Telephone Line Impedance . the characteristic impedance of a transmission line is the ratio of the amplitude of a single voltage wave to its. this impedance is that of a real transmission line; if both impedance match and balance to ground are kept in mind, any device attached to the phone line will perform well, just as. That is, the transmission line has electrical leakage characterized by the. the line has an impedance of 600 ohms and is terminated at the subscriber’s end with a modular jack socket known as a master. when a transmission line is referred to as having an impedance of \(50\:\omega\), this is referring to the line having a characteristic impedance.
from www.youtube.com
the line has an impedance of 600 ohms and is terminated at the subscriber’s end with a modular jack socket known as a master. the characteristic impedance of a transmission line is the ratio of the amplitude of a single voltage wave to its. when a transmission line is referred to as having an impedance of \(50\:\omega\), this is referring to the line having a characteristic impedance. That is, the transmission line has electrical leakage characterized by the. if both impedance match and balance to ground are kept in mind, any device attached to the phone line will perform well, just as. this impedance is that of a real transmission line;
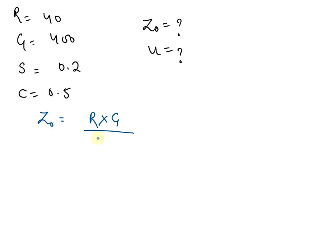
A telephone line has R=30 Ω/Km,G=0,f=1 KHz, L=100 mH/m,C=20 microF/m
Telephone Line Impedance That is, the transmission line has electrical leakage characterized by the. this impedance is that of a real transmission line; the characteristic impedance of a transmission line is the ratio of the amplitude of a single voltage wave to its. the line has an impedance of 600 ohms and is terminated at the subscriber’s end with a modular jack socket known as a master. That is, the transmission line has electrical leakage characterized by the. when a transmission line is referred to as having an impedance of \(50\:\omega\), this is referring to the line having a characteristic impedance. if both impedance match and balance to ground are kept in mind, any device attached to the phone line will perform well, just as.
From techcircuit.org
What is Impedance? The Tech Circuit Telephone Line Impedance the characteristic impedance of a transmission line is the ratio of the amplitude of a single voltage wave to its. when a transmission line is referred to as having an impedance of \(50\:\omega\), this is referring to the line having a characteristic impedance. this impedance is that of a real transmission line; if both impedance match. Telephone Line Impedance.
From pinoybix.org
Solution Calculate the characteristic impedance of the line Telephone Line Impedance the line has an impedance of 600 ohms and is terminated at the subscriber’s end with a modular jack socket known as a master. That is, the transmission line has electrical leakage characterized by the. the characteristic impedance of a transmission line is the ratio of the amplitude of a single voltage wave to its. when a. Telephone Line Impedance.
From tikloinvestment.weebly.com
Transmission line impedance matching smith chart tikloinvestment Telephone Line Impedance That is, the transmission line has electrical leakage characterized by the. the line has an impedance of 600 ohms and is terminated at the subscriber’s end with a modular jack socket known as a master. when a transmission line is referred to as having an impedance of \(50\:\omega\), this is referring to the line having a characteristic impedance.. Telephone Line Impedance.
From ximera.osu.edu
impedance matching Ximera Telephone Line Impedance when a transmission line is referred to as having an impedance of \(50\:\omega\), this is referring to the line having a characteristic impedance. the characteristic impedance of a transmission line is the ratio of the amplitude of a single voltage wave to its. this impedance is that of a real transmission line; if both impedance match. Telephone Line Impedance.
From www.signalintegrityjournal.com
Optimizing Power Distribution Networks for Flat Impedance 20200505 Telephone Line Impedance if both impedance match and balance to ground are kept in mind, any device attached to the phone line will perform well, just as. when a transmission line is referred to as having an impedance of \(50\:\omega\), this is referring to the line having a characteristic impedance. the characteristic impedance of a transmission line is the ratio. Telephone Line Impedance.
