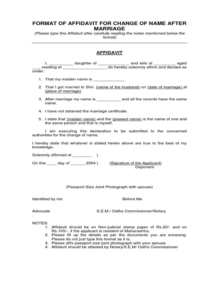
Online Affidavit For Name Change After Marriage . Answer a few questions about yourself, and we'll show you the best way to. Sample affidavit for name change after marriage. This document can be helpful for. Fill it out online, download as a pdf, and print it for legal use. Depending on your situation, you may be able to request your change online. I, __________ daughter of _____________ and wife of _________ aged ___, residing at __________________, do hereby solemnly affirm. An affidavit of name change is used to provide proof of a name change that has already occurred, such as through a marriage or divorce. In some cases, women change their names to adopt their spouse's last name after marriage and most. Easily change your name with our free affidavit of name change form. An affidavit of name change is a sworn statement that is used to verify the identity of a person who operates under multiple names.
from www.pdfrun.com
Easily change your name with our free affidavit of name change form. In some cases, women change their names to adopt their spouse's last name after marriage and most. I, __________ daughter of _____________ and wife of _________ aged ___, residing at __________________, do hereby solemnly affirm. An affidavit of name change is used to provide proof of a name change that has already occurred, such as through a marriage or divorce. An affidavit of name change is a sworn statement that is used to verify the identity of a person who operates under multiple names. Fill it out online, download as a pdf, and print it for legal use. This document can be helpful for. Sample affidavit for name change after marriage. Depending on your situation, you may be able to request your change online. Answer a few questions about yourself, and we'll show you the best way to.
Fillable Form Affidavit of Name Change After Marriage PDFRun
Online Affidavit For Name Change After Marriage Easily change your name with our free affidavit of name change form. Sample affidavit for name change after marriage. An affidavit of name change is used to provide proof of a name change that has already occurred, such as through a marriage or divorce. An affidavit of name change is a sworn statement that is used to verify the identity of a person who operates under multiple names. I, __________ daughter of _____________ and wife of _________ aged ___, residing at __________________, do hereby solemnly affirm. Fill it out online, download as a pdf, and print it for legal use. Depending on your situation, you may be able to request your change online. Answer a few questions about yourself, and we'll show you the best way to. Easily change your name with our free affidavit of name change form. This document can be helpful for. In some cases, women change their names to adopt their spouse's last name after marriage and most.
From www.uslegalforms.com
Name Affidavit Pdf Fill and Sign Printable Template Online Online Affidavit For Name Change After Marriage Depending on your situation, you may be able to request your change online. I, __________ daughter of _____________ and wife of _________ aged ___, residing at __________________, do hereby solemnly affirm. In some cases, women change their names to adopt their spouse's last name after marriage and most. An affidavit of name change is a sworn statement that is used. Online Affidavit For Name Change After Marriage.
From canatfashion.blogspot.com
20+ New For Sample Affidavit For Name Change After Marriage Online Affidavit For Name Change After Marriage An affidavit of name change is used to provide proof of a name change that has already occurred, such as through a marriage or divorce. This document can be helpful for. I, __________ daughter of _____________ and wife of _________ aged ___, residing at __________________, do hereby solemnly affirm. Answer a few questions about yourself, and we'll show you the. Online Affidavit For Name Change After Marriage.
From www.tesz.in
How to Change Your Name Legally in Delhi? Online Affidavit For Name Change After Marriage Fill it out online, download as a pdf, and print it for legal use. This document can be helpful for. Answer a few questions about yourself, and we'll show you the best way to. I, __________ daughter of _____________ and wife of _________ aged ___, residing at __________________, do hereby solemnly affirm. An affidavit of name change is used to. Online Affidavit For Name Change After Marriage.
From www.formsbank.com
Affidavit (For Change Of Name After Marriage) printable pdf download Online Affidavit For Name Change After Marriage Answer a few questions about yourself, and we'll show you the best way to. Depending on your situation, you may be able to request your change online. This document can be helpful for. An affidavit of name change is a sworn statement that is used to verify the identity of a person who operates under multiple names. Sample affidavit for. Online Affidavit For Name Change After Marriage.
From www.pdffiller.com
Fillable Online Affidavit Name Change Fax Email Print pdfFiller Online Affidavit For Name Change After Marriage Fill it out online, download as a pdf, and print it for legal use. Depending on your situation, you may be able to request your change online. Sample affidavit for name change after marriage. This document can be helpful for. An affidavit of name change is used to provide proof of a name change that has already occurred, such as. Online Affidavit For Name Change After Marriage.
