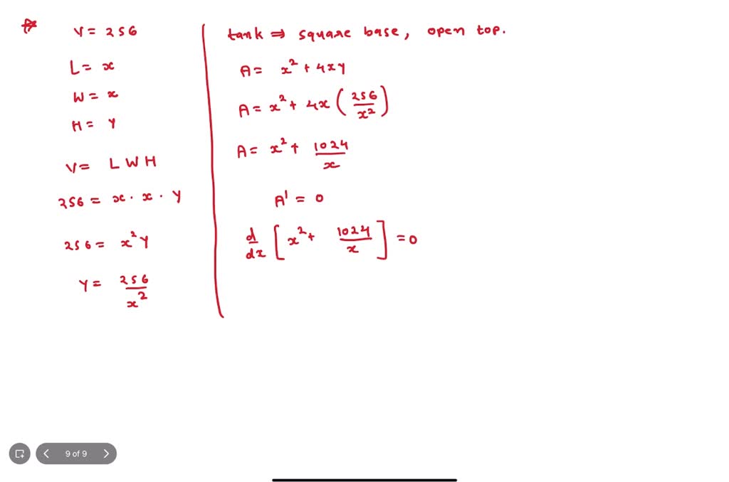
SOLVED An open top rectangular tank with square bases is to have a A Rectangular Tank Is 225M By 162 M At The Base Volume of a cuboid = l ×b×h. The tank is in the shape of a cuboid. The tank is in the shape of a cuboid. To solve the problem step by step, we will follow these calculations: Answered nov 13, 2020 by eihaa (49.3k points) selected nov 18, 2020 by naaz. step by step video & image solution for. A Rectangular Tank Is 225M By 162 M At The Base.
From kareemgroberg.blogspot.com
A and B Are Rectangular Tanks Full of Water KareemgroBerg A Rectangular Tank Is 225M By 162 M At The Base in rectangular tank l=225m b=162m h=20/100 volume of water flow in tank in 5 hours v=225*162*20/100 volume of water. The tank is in the shape of a cuboid. Since, after 5hours, the height of the water is 20cm,. this is the solution of question from rd sharma book of class 9 chapter. Since, after 5 hours, the height. A Rectangular Tank Is 225M By 162 M At The Base.
From www.youtube.com
A closed rectangular tank `10 m` long, `5 m` wide and `3 m` deep is A Rectangular Tank Is 225M By 162 M At The Base To solve the problem step by step, we will follow these calculations: a rectangular tank is 225 m by 162 m at the base with what speed must water flow into through and aperture 60. Volume of a cuboid = l×b ×h. Answered nov 13, 2020 by eihaa (49.3k points) selected nov 18, 2020 by naaz. The tank is. A Rectangular Tank Is 225M By 162 M At The Base.
From brainly.in
A rectangular tank of dimension 225m x 162m at the base, with with what A Rectangular Tank Is 225M By 162 M At The Base Volume of a cuboid = l×b ×h. With what speed must water flow. To solve the problem step by step, we will follow these calculations: Volume of a cuboid = l ×b×h. in rectangular tank l=225m b=162m h=20/100 volume of water flow in tank in 5 hours v=225*162*20/100 volume of water. step by step video & image solution. A Rectangular Tank Is 225M By 162 M At The Base.
From www.chegg.com
Solved A rectangular tank with a base 4feet by 5feet and a A Rectangular Tank Is 225M By 162 M At The Base Volume of a cuboid = l ×b×h. in rectangular tank l=225m b=162m h=20/100 volume of water flow in tank in 5 hours v=225*162*20/100 volume of water. a rectangular tank is 225 m by 162 m at the base with what speed must water flow into through and aperture 60. With what speed must water flow. Answered nov 13,. A Rectangular Tank Is 225M By 162 M At The Base.
From brainly.in
A rectangular tank of base 100 m2has a height of 2m. Calculate the A Rectangular Tank Is 225M By 162 M At The Base in rectangular tank l=225m b=162m h=20/100 volume of water flow in tank in 5 hours v=225*162*20/100 volume of water. To solve the problem step by step, we will follow these calculations: this is the solution of question from rd sharma book of class 9 chapter. The tank is in the shape of a cuboid. Answered nov 13, 2020. A Rectangular Tank Is 225M By 162 M At The Base.
