Triangle Area Determinant Formula . Learn how to use the determinant formula to calculate the area of a triangle with three given points in the cartesian plane. What is area of triangle in determinant form? Learn how to calculate the area of a triangle given its vertices using the formula a = 1/2 | | | | π₯ π¦ 1 π₯ π¦ 1 π₯ π¦ 1 | | |. See the formula, examples and. 1 has the determinant form (which i found in some textbook) area = 1 2 1 2. The area of a triangle in determinant form is the formula used to find the area of the triangle when the coordinates of the vertices of the triangle are given. Show that the area of the triangle given in fig. Learn how to find the area of a triangle using the determinant in this free math video by mario's. Suppose we have to find the area of triangle abc with vertices a(x 1, y 1), b(x 2, y 2), and c(x 3, y 3), then its area is. Learn how to use determinants to calculate the area of a triangle with three given points in the cartesian plane.
from learningdbdepurant.z21.web.core.windows.net
Suppose we have to find the area of triangle abc with vertices a(x 1, y 1), b(x 2, y 2), and c(x 3, y 3), then its area is. Learn how to calculate the area of a triangle given its vertices using the formula a = 1/2 | | | | π₯ π¦ 1 π₯ π¦ 1 π₯ π¦ 1 | | |. What is area of triangle in determinant form? Learn how to find the area of a triangle using the determinant in this free math video by mario's. See the formula, examples and. Learn how to use determinants to calculate the area of a triangle with three given points in the cartesian plane. Learn how to use the determinant formula to calculate the area of a triangle with three given points in the cartesian plane. Show that the area of the triangle given in fig. 1 has the determinant form (which i found in some textbook) area = 1 2 1 2. The area of a triangle in determinant form is the formula used to find the area of the triangle when the coordinates of the vertices of the triangle are given.
Formulas Of Triangle
Triangle Area Determinant Formula Suppose we have to find the area of triangle abc with vertices a(x 1, y 1), b(x 2, y 2), and c(x 3, y 3), then its area is. Learn how to find the area of a triangle using the determinant in this free math video by mario's. Learn how to use determinants to calculate the area of a triangle with three given points in the cartesian plane. 1 has the determinant form (which i found in some textbook) area = 1 2 1 2. What is area of triangle in determinant form? Learn how to use the determinant formula to calculate the area of a triangle with three given points in the cartesian plane. Suppose we have to find the area of triangle abc with vertices a(x 1, y 1), b(x 2, y 2), and c(x 3, y 3), then its area is. Show that the area of the triangle given in fig. The area of a triangle in determinant form is the formula used to find the area of the triangle when the coordinates of the vertices of the triangle are given. Learn how to calculate the area of a triangle given its vertices using the formula a = 1/2 | | | | π₯ π¦ 1 π₯ π¦ 1 π₯ π¦ 1 | | |. See the formula, examples and.
From www.teachoo.com
Using Determinant, find Area of Triangle with vertices (2, 3), (3, 2 Triangle Area Determinant Formula The area of a triangle in determinant form is the formula used to find the area of the triangle when the coordinates of the vertices of the triangle are given. What is area of triangle in determinant form? Learn how to find the area of a triangle using the determinant in this free math video by mario's. Show that the. Triangle Area Determinant Formula.
From www.knowledgeglow.com
Area of Triangle Formula in Coordinate Geometry Triangle Area Determinant Formula 1 has the determinant form (which i found in some textbook) area = 1 2 1 2. Learn how to use determinants to calculate the area of a triangle with three given points in the cartesian plane. See the formula, examples and. Suppose we have to find the area of triangle abc with vertices a(x 1, y 1), b(x 2,. Triangle Area Determinant Formula.
