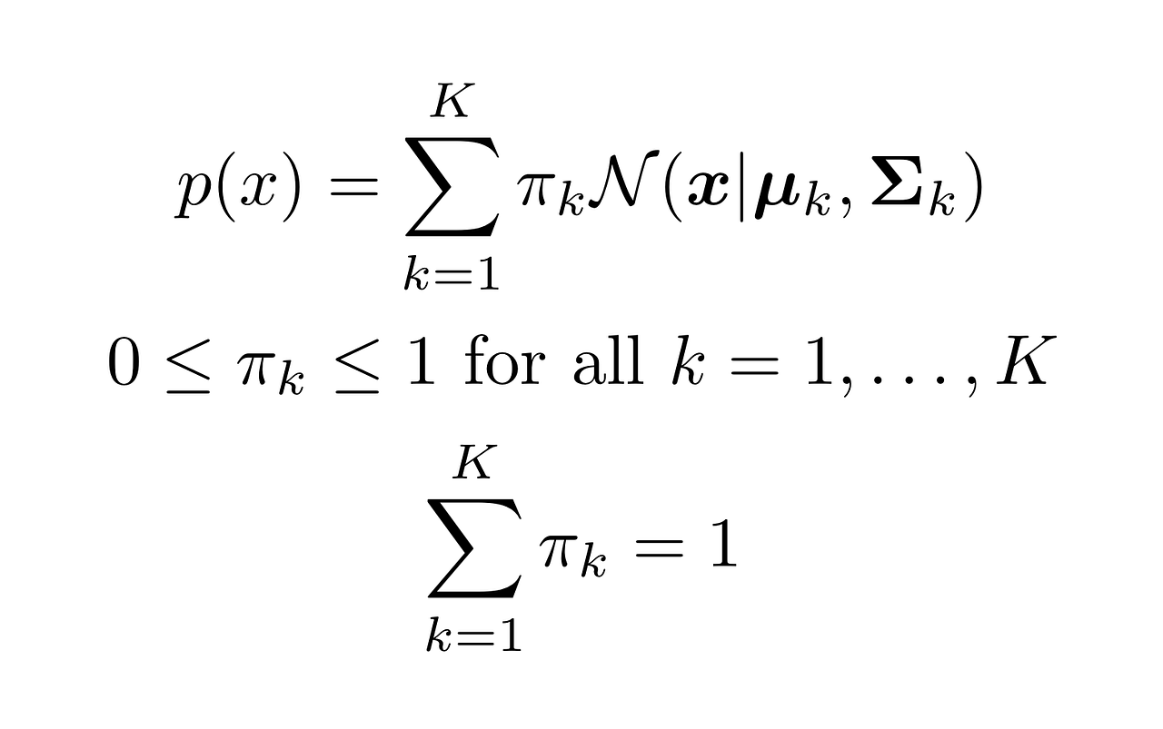
What Is Gaussian Mixture Model . The basic problem is, given. learn how to use gaussian mixture models to fit data with a mixture of gaussian distributions. — gaussian mixture models (gmms) are a type of probabilistic model used for clustering and density estimation. in statistics, a mixture model is a probabilistic model for representing the presence of subpopulations within an. — understand the complex concepts of the gaussian mixture model and learn to implement it from scratch with. Recognized as a robust statistical tool in machine learning and data science, gmms excel in estimating density and. A gaussian mixture is a function that is composed of several gaussians, each. In this chapter we will study gaussian mixture models and clustering. Compare different estimation strategies, covariance. — what is a gaussian mixture model? — gaussian mixture models (gmms) play a pivotal role in achieving this task. gaussian mixture models are a probabilistic model for representing normally distributed subpopulations within an overall population.
from www.slideserve.com
gaussian mixture models are a probabilistic model for representing normally distributed subpopulations within an overall population. — what is a gaussian mixture model? learn how to use gaussian mixture models to fit data with a mixture of gaussian distributions. Compare different estimation strategies, covariance. — gaussian mixture models (gmms) are a type of probabilistic model used for clustering and density estimation. in statistics, a mixture model is a probabilistic model for representing the presence of subpopulations within an. — understand the complex concepts of the gaussian mixture model and learn to implement it from scratch with. The basic problem is, given. — gaussian mixture models (gmms) play a pivotal role in achieving this task. Recognized as a robust statistical tool in machine learning and data science, gmms excel in estimating density and.