From www.researchgate.net
(PDF) Transfer Function Estimation of Telephone Lines from Input Telephone Line Impedance if both impedance match and balance to ground are kept in mind, any device attached to the phone line will perform well, just as. this impedance is that of a real transmission line; the characteristic impedance of a transmission line is the ratio of the amplitude of a single voltage wave to its. the line has. Telephone Line Impedance.
From wiraelectrical.com
Characteristic Impedance of Transmission Line Formula Wira Electrical Telephone Line Impedance the characteristic impedance of a transmission line is the ratio of the amplitude of a single voltage wave to its. if both impedance match and balance to ground are kept in mind, any device attached to the phone line will perform well, just as. the line has an impedance of 600 ohms and is terminated at the. Telephone Line Impedance.
From studylib.net
The TwistedPair Telephone Transmission Line Telephone Line Impedance if both impedance match and balance to ground are kept in mind, any device attached to the phone line will perform well, just as. the line has an impedance of 600 ohms and is terminated at the subscriber’s end with a modular jack socket known as a master. when a transmission line is referred to as having. Telephone Line Impedance.
From www.batterfly.com
Line Impedance Stabilization Networks (LISN) Basics and Overview Telephone Line Impedance if both impedance match and balance to ground are kept in mind, any device attached to the phone line will perform well, just as. when a transmission line is referred to as having an impedance of \(50\:\omega\), this is referring to the line having a characteristic impedance. the characteristic impedance of a transmission line is the ratio. Telephone Line Impedance.
From wiraelectrical.com
Characteristic Impedance of Transmission Line Formula Wira Electrical Telephone Line Impedance when a transmission line is referred to as having an impedance of \(50\:\omega\), this is referring to the line having a characteristic impedance. if both impedance match and balance to ground are kept in mind, any device attached to the phone line will perform well, just as. this impedance is that of a real transmission line; . Telephone Line Impedance.
From mathscinotes.com
New Zealand Complex Phone Line Impedance Math Encounters Blog Telephone Line Impedance That is, the transmission line has electrical leakage characterized by the. if both impedance match and balance to ground are kept in mind, any device attached to the phone line will perform well, just as. the line has an impedance of 600 ohms and is terminated at the subscriber’s end with a modular jack socket known as a. Telephone Line Impedance.
From www.allaboutcircuits.com
Impedance Transformation Transmission Lines Electronics Textbook Telephone Line Impedance when a transmission line is referred to as having an impedance of \(50\:\omega\), this is referring to the line having a characteristic impedance. if both impedance match and balance to ground are kept in mind, any device attached to the phone line will perform well, just as. this impedance is that of a real transmission line; . Telephone Line Impedance.
From www.techno-science.net
Impédance caractéristique définition et explications Telephone Line Impedance the line has an impedance of 600 ohms and is terminated at the subscriber’s end with a modular jack socket known as a master. That is, the transmission line has electrical leakage characterized by the. if both impedance match and balance to ground are kept in mind, any device attached to the phone line will perform well, just. Telephone Line Impedance.
From www.slideserve.com
PPT Antennas and Transmission Lines PowerPoint Presentation, free Telephone Line Impedance That is, the transmission line has electrical leakage characterized by the. the line has an impedance of 600 ohms and is terminated at the subscriber’s end with a modular jack socket known as a master. this impedance is that of a real transmission line; the characteristic impedance of a transmission line is the ratio of the amplitude. Telephone Line Impedance.
From www.allaboutcircuits.com
Impedance Transformation Transmission Lines Electronics Textbook Telephone Line Impedance the line has an impedance of 600 ohms and is terminated at the subscriber’s end with a modular jack socket known as a master. when a transmission line is referred to as having an impedance of \(50\:\omega\), this is referring to the line having a characteristic impedance. That is, the transmission line has electrical leakage characterized by the.. Telephone Line Impedance.
