Nevada For Sale By Owner Contract . A for sale by owner real estate contract must include both party names,. But selling your house without a realtor doesn't guarantee savings. Browse photos and listings for the 153 for sale by owner (fsbo) listings in nevada and get in touch with a seller after filtering down to the perfect home. However, it’s crucial to understand the paperwork and legal requirements at each stage of the process. If not understood, seek legal advice.) date: 4.5/5 (7,518) If you sell your house without a real estate agent — also known as selling for sale by owner (fsbo) — you can avoid this fee and save thousands. This contract is conditioned on buyer obtaining a commitment for the loan, assumption approval or call clause waiver by the closing date or within. The nevada residential real estate purchase agreement (“contract for sale and purchase of real estate”) is a contract which commits a buyer to an offer to purchase real estate,. Selling your house without a realtor, also called for sale by owner (fsbo), can sound appealing — mainly because you won’t have to pay a seller’s agent. How to write a for sale by owner contract in nevada?
from www.heritagechristiancollege.com
Selling your house without a realtor, also called for sale by owner (fsbo), can sound appealing — mainly because you won’t have to pay a seller’s agent. This contract is conditioned on buyer obtaining a commitment for the loan, assumption approval or call clause waiver by the closing date or within. If not understood, seek legal advice.) date: But selling your house without a realtor doesn't guarantee savings. A for sale by owner real estate contract must include both party names,. The nevada residential real estate purchase agreement (“contract for sale and purchase of real estate”) is a contract which commits a buyer to an offer to purchase real estate,. 4.5/5 (7,518) Browse photos and listings for the 153 for sale by owner (fsbo) listings in nevada and get in touch with a seller after filtering down to the perfect home. If you sell your house without a real estate agent — also known as selling for sale by owner (fsbo) — you can avoid this fee and save thousands. However, it’s crucial to understand the paperwork and legal requirements at each stage of the process.
60 House for Sale by Owner Contract Template Free Heritagechristiancollege
Nevada For Sale By Owner Contract How to write a for sale by owner contract in nevada? This contract is conditioned on buyer obtaining a commitment for the loan, assumption approval or call clause waiver by the closing date or within. How to write a for sale by owner contract in nevada? The nevada residential real estate purchase agreement (“contract for sale and purchase of real estate”) is a contract which commits a buyer to an offer to purchase real estate,. Browse photos and listings for the 153 for sale by owner (fsbo) listings in nevada and get in touch with a seller after filtering down to the perfect home. 4.5/5 (7,518) If you sell your house without a real estate agent — also known as selling for sale by owner (fsbo) — you can avoid this fee and save thousands. But selling your house without a realtor doesn't guarantee savings. If not understood, seek legal advice.) date: A for sale by owner real estate contract must include both party names,. However, it’s crucial to understand the paperwork and legal requirements at each stage of the process. Selling your house without a realtor, also called for sale by owner (fsbo), can sound appealing — mainly because you won’t have to pay a seller’s agent.
From www.heritagechristiancollege.com
House for Sale by Owner Contract Template Free Of 6 Sample Home Sales Contracts Nevada For Sale By Owner Contract If you sell your house without a real estate agent — also known as selling for sale by owner (fsbo) — you can avoid this fee and save thousands. How to write a for sale by owner contract in nevada? This contract is conditioned on buyer obtaining a commitment for the loan, assumption approval or call clause waiver by the. Nevada For Sale By Owner Contract.
From www.uslegalforms.com
Continental Title Company For Sale By Owner Contract Fill and Sign Printable Template Online Nevada For Sale By Owner Contract The nevada residential real estate purchase agreement (“contract for sale and purchase of real estate”) is a contract which commits a buyer to an offer to purchase real estate,. But selling your house without a realtor doesn't guarantee savings. Browse photos and listings for the 153 for sale by owner (fsbo) listings in nevada and get in touch with a. Nevada For Sale By Owner Contract.
From www.sampletemplates.com
FREE 11+ Real Estate For Sale By Owner Contract Templates in PDF MS Word Google Docs Pages Nevada For Sale By Owner Contract But selling your house without a realtor doesn't guarantee savings. How to write a for sale by owner contract in nevada? However, it’s crucial to understand the paperwork and legal requirements at each stage of the process. Browse photos and listings for the 153 for sale by owner (fsbo) listings in nevada and get in touch with a seller after. Nevada For Sale By Owner Contract.