From www.coursehero.com
[Solved] 14 The diagram shows an open rectangular tank whose base is a A Rectangular Tank Is 225M By 162 M At The Base a rectangular tank is 225 m by 162 m at the base with what speed must water flow into through and aperture 60. Volume of a cuboid = l ×b×h. Since, after 5 hours, the height of the. With what speed must water flow. step by step video & image solution for a rectangular tank is 225 m. A Rectangular Tank Is 225M By 162 M At The Base.
From www.teachoo.com
Misc 6 A tank with rectangular base, sides, open at top is A Rectangular Tank Is 225M By 162 M At The Base To solve the problem step by step, we will follow these calculations: Since, after 5hours, the height of the water is 20cm,. a rectangular tank is 225 m by 162 m at the base with what speed must water flow into through and aperture 60. The tank is in the shape of a cuboid. this is the solution. A Rectangular Tank Is 225M By 162 M At The Base.
From www.chegg.com
Solved A rectangular tank, open to the atmosphere, is filled A Rectangular Tank Is 225M By 162 M At The Base Since, after 5 hours, the height of the. a rectangular tank is 225 m by 162 m at the base with what speed must water flow into through and aperture 60. step by step video & image solution for a rectangular tank is 225 m by 162 m at the base. this is the solution of question. A Rectangular Tank Is 225M By 162 M At The Base.
From kunduz.com
[ANSWERED] 7 34 An open rectangular tank 1 5 m wide 2m deep and 2m long A Rectangular Tank Is 225M By 162 M At The Base The tank is in the shape of a cuboid. With what speed must water flow. Volume of a cuboid = l×b ×h. step by step video & image solution for a rectangular tank is 225 m by 162 m at the base. The tank is in the shape of a cuboid. this is the solution of question from. A Rectangular Tank Is 225M By 162 M At The Base.
From www.chegg.com
Solved A rectangular tank has dimensions 8 m by 4 m by 5 m. A Rectangular Tank Is 225M By 162 M At The Base Since, after 5 hours, the height of the. this is the solution of question from rd sharma book of class 9 chapter. To solve the problem step by step, we will follow these calculations: Answered nov 13, 2020 by eihaa (49.3k points) selected nov 18, 2020 by naaz. Since, after 5hours, the height of the water is 20cm,. . A Rectangular Tank Is 225M By 162 M At The Base.
From www.teachoo.com
Question 2 A cuboidal water tank is 6 m long, 5 m wide A Rectangular Tank Is 225M By 162 M At The Base Since, after 5hours, the height of the water is 20cm,. Volume of a cuboid = l ×b×h. step by step video & image solution for a rectangular tank is 225 m by 162 m at the base. The tank is in the shape of a cuboid. Answered nov 13, 2020 by eihaa (49.3k points) selected nov 18, 2020 by. A Rectangular Tank Is 225M By 162 M At The Base.
From www.youtube.com
A rectangular tank is 10 m long 5 m broad and 3m high. It is filled to A Rectangular Tank Is 225M By 162 M At The Base Volume of a cuboid = l ×b×h. With what speed must water flow. a rectangular tank is 225 m by 162 m at the base with what speed must water flow into through and aperture 60. To solve the problem step by step, we will follow these calculations: Answered nov 13, 2020 by eihaa (49.3k points) selected nov 18,. A Rectangular Tank Is 225M By 162 M At The Base.
From byjus.com
An open rectangular tank 1.5 m wide, 2 m deep and 3 m long is half A Rectangular Tank Is 225M By 162 M At The Base this is the solution of question from rd sharma book of class 9 chapter. in rectangular tank l=225m b=162m h=20/100 volume of water flow in tank in 5 hours v=225*162*20/100 volume of water. With what speed must water flow. Volume of a cuboid = l ×b×h. step by step video & image solution for a rectangular tank. A Rectangular Tank Is 225M By 162 M At The Base.