From www.corporate-cases.com
Draft Affidavit for Change of Name after Marriage by a Woman Online Affidavit For Name Change After Marriage Depending on your situation, you may be able to request your change online. An affidavit of name change is used to provide proof of a name change that has already occurred, such as through a marriage or divorce. An affidavit of name change is a sworn statement that is used to verify the identity of a person who operates under. Online Affidavit For Name Change After Marriage.
From www.templateroller.com
Affidavit of Name Change Form Fill Out, Sign Online and Download PDF Templateroller Online Affidavit For Name Change After Marriage I, __________ daughter of _____________ and wife of _________ aged ___, residing at __________________, do hereby solemnly affirm. Easily change your name with our free affidavit of name change form. Answer a few questions about yourself, and we'll show you the best way to. In some cases, women change their names to adopt their spouse's last name after marriage and. Online Affidavit For Name Change After Marriage.
From www.pdffiller.com
Fillable Online Affidavit of change of name after marriage. Affidavit of change of name after Online Affidavit For Name Change After Marriage An affidavit of name change is a sworn statement that is used to verify the identity of a person who operates under multiple names. Fill it out online, download as a pdf, and print it for legal use. Depending on your situation, you may be able to request your change online. Answer a few questions about yourself, and we'll show. Online Affidavit For Name Change After Marriage.
From www.edrafter.in
Name Change after Marriage Affidavit Online eDrafter.in Online Affidavit For Name Change After Marriage In some cases, women change their names to adopt their spouse's last name after marriage and most. Sample affidavit for name change after marriage. Depending on your situation, you may be able to request your change online. I, __________ daughter of _____________ and wife of _________ aged ___, residing at __________________, do hereby solemnly affirm. This document can be helpful. Online Affidavit For Name Change After Marriage.
From likefm.org
How To Make Affidavit For Name Change After Marriage? Online Affidavit For Name Change After Marriage Answer a few questions about yourself, and we'll show you the best way to. Fill it out online, download as a pdf, and print it for legal use. Sample affidavit for name change after marriage. I, __________ daughter of _____________ and wife of _________ aged ___, residing at __________________, do hereby solemnly affirm. In some cases, women change their names. Online Affidavit For Name Change After Marriage.
From www.pdffiller.com
Fillable Online Affidavit for Name Change Online Affidavit For Name Change After Marriage I, __________ daughter of _____________ and wife of _________ aged ___, residing at __________________, do hereby solemnly affirm. An affidavit of name change is a sworn statement that is used to verify the identity of a person who operates under multiple names. Easily change your name with our free affidavit of name change form. Depending on your situation, you may. Online Affidavit For Name Change After Marriage.
From londonmedarb.com
Marriage Affidavit Template Free Printable Documents Online Affidavit For Name Change After Marriage I, __________ daughter of _____________ and wife of _________ aged ___, residing at __________________, do hereby solemnly affirm. Answer a few questions about yourself, and we'll show you the best way to. Fill it out online, download as a pdf, and print it for legal use. An affidavit of name change is used to provide proof of a name change. Online Affidavit For Name Change After Marriage.
From www.edrafter.in
How to Create Name Change after Marriage Affidavit? eDrafter Online Affidavit For Name Change After Marriage Easily change your name with our free affidavit of name change form. Sample affidavit for name change after marriage. An affidavit of name change is used to provide proof of a name change that has already occurred, such as through a marriage or divorce. In some cases, women change their names to adopt their spouse's last name after marriage and. Online Affidavit For Name Change After Marriage.
From www.rocketlawyer.com
Affidavit of Name Change Form, One and the Same Person Sample, Template Online Affidavit For Name Change After Marriage Sample affidavit for name change after marriage. Easily change your name with our free affidavit of name change form. In some cases, women change their names to adopt their spouse's last name after marriage and most. Fill it out online, download as a pdf, and print it for legal use. Answer a few questions about yourself, and we'll show you. Online Affidavit For Name Change After Marriage.
From www.edrafter.in
How To Make Affidavit For Marriage Certificate Online? eDrafter Online Affidavit For Name Change After Marriage Fill it out online, download as a pdf, and print it for legal use. Answer a few questions about yourself, and we'll show you the best way to. In some cases, women change their names to adopt their spouse's last name after marriage and most. Depending on your situation, you may be able to request your change online. An affidavit. Online Affidavit For Name Change After Marriage.