From www.examples.com
For Sale by Owner Contract 11+ Examples, Format, Pdf Nevada For Sale By Owner Contract 4.5/5 (7,518) A for sale by owner real estate contract must include both party names,. How to write a for sale by owner contract in nevada? If you sell your house without a real estate agent — also known as selling for sale by owner (fsbo) — you can avoid this fee and save thousands. Selling your house without. Nevada For Sale By Owner Contract.
From esign.com
Free California Residential Purchase and Sale Agreement PDF Word Nevada For Sale By Owner Contract But selling your house without a realtor doesn't guarantee savings. The nevada residential real estate purchase agreement (“contract for sale and purchase of real estate”) is a contract which commits a buyer to an offer to purchase real estate,. However, it’s crucial to understand the paperwork and legal requirements at each stage of the process. Selling your house without a. Nevada For Sale By Owner Contract.
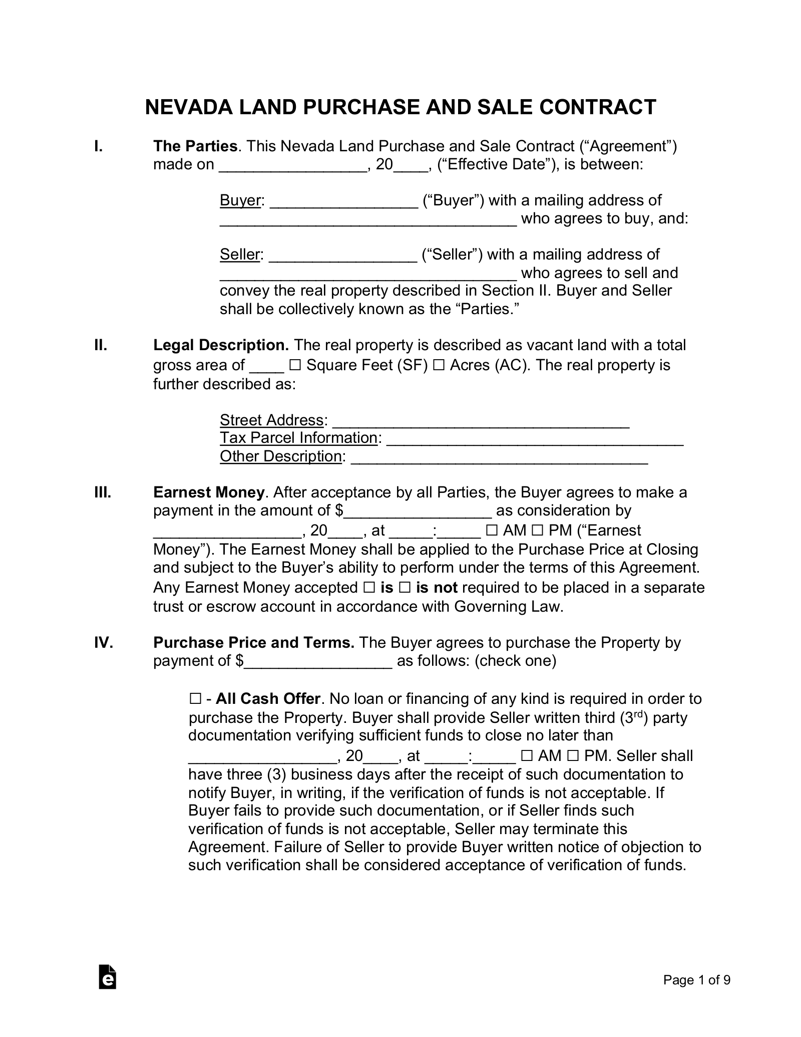
From eforms.com
Free Nevada Land Contract Template PDF Word eForms Nevada For Sale By Owner Contract Browse photos and listings for the 153 for sale by owner (fsbo) listings in nevada and get in touch with a seller after filtering down to the perfect home. 4.5/5 (7,518) But selling your house without a realtor doesn't guarantee savings. If you sell your house without a real estate agent — also known as selling for sale by. Nevada For Sale By Owner Contract.
From loeawgbrt.blob.core.windows.net
For Sale By Owner Va Contract at Bernardo Hall blog Nevada For Sale By Owner Contract If you sell your house without a real estate agent — also known as selling for sale by owner (fsbo) — you can avoid this fee and save thousands. 4.5/5 (7,518) The nevada residential real estate purchase agreement (“contract for sale and purchase of real estate”) is a contract which commits a buyer to an offer to purchase real. Nevada For Sale By Owner Contract.