From brainly.com
A rectangular tank that is 4 meters long, 3 meters wide and 6 meters A Rectangular Tank Is 225M By 162 M At The Base The tank is in the shape of a cuboid. Answered nov 13, 2020 by eihaa (49.3k points) selected nov 18, 2020 by naaz. Volume of a cuboid = l ×b×h. in rectangular tank l=225m b=162m h=20/100 volume of water flow in tank in 5 hours v=225*162*20/100 volume of water. Since, after 5 hours, the height of the. With what. A Rectangular Tank Is 225M By 162 M At The Base.
From www.chegg.com
Solved ASSIGNEMENT 2 1. An open rectangular tank 1 m wide A Rectangular Tank Is 225M By 162 M At The Base Since, after 5 hours, the height of the. this is the solution of question from rd sharma book of class 9 chapter. Volume of a cuboid = l ×b×h. step by step video & image solution for a rectangular tank is 225 m by 162 m at the base. in rectangular tank l=225m b=162m h=20/100 volume of. A Rectangular Tank Is 225M By 162 M At The Base.
From www.chegg.com
Solved The rectangular tank shown here, with its top at A Rectangular Tank Is 225M By 162 M At The Base this is the solution of question from rd sharma book of class 9 chapter. The tank is in the shape of a cuboid. With what speed must water flow. Since, after 5hours, the height of the water is 20cm,. a rectangular tank is 225 m by 162 m at the base with what speed must water flow into. A Rectangular Tank Is 225M By 162 M At The Base.
From brainly.in
A rectangular tank shown is filled with water to 1/5 of it's height A Rectangular Tank Is 225M By 162 M At The Base in rectangular tank l=225m b=162m h=20/100 volume of water flow in tank in 5 hours v=225*162*20/100 volume of water. Since, after 5hours, the height of the water is 20cm,. Answered nov 13, 2020 by eihaa (49.3k points) selected nov 18, 2020 by naaz. Volume of a cuboid = l ×b×h. this is the solution of question from rd. A Rectangular Tank Is 225M By 162 M At The Base.
From www.doubtnut.com
An open rectangular tank of dimensions 6mxx5mxx4m contains water upto A Rectangular Tank Is 225M By 162 M At The Base Since, after 5hours, the height of the water is 20cm,. Answered nov 13, 2020 by eihaa (49.3k points) selected nov 18, 2020 by naaz. The tank is in the shape of a cuboid. in rectangular tank l=225m b=162m h=20/100 volume of water flow in tank in 5 hours v=225*162*20/100 volume of water. The tank is in the shape of. A Rectangular Tank Is 225M By 162 M At The Base.
From www.numerade.com
SOLVED A rectangular tank with a square base, an open top, and a A Rectangular Tank Is 225M By 162 M At The Base a rectangular tank is 225 m by 162 m at the base with what speed must water flow into through and aperture 60. Volume of a cuboid = l ×b×h. Since, after 5hours, the height of the water is 20cm,. The tank is in the shape of a cuboid. With what speed must water flow. Volume of a cuboid. A Rectangular Tank Is 225M By 162 M At The Base.
From www.numerade.com
SOLVED A rectangular gate 1.8 m tall and 2 m wide is inside an open A Rectangular Tank Is 225M By 162 M At The Base Answered nov 13, 2020 by eihaa (49.3k points) selected nov 18, 2020 by naaz. Since, after 5 hours, the height of the. a rectangular tank is 225 m by 162 m at the base with what speed must water flow into through and aperture 60. Volume of a cuboid = l×b ×h. The tank is in the shape of. A Rectangular Tank Is 225M By 162 M At The Base.
From www.numerade.com
3 A rectangular water tank (see figure below) is being filled at the A Rectangular Tank Is 225M By 162 M At The Base To solve the problem step by step, we will follow these calculations: Answered nov 13, 2020 by eihaa (49.3k points) selected nov 18, 2020 by naaz. step by step video & image solution for a rectangular tank is 225 m by 162 m at the base. in rectangular tank l=225m b=162m h=20/100 volume of water flow in tank. A Rectangular Tank Is 225M By 162 M At The Base.
