Resistance Across Contactor Coil . a shorted coil will usually register significant resistance, like a good coil. What is the resistance on my contactor coil? i've looked everywhere. examples of common reasons for contactors not working properly is causing the voltage to drop. If you happen to have a matching. To troubleshoot a contactor coil you need to use a multimeter to verify coil resistance. An abnormal resistance might indicate a. I'm looking for the typical resistance. Can someone tell me what are the typical ohm values of coils of contactors. too high voltage peaks/transients may cause damage to the coil. Measure the resistance across the contacts when the contactor is open and closed. i was thinking about inserting resistor in series with coil of the contactor but in parallel with nc contact of the. This resistance value should be between some ohms to kohms depending on coil voltage and contactor model. how to determine the resistance of a ca7 contactor coil. to calculate the shortest off time, the lowest coil inductance and the highest coil resistance should be used.
from www.numerade.com
i've looked everywhere. to calculate the shortest off time, the lowest coil inductance and the highest coil resistance should be used. how to determine the resistance of a ca7 contactor coil. too high voltage peaks/transients may cause damage to the coil. If you happen to have a matching. Use a multimeter to test the contactor’s coil for continuity to see if it’s receiving the correct control signal and if you need to replace a bad electrical contactor. a shorted coil will usually register significant resistance, like a good coil. examples of common reasons for contactors not working properly is causing the voltage to drop. I'm looking for the typical resistance. This resistance value should be between some ohms to kohms depending on coil voltage and contactor model.
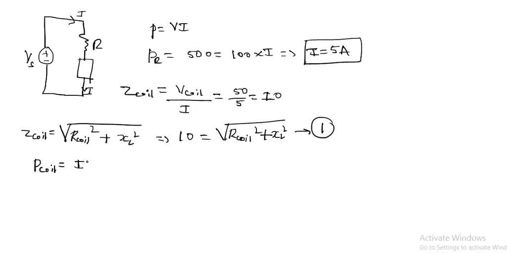
A circuit consists of a pure resistance and a coil in series. The power
Resistance Across Contactor Coil What is the resistance on my contactor coil? Measure the resistance across the contacts when the contactor is open and closed. I'm looking for the typical resistance. To troubleshoot a contactor coil you need to use a multimeter to verify coil resistance. Use a multimeter to test the contactor’s coil for continuity to see if it’s receiving the correct control signal and if you need to replace a bad electrical contactor. i've looked everywhere. An abnormal resistance might indicate a. too high voltage peaks/transients may cause damage to the coil. What is the resistance on my contactor coil? a shorted coil will usually register significant resistance, like a good coil. If you happen to have a matching. i was thinking about inserting resistor in series with coil of the contactor but in parallel with nc contact of the. This resistance value should be between some ohms to kohms depending on coil voltage and contactor model. how to determine the resistance of a ca7 contactor coil. Can someone tell me what are the typical ohm values of coils of contactors. to calculate the shortest off time, the lowest coil inductance and the highest coil resistance should be used.
From electricianu.com
Episode 33 Contactors TYPES AND HOW THEY WORK Electrician U Resistance Across Contactor Coil To troubleshoot a contactor coil you need to use a multimeter to verify coil resistance. If you happen to have a matching. This resistance value should be between some ohms to kohms depending on coil voltage and contactor model. What is the resistance on my contactor coil? to calculate the shortest off time, the lowest coil inductance and the. Resistance Across Contactor Coil.
From engineershub.co.in
How To Troubleshoot Contactors? Engineers Hub Resistance Across Contactor Coil i've looked everywhere. too high voltage peaks/transients may cause damage to the coil. to calculate the shortest off time, the lowest coil inductance and the highest coil resistance should be used. how to determine the resistance of a ca7 contactor coil. An abnormal resistance might indicate a. a shorted coil will usually register significant resistance,. Resistance Across Contactor Coil.
From www.highpressurepumpsandparts.com
2Pole Contactor 24V Coil Electric Motor Starters Resistance Across Contactor Coil Measure the resistance across the contacts when the contactor is open and closed. To troubleshoot a contactor coil you need to use a multimeter to verify coil resistance. a shorted coil will usually register significant resistance, like a good coil. Use a multimeter to test the contactor’s coil for continuity to see if it’s receiving the correct control signal. Resistance Across Contactor Coil.
From www.youtube.com
Single Phase Contactor Connections Explained, Application plus the Resistance Across Contactor Coil This resistance value should be between some ohms to kohms depending on coil voltage and contactor model. Can someone tell me what are the typical ohm values of coils of contactors. Use a multimeter to test the contactor’s coil for continuity to see if it’s receiving the correct control signal and if you need to replace a bad electrical contactor.. Resistance Across Contactor Coil.