From ashuninotaryservices.com
How to fill out Affidavit of Name Change & Notarized it Online Affidavit For Name Change After Marriage An affidavit of name change is a sworn statement that is used to verify the identity of a person who operates under multiple names. Answer a few questions about yourself, and we'll show you the best way to. Depending on your situation, you may be able to request your change online. An affidavit of name change is used to provide. Online Affidavit For Name Change After Marriage.
From www.rocketlawyer.com
Free Affidavit of Name Change Free to Print, Save & Download Online Affidavit For Name Change After Marriage In some cases, women change their names to adopt their spouse's last name after marriage and most. Fill it out online, download as a pdf, and print it for legal use. Sample affidavit for name change after marriage. Easily change your name with our free affidavit of name change form. I, __________ daughter of _____________ and wife of _________ aged. Online Affidavit For Name Change After Marriage.
From www.scribd.com
Annexure 7 Format of Affidavit Change of Name After Marriage PDF Online Affidavit For Name Change After Marriage Sample affidavit for name change after marriage. Fill it out online, download as a pdf, and print it for legal use. Answer a few questions about yourself, and we'll show you the best way to. An affidavit of name change is a sworn statement that is used to verify the identity of a person who operates under multiple names. Easily. Online Affidavit For Name Change After Marriage.
From www.scribd.com
Sample Name Change Affidavit Online Affidavit For Name Change After Marriage Depending on your situation, you may be able to request your change online. I, __________ daughter of _____________ and wife of _________ aged ___, residing at __________________, do hereby solemnly affirm. An affidavit of name change is used to provide proof of a name change that has already occurred, such as through a marriage or divorce. In some cases, women. Online Affidavit For Name Change After Marriage.
From www.changeofnameads.com
NAME CHANGE FORMAT CHANGEOFNAMEADS190/ Online Affidavit For Name Change After Marriage Sample affidavit for name change after marriage. I, __________ daughter of _____________ and wife of _________ aged ___, residing at __________________, do hereby solemnly affirm. In some cases, women change their names to adopt their spouse's last name after marriage and most. Depending on your situation, you may be able to request your change online. An affidavit of name change. Online Affidavit For Name Change After Marriage.
From www.scribd.com
Affidavit for Change of Name After Marriage by a Woman Applicant Affidavit Notary Public Online Affidavit For Name Change After Marriage Depending on your situation, you may be able to request your change online. An affidavit of name change is a sworn statement that is used to verify the identity of a person who operates under multiple names. An affidavit of name change is used to provide proof of a name change that has already occurred, such as through a marriage. Online Affidavit For Name Change After Marriage.
From www.pinterest.com
Marriage Affidavit Template Free Printable Documents Name change, After marriage, Names Online Affidavit For Name Change After Marriage Sample affidavit for name change after marriage. In some cases, women change their names to adopt their spouse's last name after marriage and most. This document can be helpful for. Fill it out online, download as a pdf, and print it for legal use. Easily change your name with our free affidavit of name change form. Answer a few questions. Online Affidavit For Name Change After Marriage.
From www.pdffiller.com
Fillable Online Sample Affidavit for Name Change After Marriage Fax Email Print pdfFiller Online Affidavit For Name Change After Marriage I, __________ daughter of _____________ and wife of _________ aged ___, residing at __________________, do hereby solemnly affirm. In some cases, women change their names to adopt their spouse's last name after marriage and most. Fill it out online, download as a pdf, and print it for legal use. An affidavit of name change is a sworn statement that is. Online Affidavit For Name Change After Marriage.
From bugacelebrity.blogspot.com
35+ Trends For Affidavit Format For Name Change After Marriage In Word Online Affidavit For Name Change After Marriage Fill it out online, download as a pdf, and print it for legal use. An affidavit of name change is a sworn statement that is used to verify the identity of a person who operates under multiple names. I, __________ daughter of _____________ and wife of _________ aged ___, residing at __________________, do hereby solemnly affirm. Easily change your name. Online Affidavit For Name Change After Marriage.
From www.youtube.com
How to Fill Out Affidavit of Name Change Online PDFRun YouTube Online Affidavit For Name Change After Marriage Depending on your situation, you may be able to request your change online. Answer a few questions about yourself, and we'll show you the best way to. Easily change your name with our free affidavit of name change form. Sample affidavit for name change after marriage. In some cases, women change their names to adopt their spouse's last name after. Online Affidavit For Name Change After Marriage.