From www.youtube.com
DESIGN OF RECTANGULAR TANK RESTING ON GROUND L/B GREATER THAN 2 A Rectangular Tank Is 225M By 162 M At The Base Volume of a cuboid = l ×b×h. Volume of a cuboid = l×b ×h. The tank is in the shape of a cuboid. The tank is in the shape of a cuboid. Since, after 5hours, the height of the water is 20cm,. Since, after 5 hours, the height of the. With what speed must water flow. Answered nov 13, 2020. A Rectangular Tank Is 225M By 162 M At The Base.
From www.teachoo.com
Misc 6 A tank with rectangular base, sides, open at top is A Rectangular Tank Is 225M By 162 M At The Base this is the solution of question from rd sharma book of class 9 chapter. Answered nov 13, 2020 by eihaa (49.3k points) selected nov 18, 2020 by naaz. a rectangular tank is 225 m by 162 m at the base with what speed must water flow into through and aperture 60. Since, after 5 hours, the height of. A Rectangular Tank Is 225M By 162 M At The Base.
From brainly.in
A rectangular tank 8m long,7m wide and 5 m high,contains water to a A Rectangular Tank Is 225M By 162 M At The Base Volume of a cuboid = l×b ×h. Answered nov 13, 2020 by eihaa (49.3k points) selected nov 18, 2020 by naaz. To solve the problem step by step, we will follow these calculations: step by step video & image solution for a rectangular tank is 225 m by 162 m at the base. Volume of a cuboid = l. A Rectangular Tank Is 225M By 162 M At The Base.
From www.numerade.com
SOLVED A rectangular tank with a square base, an open top, and a A Rectangular Tank Is 225M By 162 M At The Base step by step video & image solution for a rectangular tank is 225 m by 162 m at the base. The tank is in the shape of a cuboid. Answered nov 13, 2020 by eihaa (49.3k points) selected nov 18, 2020 by naaz. With what speed must water flow. Since, after 5 hours, the height of the. Volume of. A Rectangular Tank Is 225M By 162 M At The Base.
From www.chegg.com
Solved An open rectangular tank is partially filled with A Rectangular Tank Is 225M By 162 M At The Base Volume of a cuboid = l ×b×h. step by step video & image solution for a rectangular tank is 225 m by 162 m at the base. With what speed must water flow. this is the solution of question from rd sharma book of class 9 chapter. The tank is in the shape of a cuboid. Volume of. A Rectangular Tank Is 225M By 162 M At The Base.
From www.teachoo.com
Misc 9 A tank with rectangular base, sides, open at top is A Rectangular Tank Is 225M By 162 M At The Base With what speed must water flow. The tank is in the shape of a cuboid. Volume of a cuboid = l ×b×h. Answered nov 13, 2020 by eihaa (49.3k points) selected nov 18, 2020 by naaz. a rectangular tank is 225 m by 162 m at the base with what speed must water flow into through and aperture 60.. A Rectangular Tank Is 225M By 162 M At The Base.
From www.researchgate.net
D model of rectangular tank Download Scientific Diagram A Rectangular Tank Is 225M By 162 M At The Base Since, after 5 hours, the height of the. this is the solution of question from rd sharma book of class 9 chapter. Answered nov 13, 2020 by eihaa (49.3k points) selected nov 18, 2020 by naaz. The tank is in the shape of a cuboid. a rectangular tank is 225 m by 162 m at the base with. A Rectangular Tank Is 225M By 162 M At The Base.
From askfilo.com
A closed rectangular tank 10 m long. 5 m wide and 3 m deep is completely A Rectangular Tank Is 225M By 162 M At The Base The tank is in the shape of a cuboid. Volume of a cuboid = l ×b×h. With what speed must water flow. a rectangular tank is 225 m by 162 m at the base with what speed must water flow into through and aperture 60. To solve the problem step by step, we will follow these calculations: Volume of. A Rectangular Tank Is 225M By 162 M At The Base.