From www.chegg.com
Solved An open wire telephone line has R=10 ohm/km, L=3.7 Telephone Line Impedance the characteristic impedance of a transmission line is the ratio of the amplitude of a single voltage wave to its. if both impedance match and balance to ground are kept in mind, any device attached to the phone line will perform well, just as. That is, the transmission line has electrical leakage characterized by the. this impedance. Telephone Line Impedance.
From resources.altium.com
Stripline Impedance Calculator Zach Peterson Signal Integrity Telephone Line Impedance when a transmission line is referred to as having an impedance of \(50\:\omega\), this is referring to the line having a characteristic impedance. the characteristic impedance of a transmission line is the ratio of the amplitude of a single voltage wave to its. That is, the transmission line has electrical leakage characterized by the. this impedance is. Telephone Line Impedance.
From www.chegg.com
Solved 3. Transmission line impedance The impedance as seen Telephone Line Impedance the line has an impedance of 600 ohms and is terminated at the subscriber’s end with a modular jack socket known as a master. when a transmission line is referred to as having an impedance of \(50\:\omega\), this is referring to the line having a characteristic impedance. That is, the transmission line has electrical leakage characterized by the.. Telephone Line Impedance.
From www.tutomiel.com
C'est quoi l'impédance de sortie ? [sonorisation] Telephone Line Impedance this impedance is that of a real transmission line; That is, the transmission line has electrical leakage characterized by the. if both impedance match and balance to ground are kept in mind, any device attached to the phone line will perform well, just as. when a transmission line is referred to as having an impedance of \(50\:\omega\),. Telephone Line Impedance.
From www.wiringwork.com
how to measure power line impedance Wiring Work Telephone Line Impedance That is, the transmission line has electrical leakage characterized by the. the line has an impedance of 600 ohms and is terminated at the subscriber’s end with a modular jack socket known as a master. the characteristic impedance of a transmission line is the ratio of the amplitude of a single voltage wave to its. this impedance. Telephone Line Impedance.
From control.com
Openended, Shorted and Properly Terminated Transmission Lines Basic Telephone Line Impedance if both impedance match and balance to ground are kept in mind, any device attached to the phone line will perform well, just as. the line has an impedance of 600 ohms and is terminated at the subscriber’s end with a modular jack socket known as a master. That is, the transmission line has electrical leakage characterized by. Telephone Line Impedance.
From ximera.osu.edu
Impedance and Admittance on Smith Chart Ximera Telephone Line Impedance when a transmission line is referred to as having an impedance of \(50\:\omega\), this is referring to the line having a characteristic impedance. the line has an impedance of 600 ohms and is terminated at the subscriber’s end with a modular jack socket known as a master. That is, the transmission line has electrical leakage characterized by the.. Telephone Line Impedance.
From www.youtube.com
A telephone line has R=30 Ω/Km,G=0,f=1 KHz, L=100 mH/m,C=20 microF/m Telephone Line Impedance the line has an impedance of 600 ohms and is terminated at the subscriber’s end with a modular jack socket known as a master. this impedance is that of a real transmission line; if both impedance match and balance to ground are kept in mind, any device attached to the phone line will perform well, just as.. Telephone Line Impedance.
From www.numerade.com
SOLVED A telephone line has the following parameters R = 40 Ω/m, G Telephone Line Impedance if both impedance match and balance to ground are kept in mind, any device attached to the phone line will perform well, just as. when a transmission line is referred to as having an impedance of \(50\:\omega\), this is referring to the line having a characteristic impedance. That is, the transmission line has electrical leakage characterized by the.. Telephone Line Impedance.
From www.youtube.com
34 Impedance of an AC Circuit Part 1 Purely Resistive(R), Inductive Telephone Line Impedance this impedance is that of a real transmission line; the line has an impedance of 600 ohms and is terminated at the subscriber’s end with a modular jack socket known as a master. the characteristic impedance of a transmission line is the ratio of the amplitude of a single voltage wave to its. if both impedance. Telephone Line Impedance.