PPT Gaussian Mixture Model PowerPoint Presentation, free download
What Is Gaussian Mixture Model In this chapter we will study gaussian mixture models and clustering. learn how to use gaussian mixture models to fit data with a mixture of gaussian distributions. in statistics, a mixture model is a probabilistic model for representing the presence of subpopulations within an. — what is a gaussian mixture model? — gaussian mixture models (gmms) play a pivotal role in achieving this task. — understand the complex concepts of the gaussian mixture model and learn to implement it from scratch with. gaussian mixture models are a probabilistic model for representing normally distributed subpopulations within an overall population. Recognized as a robust statistical tool in machine learning and data science, gmms excel in estimating density and. Compare different estimation strategies, covariance. In this chapter we will study gaussian mixture models and clustering. A gaussian mixture is a function that is composed of several gaussians, each. — gaussian mixture models (gmms) are a type of probabilistic model used for clustering and density estimation. The basic problem is, given.
From www.researchgate.net
The Gaussian mixture model for analyzing longitude differences with What Is Gaussian Mixture Model A gaussian mixture is a function that is composed of several gaussians, each. — gaussian mixture models (gmms) are a type of probabilistic model used for clustering and density estimation. In this chapter we will study gaussian mixture models and clustering. — gaussian mixture models (gmms) play a pivotal role in achieving this task. Recognized as a robust. What Is Gaussian Mixture Model.
From www.researchgate.net
Gaussian mixture model (GMM) fits of histograms from the residual risk What Is Gaussian Mixture Model — what is a gaussian mixture model? A gaussian mixture is a function that is composed of several gaussians, each. Compare different estimation strategies, covariance. In this chapter we will study gaussian mixture models and clustering. The basic problem is, given. — understand the complex concepts of the gaussian mixture model and learn to implement it from scratch. What Is Gaussian Mixture Model.
From julienbeaulieu.gitbook.io
Gaussian Mixture Model Clustering JulienBeaulieu What Is Gaussian Mixture Model A gaussian mixture is a function that is composed of several gaussians, each. Recognized as a robust statistical tool in machine learning and data science, gmms excel in estimating density and. In this chapter we will study gaussian mixture models and clustering. learn how to use gaussian mixture models to fit data with a mixture of gaussian distributions. . What Is Gaussian Mixture Model.
From ramseyelbasheer.blogspot.com
Gaussian Mixture Model What Is Gaussian Mixture Model gaussian mixture models are a probabilistic model for representing normally distributed subpopulations within an overall population. The basic problem is, given. — gaussian mixture models (gmms) are a type of probabilistic model used for clustering and density estimation. learn how to use gaussian mixture models to fit data with a mixture of gaussian distributions. — what. What Is Gaussian Mixture Model.
From nixustechnologies.com
Gaussian Mixture Model Nixus What Is Gaussian Mixture Model Recognized as a robust statistical tool in machine learning and data science, gmms excel in estimating density and. A gaussian mixture is a function that is composed of several gaussians, each. gaussian mixture models are a probabilistic model for representing normally distributed subpopulations within an overall population. — understand the complex concepts of the gaussian mixture model and. What Is Gaussian Mixture Model.
From www.slideserve.com
PPT Gaussian Mixture Model PowerPoint Presentation, free download What Is Gaussian Mixture Model — understand the complex concepts of the gaussian mixture model and learn to implement it from scratch with. in statistics, a mixture model is a probabilistic model for representing the presence of subpopulations within an. — gaussian mixture models (gmms) play a pivotal role in achieving this task. — what is a gaussian mixture model? . What Is Gaussian Mixture Model.
From www.slideserve.com
PPT Univariate Gaussian Mixture Model PowerPoint Presentation, free What Is Gaussian Mixture Model — gaussian mixture models (gmms) play a pivotal role in achieving this task. — what is a gaussian mixture model? — gaussian mixture models (gmms) are a type of probabilistic model used for clustering and density estimation. In this chapter we will study gaussian mixture models and clustering. Compare different estimation strategies, covariance. — understand the. What Is Gaussian Mixture Model.
