Settlement Of Estate Under Article 13 Scpa . They can be filled out electronically, then printed. To be appointed a voluntary administrator, the petitioner must file an affidavit in relation to settlement of estate under article 13, scpa along with a death certificate in the. Amended affidavit in relation to settlement of estate under article 13 (decedent died prior to 8/29/1996) report & account in. The pdf version of these forms are fillable. Settlement of small estates without court administration. Affidavit in relation to settlement of estate under article 13, scpa. This may be done in some instances by crossing out. Discharge of debtor, transfer agent, safe deposit company, bank, trust company or other person. In completing this form, answer each question. They however can not be submitted.
from www.templateroller.com
The pdf version of these forms are fillable. To be appointed a voluntary administrator, the petitioner must file an affidavit in relation to settlement of estate under article 13, scpa along with a death certificate in the. Amended affidavit in relation to settlement of estate under article 13 (decedent died prior to 8/29/1996) report & account in. Affidavit in relation to settlement of estate under article 13, scpa. Settlement of small estates without court administration. This may be done in some instances by crossing out. They can be filled out electronically, then printed. Discharge of debtor, transfer agent, safe deposit company, bank, trust company or other person. They however can not be submitted. In completing this form, answer each question.
Form SE1A Fill Out, Sign Online and Download Fillable PDF, New York
Settlement Of Estate Under Article 13 Scpa Affidavit in relation to settlement of estate under article 13, scpa. Settlement of small estates without court administration. This may be done in some instances by crossing out. The pdf version of these forms are fillable. Discharge of debtor, transfer agent, safe deposit company, bank, trust company or other person. They however can not be submitted. To be appointed a voluntary administrator, the petitioner must file an affidavit in relation to settlement of estate under article 13, scpa along with a death certificate in the. Amended affidavit in relation to settlement of estate under article 13 (decedent died prior to 8/29/1996) report & account in. They can be filled out electronically, then printed. In completing this form, answer each question. Affidavit in relation to settlement of estate under article 13, scpa.
From gfoss.eu
A final xray of Article 13 legislative wishful thinking that will Settlement Of Estate Under Article 13 Scpa This may be done in some instances by crossing out. They however can not be submitted. Discharge of debtor, transfer agent, safe deposit company, bank, trust company or other person. Amended affidavit in relation to settlement of estate under article 13 (decedent died prior to 8/29/1996) report & account in. They can be filled out electronically, then printed. To be. Settlement Of Estate Under Article 13 Scpa.
From www.templateroller.com
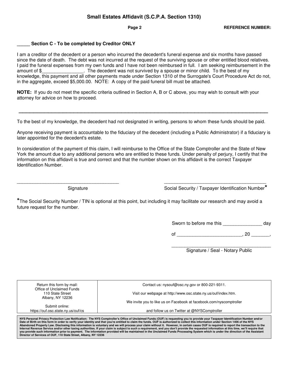
New York Small Estates Affidavit (S.c.p.a. Section 1310) Fill Out Settlement Of Estate Under Article 13 Scpa The pdf version of these forms are fillable. In completing this form, answer each question. Affidavit in relation to settlement of estate under article 13, scpa. They however can not be submitted. Settlement of small estates without court administration. To be appointed a voluntary administrator, the petitioner must file an affidavit in relation to settlement of estate under article 13,. Settlement Of Estate Under Article 13 Scpa.
From www.templateroller.com
New York Small Estates Affidavit (S.c.p.a. Section 1310) Fill Out Settlement Of Estate Under Article 13 Scpa Affidavit in relation to settlement of estate under article 13, scpa. In completing this form, answer each question. The pdf version of these forms are fillable. This may be done in some instances by crossing out. Discharge of debtor, transfer agent, safe deposit company, bank, trust company or other person. They however can not be submitted. They can be filled. Settlement Of Estate Under Article 13 Scpa.