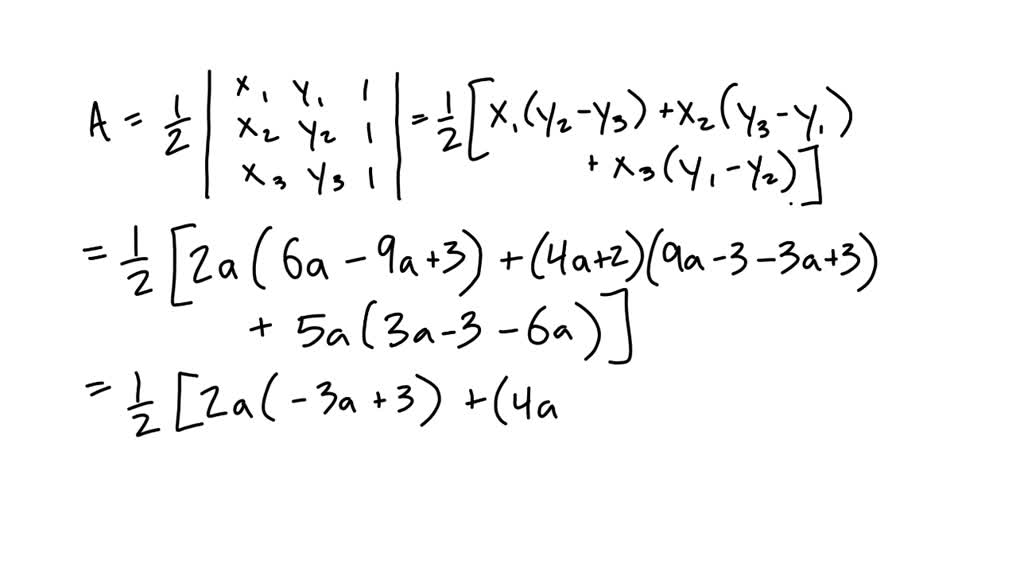
From www.numerade.com
SOLVED The area of the triangle formed by the vertices (2a, 3a 3 Triangle Area Determinant Formula Learn how to calculate the area of a triangle given its vertices using the formula a = 1/2 | | | | π₯ π¦ 1 π₯ π¦ 1 π₯ π¦ 1 | | |. Learn how to use the determinant formula to calculate the area of a triangle with three given points in the cartesian plane. Suppose we have to. Triangle Area Determinant Formula.
From www.youtube.com
Finding The Area of A Triangle By Determinant Method. YouTube Triangle Area Determinant Formula What is area of triangle in determinant form? Learn how to use determinants to calculate the area of a triangle with three given points in the cartesian plane. See the formula, examples and. The area of a triangle in determinant form is the formula used to find the area of the triangle when the coordinates of the vertices of the. Triangle Area Determinant Formula.
From www.youtube.com
Determinants to Find the Area of a Triangle YouTube Triangle Area Determinant Formula Learn how to find the area of a triangle using the determinant in this free math video by mario's. Show that the area of the triangle given in fig. Learn how to use determinants to calculate the area of a triangle with three given points in the cartesian plane. Learn how to calculate the area of a triangle given its. Triangle Area Determinant Formula.
From www.studypool.com
SOLUTION Determinant area of triangle Studypool Triangle Area Determinant Formula 1 has the determinant form (which i found in some textbook) area = 1 2 1 2. What is area of triangle in determinant form? The area of a triangle in determinant form is the formula used to find the area of the triangle when the coordinates of the vertices of the triangle are given. Learn how to find the. Triangle Area Determinant Formula.
From learningdbdepurant.z21.web.core.windows.net
Formulas Of Triangle Triangle Area Determinant Formula Suppose we have to find the area of triangle abc with vertices a(x 1, y 1), b(x 2, y 2), and c(x 3, y 3), then its area is. What is area of triangle in determinant form? Learn how to calculate the area of a triangle given its vertices using the formula a = 1/2 | | | | π₯. Triangle Area Determinant Formula.