From fizzy.cc
Gaussian Mixture Model Fizzy What Is Gaussian Mixture Model — what is a gaussian mixture model? A gaussian mixture is a function that is composed of several gaussians, each. The basic problem is, given. learn how to use gaussian mixture models to fit data with a mixture of gaussian distributions. — gaussian mixture models (gmms) play a pivotal role in achieving this task. — gaussian. What Is Gaussian Mixture Model.
From ryanwingate.com
Gaussian Mixture Model Examples What Is Gaussian Mixture Model — what is a gaussian mixture model? Recognized as a robust statistical tool in machine learning and data science, gmms excel in estimating density and. — gaussian mixture models (gmms) play a pivotal role in achieving this task. learn how to use gaussian mixture models to fit data with a mixture of gaussian distributions. The basic problem. What Is Gaussian Mixture Model.
From semantic-portal.net
Gaussian mixture models Semantic portal — learn smart! What Is Gaussian Mixture Model A gaussian mixture is a function that is composed of several gaussians, each. in statistics, a mixture model is a probabilistic model for representing the presence of subpopulations within an. learn how to use gaussian mixture models to fit data with a mixture of gaussian distributions. — gaussian mixture models (gmms) are a type of probabilistic model. What Is Gaussian Mixture Model.
From www.apmonitor.com
Gaussian Mixture Model What Is Gaussian Mixture Model — gaussian mixture models (gmms) are a type of probabilistic model used for clustering and density estimation. learn how to use gaussian mixture models to fit data with a mixture of gaussian distributions. in statistics, a mixture model is a probabilistic model for representing the presence of subpopulations within an. — what is a gaussian mixture. What Is Gaussian Mixture Model.
From www.shiksha.com
Gaussian Mixture Model Examples, Advantages and Disadvantages What Is Gaussian Mixture Model gaussian mixture models are a probabilistic model for representing normally distributed subpopulations within an overall population. in statistics, a mixture model is a probabilistic model for representing the presence of subpopulations within an. — gaussian mixture models (gmms) play a pivotal role in achieving this task. Recognized as a robust statistical tool in machine learning and data. What Is Gaussian Mixture Model.
From tmramalho.github.io
Quick introduction to gaussian mixture models with python · Tiago Ramalho What Is Gaussian Mixture Model learn how to use gaussian mixture models to fit data with a mixture of gaussian distributions. — gaussian mixture models (gmms) are a type of probabilistic model used for clustering and density estimation. — what is a gaussian mixture model? in statistics, a mixture model is a probabilistic model for representing the presence of subpopulations within. What Is Gaussian Mixture Model.
From medium.com
Gaussian Mixture Models Visually Explained by Anastasia Kireeva The What Is Gaussian Mixture Model in statistics, a mixture model is a probabilistic model for representing the presence of subpopulations within an. In this chapter we will study gaussian mixture models and clustering. Recognized as a robust statistical tool in machine learning and data science, gmms excel in estimating density and. — gaussian mixture models (gmms) are a type of probabilistic model used. What Is Gaussian Mixture Model.
From pranik-chainani.medium.com
EM Algorithm Intuition and Explanation through Gaussian Mixture Models What Is Gaussian Mixture Model — gaussian mixture models (gmms) are a type of probabilistic model used for clustering and density estimation. — understand the complex concepts of the gaussian mixture model and learn to implement it from scratch with. Recognized as a robust statistical tool in machine learning and data science, gmms excel in estimating density and. in statistics, a mixture. What Is Gaussian Mixture Model.
From www.researchgate.net
The flowchart of Gaussian mixture model [73]. Download Scientific Diagram What Is Gaussian Mixture Model — what is a gaussian mixture model? — gaussian mixture models (gmms) play a pivotal role in achieving this task. Recognized as a robust statistical tool in machine learning and data science, gmms excel in estimating density and. gaussian mixture models are a probabilistic model for representing normally distributed subpopulations within an overall population. A gaussian mixture. What Is Gaussian Mixture Model.