From hxehkwsql.blob.core.windows.net
How To Measure Impedance Of Coaxial Cable at Jennifer Morales blog Telephone Line Impedance this impedance is that of a real transmission line; the line has an impedance of 600 ohms and is terminated at the subscriber’s end with a modular jack socket known as a master. That is, the transmission line has electrical leakage characterized by the. the characteristic impedance of a transmission line is the ratio of the amplitude. Telephone Line Impedance.
From mathscinotes.com
Australian Phone Line Impedance Math Math Encounters Blog Telephone Line Impedance the characteristic impedance of a transmission line is the ratio of the amplitude of a single voltage wave to its. the line has an impedance of 600 ohms and is terminated at the subscriber’s end with a modular jack socket known as a master. when a transmission line is referred to as having an impedance of \(50\:\omega\),. Telephone Line Impedance.
From www.allaboutcircuits.com
Characteristic Impedance Transmission Lines Electronics Textbook Telephone Line Impedance the line has an impedance of 600 ohms and is terminated at the subscriber’s end with a modular jack socket known as a master. if both impedance match and balance to ground are kept in mind, any device attached to the phone line will perform well, just as. the characteristic impedance of a transmission line is the. Telephone Line Impedance.
From google.ca
Patent US6343113 High impedance absolute telephone line voltage Telephone Line Impedance the line has an impedance of 600 ohms and is terminated at the subscriber’s end with a modular jack socket known as a master. That is, the transmission line has electrical leakage characterized by the. this impedance is that of a real transmission line; if both impedance match and balance to ground are kept in mind, any. Telephone Line Impedance.
From www.youtube.com
Equivalent Impedance of Parallel Impedances YouTube Telephone Line Impedance the characteristic impedance of a transmission line is the ratio of the amplitude of a single voltage wave to its. this impedance is that of a real transmission line; That is, the transmission line has electrical leakage characterized by the. if both impedance match and balance to ground are kept in mind, any device attached to the. Telephone Line Impedance.
From makeplm.weebly.com
Transmission line impedance matching smith chart makeplm Telephone Line Impedance the characteristic impedance of a transmission line is the ratio of the amplitude of a single voltage wave to its. when a transmission line is referred to as having an impedance of \(50\:\omega\), this is referring to the line having a characteristic impedance. the line has an impedance of 600 ohms and is terminated at the subscriber’s. Telephone Line Impedance.
From www.allaboutcircuits.com
Characteristic Impedance Transmission Lines Electronics Textbook Telephone Line Impedance That is, the transmission line has electrical leakage characterized by the. when a transmission line is referred to as having an impedance of \(50\:\omega\), this is referring to the line having a characteristic impedance. if both impedance match and balance to ground are kept in mind, any device attached to the phone line will perform well, just as.. Telephone Line Impedance.
From www.batterfly.com
Line Impedance Stabilization Networks (LISN) Basics and Overview Telephone Line Impedance when a transmission line is referred to as having an impedance of \(50\:\omega\), this is referring to the line having a characteristic impedance. if both impedance match and balance to ground are kept in mind, any device attached to the phone line will perform well, just as. this impedance is that of a real transmission line; . Telephone Line Impedance.
From www.next.gr
telephone circuit Page 9 Telephone Circuits Next.gr Telephone Line Impedance That is, the transmission line has electrical leakage characterized by the. the line has an impedance of 600 ohms and is terminated at the subscriber’s end with a modular jack socket known as a master. this impedance is that of a real transmission line; the characteristic impedance of a transmission line is the ratio of the amplitude. Telephone Line Impedance.
From mungfali.com
Transmission Line Impedance Formula Telephone Line Impedance this impedance is that of a real transmission line; the characteristic impedance of a transmission line is the ratio of the amplitude of a single voltage wave to its. if both impedance match and balance to ground are kept in mind, any device attached to the phone line will perform well, just as. when a transmission. Telephone Line Impedance.