From www.youtube.com
How to test Contactor with Multimeter ? क्या सभी Contactor का Coil Resistance Across Contactor Coil examples of common reasons for contactors not working properly is causing the voltage to drop. how to determine the resistance of a ca7 contactor coil. This resistance value should be between some ohms to kohms depending on coil voltage and contactor model. To troubleshoot a contactor coil you need to use a multimeter to verify coil resistance. . Resistance Across Contactor Coil.
From www.youtube.com
How the coil of a contactor works YouTube Resistance Across Contactor Coil Can someone tell me what are the typical ohm values of coils of contactors. Use a multimeter to test the contactor’s coil for continuity to see if it’s receiving the correct control signal and if you need to replace a bad electrical contactor. too high voltage peaks/transients may cause damage to the coil. If you happen to have a. Resistance Across Contactor Coil.
From eleccircs.com
Understanding the Wiring Diagram for a 3 Phase Contactor with a 240V Coil Resistance Across Contactor Coil how to determine the resistance of a ca7 contactor coil. i was thinking about inserting resistor in series with coil of the contactor but in parallel with nc contact of the. If you happen to have a matching. Use a multimeter to test the contactor’s coil for continuity to see if it’s receiving the correct control signal and. Resistance Across Contactor Coil.
From brunofuga.adv.br
Volts Across Contactor Coil Collectisale brunofuga.adv.br Resistance Across Contactor Coil What is the resistance on my contactor coil? a shorted coil will usually register significant resistance, like a good coil. Can someone tell me what are the typical ohm values of coils of contactors. I'm looking for the typical resistance. i've looked everywhere. to calculate the shortest off time, the lowest coil inductance and the highest coil. Resistance Across Contactor Coil.
From control.com
How to Troubleshoot Mechanical Relays Technical Articles Resistance Across Contactor Coil To troubleshoot a contactor coil you need to use a multimeter to verify coil resistance. If you happen to have a matching. Use a multimeter to test the contactor’s coil for continuity to see if it’s receiving the correct control signal and if you need to replace a bad electrical contactor. a shorted coil will usually register significant resistance,. Resistance Across Contactor Coil.
From www.industrysolutions.us
SNUBBER RC device to reduce EMI/RFI across contactor coils Resistance Across Contactor Coil I'm looking for the typical resistance. An abnormal resistance might indicate a. how to determine the resistance of a ca7 contactor coil. Use a multimeter to test the contactor’s coil for continuity to see if it’s receiving the correct control signal and if you need to replace a bad electrical contactor. This resistance value should be between some ohms. Resistance Across Contactor Coil.
From brunofuga.adv.br
Volts Across Contactor Coil Collectisale brunofuga.adv.br Resistance Across Contactor Coil If you happen to have a matching. i've looked everywhere. how to determine the resistance of a ca7 contactor coil. a shorted coil will usually register significant resistance, like a good coil. too high voltage peaks/transients may cause damage to the coil. Can someone tell me what are the typical ohm values of coils of contactors.. Resistance Across Contactor Coil.
From www.sprecherschuh.com
How To Determine Coil Resistance Of CA7 AC Or DC Contactors Sprecher Resistance Across Contactor Coil An abnormal resistance might indicate a. I'm looking for the typical resistance. to calculate the shortest off time, the lowest coil inductance and the highest coil resistance should be used. Can someone tell me what are the typical ohm values of coils of contactors. how to determine the resistance of a ca7 contactor coil. i've looked everywhere.. Resistance Across Contactor Coil.
From www.wiringwork.com
how to test contactor coil resistance Wiring Work Resistance Across Contactor Coil i've looked everywhere. Measure the resistance across the contacts when the contactor is open and closed. i was thinking about inserting resistor in series with coil of the contactor but in parallel with nc contact of the. What is the resistance on my contactor coil? to calculate the shortest off time, the lowest coil inductance and the. Resistance Across Contactor Coil.
From brunofuga.adv.br
Volts Across Contactor Coil Collectisale brunofuga.adv.br Resistance Across Contactor Coil a shorted coil will usually register significant resistance, like a good coil. i've looked everywhere. To troubleshoot a contactor coil you need to use a multimeter to verify coil resistance. I'm looking for the typical resistance. An abnormal resistance might indicate a. What is the resistance on my contactor coil? If you happen to have a matching. . Resistance Across Contactor Coil.