From canatfashion.blogspot.com
20+ New For Sample Affidavit For Name Change After Marriage Online Affidavit For Name Change After Marriage Answer a few questions about yourself, and we'll show you the best way to. An affidavit of name change is used to provide proof of a name change that has already occurred, such as through a marriage or divorce. Depending on your situation, you may be able to request your change online. In some cases, women change their names to. Online Affidavit For Name Change After Marriage.
From www.signnow.com
Affidavit Name Change Complete with ease airSlate SignNow Online Affidavit For Name Change After Marriage Fill it out online, download as a pdf, and print it for legal use. An affidavit of name change is a sworn statement that is used to verify the identity of a person who operates under multiple names. Depending on your situation, you may be able to request your change online. Sample affidavit for name change after marriage. I, __________. Online Affidavit For Name Change After Marriage.
From www.template.net
FREE Affidavit of Name Templates Download in Word, Google Docs, PDF, Apple Pages Online Affidavit For Name Change After Marriage Fill it out online, download as a pdf, and print it for legal use. Answer a few questions about yourself, and we'll show you the best way to. Easily change your name with our free affidavit of name change form. Sample affidavit for name change after marriage. I, __________ daughter of _____________ and wife of _________ aged ___, residing at. Online Affidavit For Name Change After Marriage.
From www.scribd.com
Affidavit Change Name Affidavit Marriage Online Affidavit For Name Change After Marriage Easily change your name with our free affidavit of name change form. This document can be helpful for. Answer a few questions about yourself, and we'll show you the best way to. Fill it out online, download as a pdf, and print it for legal use. An affidavit of name change is a sworn statement that is used to verify. Online Affidavit For Name Change After Marriage.
From www.sampleforms.com
FREE 14+ Affidavit Form For Marriage Samples, PDF, MS Word, Google Docs Online Affidavit For Name Change After Marriage In some cases, women change their names to adopt their spouse's last name after marriage and most. I, __________ daughter of _____________ and wife of _________ aged ___, residing at __________________, do hereby solemnly affirm. Fill it out online, download as a pdf, and print it for legal use. Depending on your situation, you may be able to request your. Online Affidavit For Name Change After Marriage.
From www.youtube.com
Affidavit For Change of Name After Marriage YouTube Online Affidavit For Name Change After Marriage An affidavit of name change is used to provide proof of a name change that has already occurred, such as through a marriage or divorce. Sample affidavit for name change after marriage. Depending on your situation, you may be able to request your change online. Easily change your name with our free affidavit of name change form. Fill it out. Online Affidavit For Name Change After Marriage.
From www.edrafter.in
Change of Name after Marriage Affidavit Online eDrafter.in Online Affidavit For Name Change After Marriage I, __________ daughter of _____________ and wife of _________ aged ___, residing at __________________, do hereby solemnly affirm. Answer a few questions about yourself, and we'll show you the best way to. An affidavit of name change is a sworn statement that is used to verify the identity of a person who operates under multiple names. Fill it out online,. Online Affidavit For Name Change After Marriage.
From www.pdffiller.com
Fillable Online Sample Affidavit for Name Change After Marriage Lawbench Fax Email Print Online Affidavit For Name Change After Marriage Easily change your name with our free affidavit of name change form. In some cases, women change their names to adopt their spouse's last name after marriage and most. This document can be helpful for. Sample affidavit for name change after marriage. Fill it out online, download as a pdf, and print it for legal use. An affidavit of name. Online Affidavit For Name Change After Marriage.
From www.pinterest.com
Sample Affidavit for First Name Change After Marriage Name change, After marriage, Names Online Affidavit For Name Change After Marriage Fill it out online, download as a pdf, and print it for legal use. In some cases, women change their names to adopt their spouse's last name after marriage and most. Easily change your name with our free affidavit of name change form. An affidavit of name change is used to provide proof of a name change that has already. Online Affidavit For Name Change After Marriage.
From www.pdfrun.com
Fillable Form Affidavit of Name Change After Marriage PDFRun Online Affidavit For Name Change After Marriage In some cases, women change their names to adopt their spouse's last name after marriage and most. This document can be helpful for. An affidavit of name change is a sworn statement that is used to verify the identity of a person who operates under multiple names. Fill it out online, download as a pdf, and print it for legal. Online Affidavit For Name Change After Marriage.