From learningschoolsanguine.z14.web.core.windows.net
Formulas For A Triangle Triangle Area Determinant Formula Learn how to use determinants to calculate the area of a triangle with three given points in the cartesian plane. 1 has the determinant form (which i found in some textbook) area = 1 2 1 2. See the formula, examples and. Learn how to use the determinant formula to calculate the area of a triangle with three given points. Triangle Area Determinant Formula.
From trigidentities.net
What is Area of Triangle Formula with Examples Triangle Area Determinant Formula Learn how to calculate the area of a triangle given its vertices using the formula a = 1/2 | | | | π₯ π¦ 1 π₯ π¦ 1 π₯ π¦ 1 | | |. Learn how to use the determinant formula to calculate the area of a triangle with three given points in the cartesian plane. The area of a. Triangle Area Determinant Formula.
From www.solutionspile.com
[Solved] Use determinant to calculate the area of a trian Triangle Area Determinant Formula See the formula, examples and. What is area of triangle in determinant form? Learn how to calculate the area of a triangle given its vertices using the formula a = 1/2 | | | | π₯ π¦ 1 π₯ π¦ 1 π₯ π¦ 1 | | |. Show that the area of the triangle given in fig. Suppose we have. Triangle Area Determinant Formula.
From www.youtube.com
Determinant formula for the area of a triangle explained with Triangle Area Determinant Formula Learn how to calculate the area of a triangle given its vertices using the formula a = 1/2 | | | | π₯ π¦ 1 π₯ π¦ 1 π₯ π¦ 1 | | |. The area of a triangle in determinant form is the formula used to find the area of the triangle when the coordinates of the vertices of. Triangle Area Determinant Formula.
From mathinstructor.net
How to calculate area of triangle using determinant? Triangle Area Determinant Formula Learn how to calculate the area of a triangle given its vertices using the formula a = 1/2 | | | | π₯ π¦ 1 π₯ π¦ 1 π₯ π¦ 1 | | |. 1 has the determinant form (which i found in some textbook) area = 1 2 1 2. Learn how to use determinants to calculate the area. Triangle Area Determinant Formula.
From www.youtube.com
How to Find the Area of a Triangle using the Determinant Formula YouTube Triangle Area Determinant Formula Learn how to use determinants to calculate the area of a triangle with three given points in the cartesian plane. Show that the area of the triangle given in fig. Suppose we have to find the area of triangle abc with vertices a(x 1, y 1), b(x 2, y 2), and c(x 3, y 3), then its area is. 1. Triangle Area Determinant Formula.
From www.expii.com
What Is the Determinant and Why Is It Important? Expii Triangle Area Determinant Formula Learn how to find the area of a triangle using the determinant in this free math video by mario's. 1 has the determinant form (which i found in some textbook) area = 1 2 1 2. What is area of triangle in determinant form? See the formula, examples and. Learn how to calculate the area of a triangle given its. Triangle Area Determinant Formula.
From www.youtube.com
Application of Determinants Area on the Coordinate Plane YouTube Triangle Area Determinant Formula Suppose we have to find the area of triangle abc with vertices a(x 1, y 1), b(x 2, y 2), and c(x 3, y 3), then its area is. Learn how to find the area of a triangle using the determinant in this free math video by mario's. See the formula, examples and. What is area of triangle in determinant. Triangle Area Determinant Formula.
From www.youtube.com
DeterminantsβArea of a triangle YouTube Triangle Area Determinant Formula Learn how to calculate the area of a triangle given its vertices using the formula a = 1/2 | | | | π₯ π¦ 1 π₯ π¦ 1 π₯ π¦ 1 | | |. Suppose we have to find the area of triangle abc with vertices a(x 1, y 1), b(x 2, y 2), and c(x 3, y 3), then. Triangle Area Determinant Formula.