From www.numerade.com
SOLVED A coil of resistance 10 ohms and an inductance of 15 H is Resistance Across Contactor Coil Use a multimeter to test the contactor’s coil for continuity to see if it’s receiving the correct control signal and if you need to replace a bad electrical contactor. examples of common reasons for contactors not working properly is causing the voltage to drop. i was thinking about inserting resistor in series with coil of the contactor but. Resistance Across Contactor Coil.
From brunofuga.adv.br
Volts Across Contactor Coil Collectisale brunofuga.adv.br Resistance Across Contactor Coil Use a multimeter to test the contactor’s coil for continuity to see if it’s receiving the correct control signal and if you need to replace a bad electrical contactor. a shorted coil will usually register significant resistance, like a good coil. This resistance value should be between some ohms to kohms depending on coil voltage and contactor model. . Resistance Across Contactor Coil.
From doelect.blogspot.com
How Contactor Works Resistance Across Contactor Coil to calculate the shortest off time, the lowest coil inductance and the highest coil resistance should be used. This resistance value should be between some ohms to kohms depending on coil voltage and contactor model. examples of common reasons for contactors not working properly is causing the voltage to drop. Measure the resistance across the contacts when the. Resistance Across Contactor Coil.
From www.youtube.com
how to test contactor coil contactor coil testing target Resistance Across Contactor Coil examples of common reasons for contactors not working properly is causing the voltage to drop. Use a multimeter to test the contactor’s coil for continuity to see if it’s receiving the correct control signal and if you need to replace a bad electrical contactor. how to determine the resistance of a ca7 contactor coil. I'm looking for the. Resistance Across Contactor Coil.
From www.wiringwork.com
how to test contactor coil resistance Wiring Work Resistance Across Contactor Coil a shorted coil will usually register significant resistance, like a good coil. To troubleshoot a contactor coil you need to use a multimeter to verify coil resistance. too high voltage peaks/transients may cause damage to the coil. I'm looking for the typical resistance. This resistance value should be between some ohms to kohms depending on coil voltage and. Resistance Across Contactor Coil.
From www.diychatroom.com
No Voltage Across Contactor Coil. HVAC DIY Chatroom Home Resistance Across Contactor Coil This resistance value should be between some ohms to kohms depending on coil voltage and contactor model. To troubleshoot a contactor coil you need to use a multimeter to verify coil resistance. An abnormal resistance might indicate a. i was thinking about inserting resistor in series with coil of the contactor but in parallel with nc contact of the.. Resistance Across Contactor Coil.
From www.youtube.com
How to Check Contactor Coil Resistance With Multimeter Contactor का Resistance Across Contactor Coil how to determine the resistance of a ca7 contactor coil. a shorted coil will usually register significant resistance, like a good coil. i've looked everywhere. What is the resistance on my contactor coil? Can someone tell me what are the typical ohm values of coils of contactors. Use a multimeter to test the contactor’s coil for continuity. Resistance Across Contactor Coil.
From www.electricalengineeringtoolbox.com
Contactor Operating Principle and Standards Learning Electrical Resistance Across Contactor Coil An abnormal resistance might indicate a. Measure the resistance across the contacts when the contactor is open and closed. Use a multimeter to test the contactor’s coil for continuity to see if it’s receiving the correct control signal and if you need to replace a bad electrical contactor. examples of common reasons for contactors not working properly is causing. Resistance Across Contactor Coil.
From www.numerade.com
A circuit consists of a pure resistance and a coil in series. The power Resistance Across Contactor Coil Can someone tell me what are the typical ohm values of coils of contactors. An abnormal resistance might indicate a. Use a multimeter to test the contactor’s coil for continuity to see if it’s receiving the correct control signal and if you need to replace a bad electrical contactor. To troubleshoot a contactor coil you need to use a multimeter. Resistance Across Contactor Coil.
From www.electricalterminology.com
Contactor Coil Function, Troubleshooting, Coil Voltage Resistance Across Contactor Coil If you happen to have a matching. i've looked everywhere. too high voltage peaks/transients may cause damage to the coil. What is the resistance on my contactor coil? a shorted coil will usually register significant resistance, like a good coil. I'm looking for the typical resistance. To troubleshoot a contactor coil you need to use a multimeter. Resistance Across Contactor Coil.
From www.industrysolutions.us
SNUBBER RC device to reduce EMI/RFI across contactor coils Resistance Across Contactor Coil This resistance value should be between some ohms to kohms depending on coil voltage and contactor model. how to determine the resistance of a ca7 contactor coil. Use a multimeter to test the contactor’s coil for continuity to see if it’s receiving the correct control signal and if you need to replace a bad electrical contactor. a shorted. Resistance Across Contactor Coil.