From www.signnow.com
New York Settle Complete with ease airSlate SignNow Settlement Of Estate Under Article 13 Scpa The pdf version of these forms are fillable. They however can not be submitted. This may be done in some instances by crossing out. Settlement of small estates without court administration. They can be filled out electronically, then printed. To be appointed a voluntary administrator, the petitioner must file an affidavit in relation to settlement of estate under article 13,. Settlement Of Estate Under Article 13 Scpa.
From www.templateroller.com
Form SE2A Fill Out, Sign Online and Download Fillable PDF, New York Settlement Of Estate Under Article 13 Scpa They can be filled out electronically, then printed. In completing this form, answer each question. The pdf version of these forms are fillable. This may be done in some instances by crossing out. Settlement of small estates without court administration. To be appointed a voluntary administrator, the petitioner must file an affidavit in relation to settlement of estate under article. Settlement Of Estate Under Article 13 Scpa.
From www.lawctopus.com
Analysing the Ambit & Meaning of Article 13 (with case laws) Academike Settlement Of Estate Under Article 13 Scpa Affidavit in relation to settlement of estate under article 13, scpa. They can be filled out electronically, then printed. This may be done in some instances by crossing out. The pdf version of these forms are fillable. They however can not be submitted. To be appointed a voluntary administrator, the petitioner must file an affidavit in relation to settlement of. Settlement Of Estate Under Article 13 Scpa.
From www.templateroller.com
Form SE3A Fill Out, Sign Online and Download Fillable PDF, New York Settlement Of Estate Under Article 13 Scpa Settlement of small estates without court administration. Discharge of debtor, transfer agent, safe deposit company, bank, trust company or other person. They can be filled out electronically, then printed. Amended affidavit in relation to settlement of estate under article 13 (decedent died prior to 8/29/1996) report & account in. To be appointed a voluntary administrator, the petitioner must file an. Settlement Of Estate Under Article 13 Scpa.
From www.centurylawfirm.in
Article 13 of the Indian Constitution Detailed Understanding Settlement Of Estate Under Article 13 Scpa Discharge of debtor, transfer agent, safe deposit company, bank, trust company or other person. In completing this form, answer each question. Amended affidavit in relation to settlement of estate under article 13 (decedent died prior to 8/29/1996) report & account in. Settlement of small estates without court administration. The pdf version of these forms are fillable. They can be filled. Settlement Of Estate Under Article 13 Scpa.
From www.uslegalforms.com
New York Affidavit in Relation to Settlement of Estate under Article 13 Settlement Of Estate Under Article 13 Scpa They however can not be submitted. Amended affidavit in relation to settlement of estate under article 13 (decedent died prior to 8/29/1996) report & account in. The pdf version of these forms are fillable. Discharge of debtor, transfer agent, safe deposit company, bank, trust company or other person. To be appointed a voluntary administrator, the petitioner must file an affidavit. Settlement Of Estate Under Article 13 Scpa.
From www.templateroller.com
Form SE1A Fill Out, Sign Online and Download Fillable PDF, New York Settlement Of Estate Under Article 13 Scpa This may be done in some instances by crossing out. In completing this form, answer each question. To be appointed a voluntary administrator, the petitioner must file an affidavit in relation to settlement of estate under article 13, scpa along with a death certificate in the. Amended affidavit in relation to settlement of estate under article 13 (decedent died prior. Settlement Of Estate Under Article 13 Scpa.
From www.templateroller.com
Form SE1A Fill Out, Sign Online and Download Fillable PDF, New York Settlement Of Estate Under Article 13 Scpa To be appointed a voluntary administrator, the petitioner must file an affidavit in relation to settlement of estate under article 13, scpa along with a death certificate in the. Affidavit in relation to settlement of estate under article 13, scpa. This may be done in some instances by crossing out. In completing this form, answer each question. Amended affidavit in. Settlement Of Estate Under Article 13 Scpa.