From classfullrequotes.z21.web.core.windows.net
Area Of Triangles Using Matrices Worksheets Triangle Area Determinant Formula Show that the area of the triangle given in fig. Learn how to calculate the area of a triangle given its vertices using the formula a = 1/2 | | | | π₯ π¦ 1 π₯ π¦ 1 π₯ π¦ 1 | | |. Learn how to use determinants to calculate the area of a triangle with three given points. Triangle Area Determinant Formula.
From haipernews.com
How To Find Area Of Triangle Coordinates Haiper Triangle Area Determinant Formula What is area of triangle in determinant form? Learn how to use determinants to calculate the area of a triangle with three given points in the cartesian plane. The area of a triangle in determinant form is the formula used to find the area of the triangle when the coordinates of the vertices of the triangle are given. 1 has. Triangle Area Determinant Formula.
From www.teachoo.com
Using Determinant, find Area of Triangle with vertices (2, 3), (3, 2 Triangle Area Determinant Formula Learn how to use determinants to calculate the area of a triangle with three given points in the cartesian plane. What is area of triangle in determinant form? The area of a triangle in determinant form is the formula used to find the area of the triangle when the coordinates of the vertices of the triangle are given. Show that. Triangle Area Determinant Formula.
From brainly.in
Find area of Triangle using determinant form. A(3,8) B(4,2) C(5,1 Triangle Area Determinant Formula Learn how to calculate the area of a triangle given its vertices using the formula a = 1/2 | | | | π₯ π¦ 1 π₯ π¦ 1 π₯ π¦ 1 | | |. What is area of triangle in determinant form? Learn how to use determinants to calculate the area of a triangle with three given points in the. Triangle Area Determinant Formula.
From www.youtube.com
Area of Triangle by Determinant in hindi Kamaldheeriya YouTube Triangle Area Determinant Formula Learn how to find the area of a triangle using the determinant in this free math video by mario's. See the formula, examples and. Suppose we have to find the area of triangle abc with vertices a(x 1, y 1), b(x 2, y 2), and c(x 3, y 3), then its area is. Learn how to use determinants to calculate. Triangle Area Determinant Formula.
From www.nagwa.com
Lesson Video Using Determinants to Calculate Areas Nagwa Triangle Area Determinant Formula Learn how to use the determinant formula to calculate the area of a triangle with three given points in the cartesian plane. Learn how to find the area of a triangle using the determinant in this free math video by mario's. Learn how to use determinants to calculate the area of a triangle with three given points in the cartesian. Triangle Area Determinant Formula.
From www.youtube.com
Area of a Triangle Using Determinant YouTube Triangle Area Determinant Formula What is area of triangle in determinant form? Suppose we have to find the area of triangle abc with vertices a(x 1, y 1), b(x 2, y 2), and c(x 3, y 3), then its area is. Learn how to use the determinant formula to calculate the area of a triangle with three given points in the cartesian plane. See. Triangle Area Determinant Formula.
From www.cuemath.com
Area of an Equilateral Triangle Formula, Examples, Definition Triangle Area Determinant Formula Learn how to use the determinant formula to calculate the area of a triangle with three given points in the cartesian plane. 1 has the determinant form (which i found in some textbook) area = 1 2 1 2. The area of a triangle in determinant form is the formula used to find the area of the triangle when the. Triangle Area Determinant Formula.
From medium.com
Formula Of Area Of Triangle In Coordinate Geometry by Champak Jyoti Triangle Area Determinant Formula Learn how to use the determinant formula to calculate the area of a triangle with three given points in the cartesian plane. Learn how to use determinants to calculate the area of a triangle with three given points in the cartesian plane. Learn how to calculate the area of a triangle given its vertices using the formula a = 1/2. Triangle Area Determinant Formula.
From alondrafersrobles.blogspot.com
Determinant to Find Area of Parallelogram Triangle Area Determinant Formula What is area of triangle in determinant form? Learn how to use determinants to calculate the area of a triangle with three given points in the cartesian plane. The area of a triangle in determinant form is the formula used to find the area of the triangle when the coordinates of the vertices of the triangle are given. See the. Triangle Area Determinant Formula.