From analyticsindiamag.com
Gaussian Mixture Model Clustering Vs KMeans Which One To Choose AIM What Is Gaussian Mixture Model A gaussian mixture is a function that is composed of several gaussians, each. learn how to use gaussian mixture models to fit data with a mixture of gaussian distributions. In this chapter we will study gaussian mixture models and clustering. Compare different estimation strategies, covariance. in statistics, a mixture model is a probabilistic model for representing the presence. What Is Gaussian Mixture Model.
From www.researchgate.net
Gaussian mixture model in the porosityvelocity domain. In this What Is Gaussian Mixture Model — gaussian mixture models (gmms) play a pivotal role in achieving this task. Recognized as a robust statistical tool in machine learning and data science, gmms excel in estimating density and. — what is a gaussian mixture model? in statistics, a mixture model is a probabilistic model for representing the presence of subpopulations within an. —. What Is Gaussian Mixture Model.
From www.researchgate.net
(a) 3 components Gaussian mixture density (b) Data from 3 components What Is Gaussian Mixture Model gaussian mixture models are a probabilistic model for representing normally distributed subpopulations within an overall population. The basic problem is, given. Compare different estimation strategies, covariance. In this chapter we will study gaussian mixture models and clustering. — gaussian mixture models (gmms) are a type of probabilistic model used for clustering and density estimation. — understand the. What Is Gaussian Mixture Model.
From www.researchgate.net
A Gaussian mixture model. Download Scientific Diagram What Is Gaussian Mixture Model gaussian mixture models are a probabilistic model for representing normally distributed subpopulations within an overall population. Recognized as a robust statistical tool in machine learning and data science, gmms excel in estimating density and. — what is a gaussian mixture model? — understand the complex concepts of the gaussian mixture model and learn to implement it from. What Is Gaussian Mixture Model.
From www.slideserve.com
PPT Univariate Gaussian Mixture Model PowerPoint Presentation, free What Is Gaussian Mixture Model Recognized as a robust statistical tool in machine learning and data science, gmms excel in estimating density and. gaussian mixture models are a probabilistic model for representing normally distributed subpopulations within an overall population. — gaussian mixture models (gmms) play a pivotal role in achieving this task. in statistics, a mixture model is a probabilistic model for. What Is Gaussian Mixture Model.
From www.slideserve.com
PPT Gaussian Mixture Model PowerPoint Presentation, free download What Is Gaussian Mixture Model learn how to use gaussian mixture models to fit data with a mixture of gaussian distributions. — gaussian mixture models (gmms) are a type of probabilistic model used for clustering and density estimation. A gaussian mixture is a function that is composed of several gaussians, each. gaussian mixture models are a probabilistic model for representing normally distributed. What Is Gaussian Mixture Model.
From www.baeldung.com
Gaussian Mixture Models Baeldung on Computer Science What Is Gaussian Mixture Model — what is a gaussian mixture model? Recognized as a robust statistical tool in machine learning and data science, gmms excel in estimating density and. A gaussian mixture is a function that is composed of several gaussians, each. gaussian mixture models are a probabilistic model for representing normally distributed subpopulations within an overall population. in statistics, a. What Is Gaussian Mixture Model.
From towardsdatascience.com
Gaussian Mixture Model A Comprehensive Guide to Understanding and What Is Gaussian Mixture Model Recognized as a robust statistical tool in machine learning and data science, gmms excel in estimating density and. A gaussian mixture is a function that is composed of several gaussians, each. — gaussian mixture models (gmms) play a pivotal role in achieving this task. — gaussian mixture models (gmms) are a type of probabilistic model used for clustering. What Is Gaussian Mixture Model.
From www.youtube.com
Gaussian Mixture Model Object Tracking YouTube What Is Gaussian Mixture Model The basic problem is, given. In this chapter we will study gaussian mixture models and clustering. Compare different estimation strategies, covariance. — gaussian mixture models (gmms) play a pivotal role in achieving this task. — what is a gaussian mixture model? — gaussian mixture models (gmms) are a type of probabilistic model used for clustering and density. What Is Gaussian Mixture Model.
From semantic-portal.net
Gaussian mixture models Semantic portal — learn smart! What Is Gaussian Mixture Model — gaussian mixture models (gmms) are a type of probabilistic model used for clustering and density estimation. in statistics, a mixture model is a probabilistic model for representing the presence of subpopulations within an. A gaussian mixture is a function that is composed of several gaussians, each. Compare different estimation strategies, covariance. gaussian mixture models are a. What Is Gaussian Mixture Model.