From www.templateral.com
√ Free Real Estate For Sale By Owner Contract Template Nevada For Sale By Owner Contract This contract is conditioned on buyer obtaining a commitment for the loan, assumption approval or call clause waiver by the closing date or within. A for sale by owner real estate contract must include both party names,. How to write a for sale by owner contract in nevada? If you sell your house without a real estate agent — also. Nevada For Sale By Owner Contract.
From www.examples.com
For Sale by Owner Contract 11+ Examples, Format, Pdf Nevada For Sale By Owner Contract A for sale by owner real estate contract must include both party names,. The nevada residential real estate purchase agreement (“contract for sale and purchase of real estate”) is a contract which commits a buyer to an offer to purchase real estate,. If you sell your house without a real estate agent — also known as selling for sale by. Nevada For Sale By Owner Contract.
From www.jotform.com
Real Estate for Sale by Owner Contract Template Sign Templates Jotform Nevada For Sale By Owner Contract If not understood, seek legal advice.) date: But selling your house without a realtor doesn't guarantee savings. This contract is conditioned on buyer obtaining a commitment for the loan, assumption approval or call clause waiver by the closing date or within. Browse photos and listings for the 153 for sale by owner (fsbo) listings in nevada and get in touch. Nevada For Sale By Owner Contract.
From www.sampletemplates.com
FREE 11+ Real Estate For Sale By Owner Contract Templates in PDF MS Word Google Docs Pages Nevada For Sale By Owner Contract If not understood, seek legal advice.) date: But selling your house without a realtor doesn't guarantee savings. 4.5/5 (7,518) Selling your house without a realtor, also called for sale by owner (fsbo), can sound appealing — mainly because you won’t have to pay a seller’s agent. The nevada residential real estate purchase agreement (“contract for sale and purchase of. Nevada For Sale By Owner Contract.
From professional.fromgrandma.best
For Sale By Owner Contract Template Professional.fromgrandma.best Nevada For Sale By Owner Contract How to write a for sale by owner contract in nevada? Browse photos and listings for the 153 for sale by owner (fsbo) listings in nevada and get in touch with a seller after filtering down to the perfect home. A for sale by owner real estate contract must include both party names,. This contract is conditioned on buyer obtaining. Nevada For Sale By Owner Contract.
From whoamuu.blogspot.com
Mobile Home Purchase Agreement Template HQ Printable Documents Nevada For Sale By Owner Contract 4.5/5 (7,518) If not understood, seek legal advice.) date: However, it’s crucial to understand the paperwork and legal requirements at each stage of the process. If you sell your house without a real estate agent — also known as selling for sale by owner (fsbo) — you can avoid this fee and save thousands. A for sale by owner. Nevada For Sale By Owner Contract.
From www.examples.com
For Sale by Owner Contract 11+ Examples, Format, Pdf Nevada For Sale By Owner Contract However, it’s crucial to understand the paperwork and legal requirements at each stage of the process. If not understood, seek legal advice.) date: How to write a for sale by owner contract in nevada? Browse photos and listings for the 153 for sale by owner (fsbo) listings in nevada and get in touch with a seller after filtering down to. Nevada For Sale By Owner Contract.
From richr.com
A Comprehensive Guide to Creating a For Sale By Owner Contract in Nevada (2024 Updates) Richr Nevada For Sale By Owner Contract This contract is conditioned on buyer obtaining a commitment for the loan, assumption approval or call clause waiver by the closing date or within. However, it’s crucial to understand the paperwork and legal requirements at each stage of the process. Browse photos and listings for the 153 for sale by owner (fsbo) listings in nevada and get in touch with. Nevada For Sale By Owner Contract.
From www.heritagechristiancollege.com
60 House for Sale by Owner Contract Template Free Heritagechristiancollege Nevada For Sale By Owner Contract How to write a for sale by owner contract in nevada? However, it’s crucial to understand the paperwork and legal requirements at each stage of the process. 4.5/5 (7,518) A for sale by owner real estate contract must include both party names,. The nevada residential real estate purchase agreement (“contract for sale and purchase of real estate”) is a. Nevada For Sale By Owner Contract.