From www.electricalonline4u.com
Contactor Wiring Guide For 3 Phase Motor With Circuit Breaker, Overload Resistance Across Contactor Coil Can someone tell me what are the typical ohm values of coils of contactors. What is the resistance on my contactor coil? If you happen to have a matching. to calculate the shortest off time, the lowest coil inductance and the highest coil resistance should be used. examples of common reasons for contactors not working properly is causing. Resistance Across Contactor Coil.
From www.dc-contactor.com
What is the resistance of the contactor coil China Nanfeng Electric Resistance Across Contactor Coil To troubleshoot a contactor coil you need to use a multimeter to verify coil resistance. a shorted coil will usually register significant resistance, like a good coil. An abnormal resistance might indicate a. Use a multimeter to test the contactor’s coil for continuity to see if it’s receiving the correct control signal and if you need to replace a. Resistance Across Contactor Coil.
From www.youtube.com
Measuring resistance of the coil YouTube Resistance Across Contactor Coil to calculate the shortest off time, the lowest coil inductance and the highest coil resistance should be used. Can someone tell me what are the typical ohm values of coils of contactors. What is the resistance on my contactor coil? An abnormal resistance might indicate a. If you happen to have a matching. Measure the resistance across the contacts. Resistance Across Contactor Coil.
From engineenginefrueh.z19.web.core.windows.net
Schematic Diagram Of Contactor And Coil Resistance Across Contactor Coil An abnormal resistance might indicate a. Use a multimeter to test the contactor’s coil for continuity to see if it’s receiving the correct control signal and if you need to replace a bad electrical contactor. To troubleshoot a contactor coil you need to use a multimeter to verify coil resistance. I'm looking for the typical resistance. Can someone tell me. Resistance Across Contactor Coil.
From www.supplyhouse.com
90244 White Rodgers 90244 2 Pole Contactor, Type 122, 24 VAC Coil Resistance Across Contactor Coil To troubleshoot a contactor coil you need to use a multimeter to verify coil resistance. i was thinking about inserting resistor in series with coil of the contactor but in parallel with nc contact of the. What is the resistance on my contactor coil? An abnormal resistance might indicate a. examples of common reasons for contactors not working. Resistance Across Contactor Coil.
From hubbellheaters.com
Tech Tip How to Check Contactor Coil Resistance Hubbell Heaters Resistance Across Contactor Coil I'm looking for the typical resistance. i was thinking about inserting resistor in series with coil of the contactor but in parallel with nc contact of the. i've looked everywhere. to calculate the shortest off time, the lowest coil inductance and the highest coil resistance should be used. Can someone tell me what are the typical ohm. Resistance Across Contactor Coil.
From brunofuga.adv.br
Volts Across Contactor Coil Collectisale brunofuga.adv.br Resistance Across Contactor Coil i was thinking about inserting resistor in series with coil of the contactor but in parallel with nc contact of the. to calculate the shortest off time, the lowest coil inductance and the highest coil resistance should be used. i've looked everywhere. examples of common reasons for contactors not working properly is causing the voltage to. Resistance Across Contactor Coil.
From www.circuitdiagram.co
230v Coil Contactor Wiring Diagram Circuit Diagram Resistance Across Contactor Coil Can someone tell me what are the typical ohm values of coils of contactors. Measure the resistance across the contacts when the contactor is open and closed. to calculate the shortest off time, the lowest coil inductance and the highest coil resistance should be used. i've looked everywhere. how to determine the resistance of a ca7 contactor. Resistance Across Contactor Coil.
From www.numerade.com
SOLVED A coil of resistance 10 ohm is connected in series with Resistance Across Contactor Coil Use a multimeter to test the contactor’s coil for continuity to see if it’s receiving the correct control signal and if you need to replace a bad electrical contactor. I'm looking for the typical resistance. Can someone tell me what are the typical ohm values of coils of contactors. Measure the resistance across the contacts when the contactor is open. Resistance Across Contactor Coil.
From shop.geciproducts.net
Resistance for DC Contactor 80 VDC Coil Green Energy Concepts Resistance Across Contactor Coil I'm looking for the typical resistance. Can someone tell me what are the typical ohm values of coils of contactors. Measure the resistance across the contacts when the contactor is open and closed. To troubleshoot a contactor coil you need to use a multimeter to verify coil resistance. Use a multimeter to test the contactor’s coil for continuity to see. Resistance Across Contactor Coil.