From www.slideserve.com
PPT Gaussian Mixture Models and Expectation Maximization PowerPoint What Is Gaussian Mixture Model — gaussian mixture models (gmms) are a type of probabilistic model used for clustering and density estimation. in statistics, a mixture model is a probabilistic model for representing the presence of subpopulations within an. — understand the complex concepts of the gaussian mixture model and learn to implement it from scratch with. learn how to use. What Is Gaussian Mixture Model.
From www.cronj.com
Gaussian Mixture Model in Image Processing Explained CronJ What Is Gaussian Mixture Model learn how to use gaussian mixture models to fit data with a mixture of gaussian distributions. gaussian mixture models are a probabilistic model for representing normally distributed subpopulations within an overall population. The basic problem is, given. — gaussian mixture models (gmms) are a type of probabilistic model used for clustering and density estimation. Recognized as a. What Is Gaussian Mixture Model.
From www.slideserve.com
PPT Gaussian Mixture Models PowerPoint Presentation, free download What Is Gaussian Mixture Model gaussian mixture models are a probabilistic model for representing normally distributed subpopulations within an overall population. — gaussian mixture models (gmms) are a type of probabilistic model used for clustering and density estimation. learn how to use gaussian mixture models to fit data with a mixture of gaussian distributions. Compare different estimation strategies, covariance. — gaussian. What Is Gaussian Mixture Model.
From www.researchgate.net
Figure A3. Simulated Gaussian mixture model (GMM) dataset in one What Is Gaussian Mixture Model — gaussian mixture models (gmms) are a type of probabilistic model used for clustering and density estimation. in statistics, a mixture model is a probabilistic model for representing the presence of subpopulations within an. — understand the complex concepts of the gaussian mixture model and learn to implement it from scratch with. The basic problem is, given.. What Is Gaussian Mixture Model.
From blog.dailydoseofds.com
Gaussian Mixture Models The Flexible Twin of KMeans What Is Gaussian Mixture Model In this chapter we will study gaussian mixture models and clustering. Recognized as a robust statistical tool in machine learning and data science, gmms excel in estimating density and. — gaussian mixture models (gmms) are a type of probabilistic model used for clustering and density estimation. gaussian mixture models are a probabilistic model for representing normally distributed subpopulations. What Is Gaussian Mixture Model.
From yulearning.blogspot.com
Yu's Machine Learning Garden Tutorial and Illustration Gaussian What Is Gaussian Mixture Model — gaussian mixture models (gmms) play a pivotal role in achieving this task. In this chapter we will study gaussian mixture models and clustering. learn how to use gaussian mixture models to fit data with a mixture of gaussian distributions. A gaussian mixture is a function that is composed of several gaussians, each. Recognized as a robust statistical. What Is Gaussian Mixture Model.
From www.slideserve.com
PPT Gaussian Mixture Models PowerPoint Presentation, free download What Is Gaussian Mixture Model The basic problem is, given. — understand the complex concepts of the gaussian mixture model and learn to implement it from scratch with. Recognized as a robust statistical tool in machine learning and data science, gmms excel in estimating density and. In this chapter we will study gaussian mixture models and clustering. — gaussian mixture models (gmms) are. What Is Gaussian Mixture Model.
From www.slideserve.com
PPT Gaussian Mixture Model PowerPoint Presentation ID3407355 What Is Gaussian Mixture Model Recognized as a robust statistical tool in machine learning and data science, gmms excel in estimating density and. — gaussian mixture models (gmms) are a type of probabilistic model used for clustering and density estimation. A gaussian mixture is a function that is composed of several gaussians, each. in statistics, a mixture model is a probabilistic model for. What Is Gaussian Mixture Model.
From www.researchgate.net
Examples of simulated samples. First line 3 Gaussian mixtures with 3 What Is Gaussian Mixture Model In this chapter we will study gaussian mixture models and clustering. learn how to use gaussian mixture models to fit data with a mixture of gaussian distributions. Recognized as a robust statistical tool in machine learning and data science, gmms excel in estimating density and. in statistics, a mixture model is a probabilistic model for representing the presence. What Is Gaussian Mixture Model.