From www.examples.com
For Sale by Owner Contract 11+ Examples, Format, Pdf Nevada For Sale By Owner Contract 4.5/5 (7,518) How to write a for sale by owner contract in nevada? Browse photos and listings for the 153 for sale by owner (fsbo) listings in nevada and get in touch with a seller after filtering down to the perfect home. But selling your house without a realtor doesn't guarantee savings. If you sell your house without a. Nevada For Sale By Owner Contract.
From gioceused.blob.core.windows.net
For Sale By Owner Purchase And Sale Agreement at Linda Dewitt blog Nevada For Sale By Owner Contract If you sell your house without a real estate agent — also known as selling for sale by owner (fsbo) — you can avoid this fee and save thousands. If not understood, seek legal advice.) date: How to write a for sale by owner contract in nevada? The nevada residential real estate purchase agreement (“contract for sale and purchase of. Nevada For Sale By Owner Contract.
From www.sampletemplates.com
FREE 11+ Real Estate For Sale By Owner Contract Templates in PDF MS Word Google Docs Pages Nevada For Sale By Owner Contract 4.5/5 (7,518) A for sale by owner real estate contract must include both party names,. If you sell your house without a real estate agent — also known as selling for sale by owner (fsbo) — you can avoid this fee and save thousands. Browse photos and listings for the 153 for sale by owner (fsbo) listings in nevada. Nevada For Sale By Owner Contract.
From www.heritagechristiancollege.com
60 House for Sale by Owner Contract Template Free Heritagechristiancollege Nevada For Sale By Owner Contract This contract is conditioned on buyer obtaining a commitment for the loan, assumption approval or call clause waiver by the closing date or within. The nevada residential real estate purchase agreement (“contract for sale and purchase of real estate”) is a contract which commits a buyer to an offer to purchase real estate,. 4.5/5 (7,518) If you sell your. Nevada For Sale By Owner Contract.
From cocosign.com
Real Estate For Sale By Owner Contract 2 Nevada For Sale By Owner Contract This contract is conditioned on buyer obtaining a commitment for the loan, assumption approval or call clause waiver by the closing date or within. If you sell your house without a real estate agent — also known as selling for sale by owner (fsbo) — you can avoid this fee and save thousands. A for sale by owner real estate. Nevada For Sale By Owner Contract.
From www.sampletemplates.com
FREE 11+ Real Estate For Sale By Owner Contract Templates in PDF MS Word Google Docs Pages Nevada For Sale By Owner Contract 4.5/5 (7,518) But selling your house without a realtor doesn't guarantee savings. However, it’s crucial to understand the paperwork and legal requirements at each stage of the process. Browse photos and listings for the 153 for sale by owner (fsbo) listings in nevada and get in touch with a seller after filtering down to the perfect home. If you. Nevada For Sale By Owner Contract.
From cocosign.com
Real Estate For Sale By Owner Contract 1 Nevada For Sale By Owner Contract But selling your house without a realtor doesn't guarantee savings. If you sell your house without a real estate agent — also known as selling for sale by owner (fsbo) — you can avoid this fee and save thousands. A for sale by owner real estate contract must include both party names,. How to write a for sale by owner. Nevada For Sale By Owner Contract.
From www.sampletemplatess.com
For Sale By Owner Contract Template SampleTemplatess SampleTemplatess Nevada For Sale By Owner Contract However, it’s crucial to understand the paperwork and legal requirements at each stage of the process. If you sell your house without a real estate agent — also known as selling for sale by owner (fsbo) — you can avoid this fee and save thousands. This contract is conditioned on buyer obtaining a commitment for the loan, assumption approval or. Nevada For Sale By Owner Contract.
From cocosign.com
Real Estate For Sale By Owner Contract 3 Nevada For Sale By Owner Contract If not understood, seek legal advice.) date: However, it’s crucial to understand the paperwork and legal requirements at each stage of the process. How to write a for sale by owner contract in nevada? If you sell your house without a real estate agent — also known as selling for sale by owner (fsbo) — you can avoid this fee. Nevada For Sale By Owner Contract.
From www.heritagechristiancollege.com
House for Sale by Owner Contract Template Free Of 6 Sample Home Sales Contracts Nevada For Sale By Owner Contract But selling your house without a realtor doesn't guarantee savings. This contract is conditioned on buyer obtaining a commitment for the loan, assumption approval or call clause waiver by the closing date or within. The nevada residential real estate purchase agreement (“contract for sale and purchase of real estate”) is a contract which commits a buyer to an offer to. Nevada For Sale By Owner Contract.