From www.lawctopus.com
Analysing the Ambit & Meaning of Article 13 (with case laws) Academike Settlement Of Estate Under Article 13 Scpa This may be done in some instances by crossing out. Discharge of debtor, transfer agent, safe deposit company, bank, trust company or other person. They however can not be submitted. The pdf version of these forms are fillable. Affidavit in relation to settlement of estate under article 13, scpa. Settlement of small estates without court administration. They can be filled. Settlement Of Estate Under Article 13 Scpa.
From upscwithnikhil.com
Article 13 And Laws Inconsistent With Fundamental Rights Settlement Of Estate Under Article 13 Scpa They however can not be submitted. Affidavit in relation to settlement of estate under article 13, scpa. The pdf version of these forms are fillable. Discharge of debtor, transfer agent, safe deposit company, bank, trust company or other person. In completing this form, answer each question. Amended affidavit in relation to settlement of estate under article 13 (decedent died prior. Settlement Of Estate Under Article 13 Scpa.
From www.templateroller.com
Form SE2A Fill Out, Sign Online and Download Fillable PDF, New York Settlement Of Estate Under Article 13 Scpa To be appointed a voluntary administrator, the petitioner must file an affidavit in relation to settlement of estate under article 13, scpa along with a death certificate in the. Discharge of debtor, transfer agent, safe deposit company, bank, trust company or other person. They can be filled out electronically, then printed. This may be done in some instances by crossing. Settlement Of Estate Under Article 13 Scpa.
From www.lawctopus.com
Article 13 of Indian Constitution Settlement Of Estate Under Article 13 Scpa This may be done in some instances by crossing out. To be appointed a voluntary administrator, the petitioner must file an affidavit in relation to settlement of estate under article 13, scpa along with a death certificate in the. Settlement of small estates without court administration. They however can not be submitted. Amended affidavit in relation to settlement of estate. Settlement Of Estate Under Article 13 Scpa.
From www.uslegalforms.com
New York Report and Account in Settlement of Estate Form 207 42 US Settlement Of Estate Under Article 13 Scpa Amended affidavit in relation to settlement of estate under article 13 (decedent died prior to 8/29/1996) report & account in. Discharge of debtor, transfer agent, safe deposit company, bank, trust company or other person. They however can not be submitted. Settlement of small estates without court administration. The pdf version of these forms are fillable. Affidavit in relation to settlement. Settlement Of Estate Under Article 13 Scpa.
From www.studocu.com
Article 13 COI thanks ARTICLE 13 OF THE INDIAN CONSTITUTION Settlement Of Estate Under Article 13 Scpa Discharge of debtor, transfer agent, safe deposit company, bank, trust company or other person. Settlement of small estates without court administration. In completing this form, answer each question. Amended affidavit in relation to settlement of estate under article 13 (decedent died prior to 8/29/1996) report & account in. They however can not be submitted. They can be filled out electronically,. Settlement Of Estate Under Article 13 Scpa.
From www.templateroller.com
Form SE3A Fill Out, Sign Online and Download Fillable PDF, New York Settlement Of Estate Under Article 13 Scpa Settlement of small estates without court administration. The pdf version of these forms are fillable. They however can not be submitted. To be appointed a voluntary administrator, the petitioner must file an affidavit in relation to settlement of estate under article 13, scpa along with a death certificate in the. Affidavit in relation to settlement of estate under article 13,. Settlement Of Estate Under Article 13 Scpa.
From www.templateroller.com
Form SE2A Fill Out, Sign Online and Download Fillable PDF, New York Settlement Of Estate Under Article 13 Scpa The pdf version of these forms are fillable. Settlement of small estates without court administration. In completing this form, answer each question. Discharge of debtor, transfer agent, safe deposit company, bank, trust company or other person. They however can not be submitted. This may be done in some instances by crossing out. Amended affidavit in relation to settlement of estate. Settlement Of Estate Under Article 13 Scpa.