From haipernews.com
How To Find Area Of Triangle With Vertices 3d Haiper Triangle Area Determinant Formula The area of a triangle in determinant form is the formula used to find the area of the triangle when the coordinates of the vertices of the triangle are given. Learn how to use determinants to calculate the area of a triangle with three given points in the cartesian plane. Suppose we have to find the area of triangle abc. Triangle Area Determinant Formula.
From www.numerade.com
β©SOLVEDTriangle area Find a 2 Γ2 determinant formula for the area Triangle Area Determinant Formula The area of a triangle in determinant form is the formula used to find the area of the triangle when the coordinates of the vertices of the triangle are given. Suppose we have to find the area of triangle abc with vertices a(x 1, y 1), b(x 2, y 2), and c(x 3, y 3), then its area is. See. Triangle Area Determinant Formula.
From www.youtube.com
Area of triangle using Determinants Determinants Class 12th Maths Triangle Area Determinant Formula What is area of triangle in determinant form? Suppose we have to find the area of triangle abc with vertices a(x 1, y 1), b(x 2, y 2), and c(x 3, y 3), then its area is. Learn how to find the area of a triangle using the determinant in this free math video by mario's. The area of a. Triangle Area Determinant Formula.
From testbook.com
Area of Triangle in Determinant Form Formula with Derivation Triangle Area Determinant Formula The area of a triangle in determinant form is the formula used to find the area of the triangle when the coordinates of the vertices of the triangle are given. Learn how to calculate the area of a triangle given its vertices using the formula a = 1/2 | | | | π₯ π¦ 1 π₯ π¦ 1 π₯ π¦. Triangle Area Determinant Formula.
From www.youtube.com
Area of Triangles Using Determinant determinants class 12 Ex 4.3 Triangle Area Determinant Formula See the formula, examples and. Learn how to calculate the area of a triangle given its vertices using the formula a = 1/2 | | | | π₯ π¦ 1 π₯ π¦ 1 π₯ π¦ 1 | | |. Learn how to use determinants to calculate the area of a triangle with three given points in the cartesian plane. Learn. Triangle Area Determinant Formula.
From www.youtube.com
Chapter 123A video 4 Using Determinants to Find the Area of a Triangle Area Determinant Formula Show that the area of the triangle given in fig. What is area of triangle in determinant form? Suppose we have to find the area of triangle abc with vertices a(x 1, y 1), b(x 2, y 2), and c(x 3, y 3), then its area is. Learn how to use the determinant formula to calculate the area of a. Triangle Area Determinant Formula.
From www.nagwa.com
Lesson Video Using Determinants to Calculate Areas Nagwa Triangle Area Determinant Formula Show that the area of the triangle given in fig. Learn how to use the determinant formula to calculate the area of a triangle with three given points in the cartesian plane. What is area of triangle in determinant form? Learn how to use determinants to calculate the area of a triangle with three given points in the cartesian plane.. Triangle Area Determinant Formula.
From www.chilimath.com
Area of Triangle Definition, Formula & Examples ChiliMath Triangle Area Determinant Formula Learn how to find the area of a triangle using the determinant in this free math video by mario's. See the formula, examples and. Learn how to use determinants to calculate the area of a triangle with three given points in the cartesian plane. The area of a triangle in determinant form is the formula used to find the area. Triangle Area Determinant Formula.
From www.slideserve.com
PPT 4.3 Determinants & Cramerβs Rule PowerPoint Presentation ID3271366 Triangle Area Determinant Formula The area of a triangle in determinant form is the formula used to find the area of the triangle when the coordinates of the vertices of the triangle are given. 1 has the determinant form (which i found in some textbook) area = 1 2 1 2. See the formula, examples and. What is area of triangle in determinant form?. Triangle Area Determinant Formula.