From general-sales-contract.pdffiller.com
For Sale By Owner Contract Pdf Fill Online, Printable, Fillable, Blank pdfFiller Nevada For Sale By Owner Contract 4.5/5 (7,518) If not understood, seek legal advice.) date: A for sale by owner real estate contract must include both party names,. How to write a for sale by owner contract in nevada? If you sell your house without a real estate agent — also known as selling for sale by owner (fsbo) — you can avoid this fee. Nevada For Sale By Owner Contract.
From www.uslegalforms.com
For Sale By Owner Contract Template 20202022 Fill and Sign Printable Template Online US Nevada For Sale By Owner Contract The nevada residential real estate purchase agreement (“contract for sale and purchase of real estate”) is a contract which commits a buyer to an offer to purchase real estate,. Selling your house without a realtor, also called for sale by owner (fsbo), can sound appealing — mainly because you won’t have to pay a seller’s agent. If you sell your. Nevada For Sale By Owner Contract.
From www.sampletemplatess.com
House For Sale By Owner Contract Template SampleTemplatess SampleTemplatess Nevada For Sale By Owner Contract A for sale by owner real estate contract must include both party names,. But selling your house without a realtor doesn't guarantee savings. This contract is conditioned on buyer obtaining a commitment for the loan, assumption approval or call clause waiver by the closing date or within. If you sell your house without a real estate agent — also known. Nevada For Sale By Owner Contract.
From klasduslk.blob.core.windows.net
Contract For Sale Of Real Estate By Owner at Oscar Pollock blog Nevada For Sale By Owner Contract 4.5/5 (7,518) But selling your house without a realtor doesn't guarantee savings. However, it’s crucial to understand the paperwork and legal requirements at each stage of the process. This contract is conditioned on buyer obtaining a commitment for the loan, assumption approval or call clause waiver by the closing date or within. If not understood, seek legal advice.) date:. Nevada For Sale By Owner Contract.
From freeforms.com
Free Nevada Real Estate Purchase Agreement Template PDF WORD Nevada For Sale By Owner Contract If not understood, seek legal advice.) date: The nevada residential real estate purchase agreement (“contract for sale and purchase of real estate”) is a contract which commits a buyer to an offer to purchase real estate,. However, it’s crucial to understand the paperwork and legal requirements at each stage of the process. If you sell your house without a real. Nevada For Sale By Owner Contract.
From www.template.net
17+ FREE Real Estate Contract Templates Word, Pages, Docs Download Nevada For Sale By Owner Contract But selling your house without a realtor doesn't guarantee savings. The nevada residential real estate purchase agreement (“contract for sale and purchase of real estate”) is a contract which commits a buyer to an offer to purchase real estate,. 4.5/5 (7,518) This contract is conditioned on buyer obtaining a commitment for the loan, assumption approval or call clause waiver. Nevada For Sale By Owner Contract.
From www.heritagechristiancollege.com
House for Sale by Owner Contract Template Free Of 6 Sample Home Sales Contracts Nevada For Sale By Owner Contract If you sell your house without a real estate agent — also known as selling for sale by owner (fsbo) — you can avoid this fee and save thousands. Browse photos and listings for the 153 for sale by owner (fsbo) listings in nevada and get in touch with a seller after filtering down to the perfect home. The nevada. Nevada For Sale By Owner Contract.
From www.signnow.com
For Sale by Owner Paperwork with instructions airSlate SignNow Nevada For Sale By Owner Contract The nevada residential real estate purchase agreement (“contract for sale and purchase of real estate”) is a contract which commits a buyer to an offer to purchase real estate,. A for sale by owner real estate contract must include both party names,. If you sell your house without a real estate agent — also known as selling for sale by. Nevada For Sale By Owner Contract.
From www.sampletemplates.com
FREE 11+ Real Estate For Sale By Owner Contract Templates in PDF MS Word Google Docs Pages Nevada For Sale By Owner Contract If you sell your house without a real estate agent — also known as selling for sale by owner (fsbo) — you can avoid this fee and save thousands. Browse photos and listings for the 153 for sale by owner (fsbo) listings in nevada and get in touch with a seller after filtering down to the perfect home. But selling. Nevada For Sale By Owner Contract.