From www.templateroller.com
Form SE2B Fill Out, Sign Online and Download Fillable PDF, New York Settlement Of Estate Under Article 13 Scpa To be appointed a voluntary administrator, the petitioner must file an affidavit in relation to settlement of estate under article 13, scpa along with a death certificate in the. Settlement of small estates without court administration. In completing this form, answer each question. This may be done in some instances by crossing out. Discharge of debtor, transfer agent, safe deposit. Settlement Of Estate Under Article 13 Scpa.
From govt.westlaw.com
View Document Unofficial New York Codes, Rules and Regulations Settlement Of Estate Under Article 13 Scpa They can be filled out electronically, then printed. They however can not be submitted. To be appointed a voluntary administrator, the petitioner must file an affidavit in relation to settlement of estate under article 13, scpa along with a death certificate in the. Amended affidavit in relation to settlement of estate under article 13 (decedent died prior to 8/29/1996) report. Settlement Of Estate Under Article 13 Scpa.
From www.templateroller.com
Form JA1 Fill Out, Sign Online and Download Fillable PDF, New York Settlement Of Estate Under Article 13 Scpa This may be done in some instances by crossing out. They can be filled out electronically, then printed. Amended affidavit in relation to settlement of estate under article 13 (decedent died prior to 8/29/1996) report & account in. The pdf version of these forms are fillable. Discharge of debtor, transfer agent, safe deposit company, bank, trust company or other person.. Settlement Of Estate Under Article 13 Scpa.
From www.templateroller.com
New York Small Estates Affidavit Form Fill Out, Sign Online and Settlement Of Estate Under Article 13 Scpa The pdf version of these forms are fillable. This may be done in some instances by crossing out. Discharge of debtor, transfer agent, safe deposit company, bank, trust company or other person. They can be filled out electronically, then printed. Amended affidavit in relation to settlement of estate under article 13 (decedent died prior to 8/29/1996) report & account in.. Settlement Of Estate Under Article 13 Scpa.
From fill.io
Fill Free fillable forms NYS Unified Court System Division of Technology Settlement Of Estate Under Article 13 Scpa Affidavit in relation to settlement of estate under article 13, scpa. Settlement of small estates without court administration. Discharge of debtor, transfer agent, safe deposit company, bank, trust company or other person. This may be done in some instances by crossing out. They can be filled out electronically, then printed. Amended affidavit in relation to settlement of estate under article. Settlement Of Estate Under Article 13 Scpa.
From www.uslegalforms.com
Queens New York Affidavit in Relation to Settlement of Estate under Settlement Of Estate Under Article 13 Scpa Settlement of small estates without court administration. Amended affidavit in relation to settlement of estate under article 13 (decedent died prior to 8/29/1996) report & account in. They however can not be submitted. To be appointed a voluntary administrator, the petitioner must file an affidavit in relation to settlement of estate under article 13, scpa along with a death certificate. Settlement Of Estate Under Article 13 Scpa.
From govt.westlaw.com
View Document Unofficial New York Codes, Rules and Regulations Settlement Of Estate Under Article 13 Scpa This may be done in some instances by crossing out. They can be filled out electronically, then printed. They however can not be submitted. The pdf version of these forms are fillable. Discharge of debtor, transfer agent, safe deposit company, bank, trust company or other person. In completing this form, answer each question. Settlement of small estates without court administration.. Settlement Of Estate Under Article 13 Scpa.
From www.templateroller.com
Form SE1D Download Fillable PDF or Fill Online Report and Account in Settlement Of Estate Under Article 13 Scpa The pdf version of these forms are fillable. To be appointed a voluntary administrator, the petitioner must file an affidavit in relation to settlement of estate under article 13, scpa along with a death certificate in the. They however can not be submitted. In completing this form, answer each question. Settlement of small estates without court administration. Amended affidavit in. Settlement Of Estate Under Article 13 Scpa.
From www.uslegalforms.com
Queens New York Affidavit in Relation to Settlement of Estate under Settlement Of Estate Under Article 13 Scpa They can be filled out electronically, then printed. Settlement of small estates without court administration. This may be done in some instances by crossing out. Amended affidavit in relation to settlement of estate under article 13 (decedent died prior to 8/29/1996) report & account in. Discharge of debtor, transfer agent, safe deposit company, bank, trust company or other person. To. Settlement Of Estate Under Article 13 Scpa.
From www.studocu.com
LLM Const 1 Rigved JUDICIAL REVIEW AS DEFINED UNDER ARTICLE 13 Settlement Of Estate Under Article 13 Scpa To be appointed a voluntary administrator, the petitioner must file an affidavit in relation to settlement of estate under article 13, scpa along with a death certificate in the. Discharge of debtor, transfer agent, safe deposit company, bank, trust company or other person. They however can not be submitted. Affidavit in relation to settlement of estate under article 13, scpa.. Settlement Of Estate Under Article 13 Scpa.
From www.templateroller.com
Form SE1A Fill Out, Sign Online and Download Fillable PDF, New York Settlement Of Estate Under Article 13 Scpa Affidavit in relation to settlement of estate under article 13, scpa. They can be filled out electronically, then printed. To be appointed a voluntary administrator, the petitioner must file an affidavit in relation to settlement of estate under article 13, scpa along with a death certificate in the. This may be done in some instances by crossing out. In completing. Settlement Of Estate Under Article 13 Scpa.
From iasnext.com
Analysis of Article 13 of the Indian Constitution Current Affairs Settlement Of Estate Under Article 13 Scpa Amended affidavit in relation to settlement of estate under article 13 (decedent died prior to 8/29/1996) report & account in. This may be done in some instances by crossing out. In completing this form, answer each question. Affidavit in relation to settlement of estate under article 13, scpa. Discharge of debtor, transfer agent, safe deposit company, bank, trust company or. Settlement Of Estate Under Article 13 Scpa.
From www.pdffiller.com
Fillable Online notice under article 13 of application for planning Settlement Of Estate Under Article 13 Scpa Settlement of small estates without court administration. Discharge of debtor, transfer agent, safe deposit company, bank, trust company or other person. They however can not be submitted. The pdf version of these forms are fillable. Amended affidavit in relation to settlement of estate under article 13 (decedent died prior to 8/29/1996) report & account in. They can be filled out. Settlement Of Estate Under Article 13 Scpa.
From www.templateroller.com
Form JA1 Fill Out, Sign Online and Download Fillable PDF, New York Settlement Of Estate Under Article 13 Scpa Discharge of debtor, transfer agent, safe deposit company, bank, trust company or other person. Amended affidavit in relation to settlement of estate under article 13 (decedent died prior to 8/29/1996) report & account in. Affidavit in relation to settlement of estate under article 13, scpa. In completing this form, answer each question. The pdf version of these forms are fillable.. Settlement Of Estate Under Article 13 Scpa.
From www.templateroller.com
Form SE3A Fill Out, Sign Online and Download Fillable PDF, New York Settlement Of Estate Under Article 13 Scpa To be appointed a voluntary administrator, the petitioner must file an affidavit in relation to settlement of estate under article 13, scpa along with a death certificate in the. Settlement of small estates without court administration. This may be done in some instances by crossing out. Affidavit in relation to settlement of estate under article 13, scpa. They however can. Settlement Of Estate Under Article 13 Scpa.
From www.templateroller.com
Form SE3B Fill Out, Sign Online and Download Fillable PDF, New York Settlement Of Estate Under Article 13 Scpa Affidavit in relation to settlement of estate under article 13, scpa. Amended affidavit in relation to settlement of estate under article 13 (decedent died prior to 8/29/1996) report & account in. To be appointed a voluntary administrator, the petitioner must file an affidavit in relation to settlement of estate under article 13, scpa along with a death certificate in the.. Settlement Of Estate Under Article 13 Scpa.