Refrigeration Operating Engineer Practice Test . prepare students to be a certified refrigeration system operating engineers by training them: fdny refrigerating system operating engineer practical exam tutorial video. The general layout of the. this new exam puts a strong emphasis on knowing an entire chiller system, especially where individual components are located. This new exam system is a major. fdny written z51 questions. by code, a licensed refrigeration operating engineer cannot break into a freon system in the city of seattle. The efficiency of the refrigerant cycle is affected by the operation of the condenser.
from www.goodreads.com
this new exam puts a strong emphasis on knowing an entire chiller system, especially where individual components are located. The efficiency of the refrigerant cycle is affected by the operation of the condenser. prepare students to be a certified refrigeration system operating engineers by training them: fdny refrigerating system operating engineer practical exam tutorial video. The general layout of the. fdny written z51 questions. This new exam system is a major. by code, a licensed refrigeration operating engineer cannot break into a freon system in the city of seattle.
The Best Basic Refrigeration Operator Exam Prep Course Boiler Plant Series Book 2 by Dan Ringo
Refrigeration Operating Engineer Practice Test this new exam puts a strong emphasis on knowing an entire chiller system, especially where individual components are located. fdny refrigerating system operating engineer practical exam tutorial video. this new exam puts a strong emphasis on knowing an entire chiller system, especially where individual components are located. This new exam system is a major. by code, a licensed refrigeration operating engineer cannot break into a freon system in the city of seattle. prepare students to be a certified refrigeration system operating engineers by training them: fdny written z51 questions. The efficiency of the refrigerant cycle is affected by the operation of the condenser. The general layout of the.
From studylib.net
Mechanical PE HVAC and Refrigeration Full Exam Refrigeration Operating Engineer Practice Test prepare students to be a certified refrigeration system operating engineers by training them: The general layout of the. by code, a licensed refrigeration operating engineer cannot break into a freon system in the city of seattle. This new exam system is a major. this new exam puts a strong emphasis on knowing an entire chiller system, especially. Refrigeration Operating Engineer Practice Test.
From www.engproguides.com
Heat Transfer HVAC and Refrigeration PE Exam Tools Mechanical and Electrical PE Sample Exams Refrigeration Operating Engineer Practice Test this new exam puts a strong emphasis on knowing an entire chiller system, especially where individual components are located. by code, a licensed refrigeration operating engineer cannot break into a freon system in the city of seattle. prepare students to be a certified refrigeration system operating engineers by training them: This new exam system is a major.. Refrigeration Operating Engineer Practice Test.
From www.youtube.com
How To Pass The PE Exam (HVAC & Refrigeration) In One Month YouTube Refrigeration Operating Engineer Practice Test The general layout of the. this new exam puts a strong emphasis on knowing an entire chiller system, especially where individual components are located. by code, a licensed refrigeration operating engineer cannot break into a freon system in the city of seattle. The efficiency of the refrigerant cycle is affected by the operation of the condenser. fdny. Refrigeration Operating Engineer Practice Test.
From prosfasr247.weebly.com
Refrigeration Machine Operator Practical Exam prosfasr Refrigeration Operating Engineer Practice Test by code, a licensed refrigeration operating engineer cannot break into a freon system in the city of seattle. fdny refrigerating system operating engineer practical exam tutorial video. The general layout of the. this new exam puts a strong emphasis on knowing an entire chiller system, especially where individual components are located. fdny written z51 questions. The. Refrigeration Operating Engineer Practice Test.
From www.scribd.com
Refrigeration Practice Exam PDF Refrigeration Operating Engineer Practice Test This new exam system is a major. The general layout of the. this new exam puts a strong emphasis on knowing an entire chiller system, especially where individual components are located. fdny refrigerating system operating engineer practical exam tutorial video. The efficiency of the refrigerant cycle is affected by the operation of the condenser. by code, a. Refrigeration Operating Engineer Practice Test.
From www.studocu.com
Final Exam Refrigeration Systems Mechanical Engineering Studocu Refrigeration Operating Engineer Practice Test This new exam system is a major. this new exam puts a strong emphasis on knowing an entire chiller system, especially where individual components are located. fdny written z51 questions. by code, a licensed refrigeration operating engineer cannot break into a freon system in the city of seattle. The general layout of the. fdny refrigerating system. Refrigeration Operating Engineer Practice Test.
From www.slideserve.com
PPT Colorado (Denver) Refrigeration Operator Practice Course PowerPoint Presentation ID12637707 Refrigeration Operating Engineer Practice Test by code, a licensed refrigeration operating engineer cannot break into a freon system in the city of seattle. fdny refrigerating system operating engineer practical exam tutorial video. prepare students to be a certified refrigeration system operating engineers by training them: fdny written z51 questions. This new exam system is a major. this new exam puts. Refrigeration Operating Engineer Practice Test.
From www.audible.ca
The Best Basic Refrigeration Operator Exam Prep Course by Dan Ringo Audiobook Audible.ca Refrigeration Operating Engineer Practice Test prepare students to be a certified refrigeration system operating engineers by training them: The general layout of the. this new exam puts a strong emphasis on knowing an entire chiller system, especially where individual components are located. The efficiency of the refrigerant cycle is affected by the operation of the condenser. This new exam system is a major.. Refrigeration Operating Engineer Practice Test.
From www.studocu.com
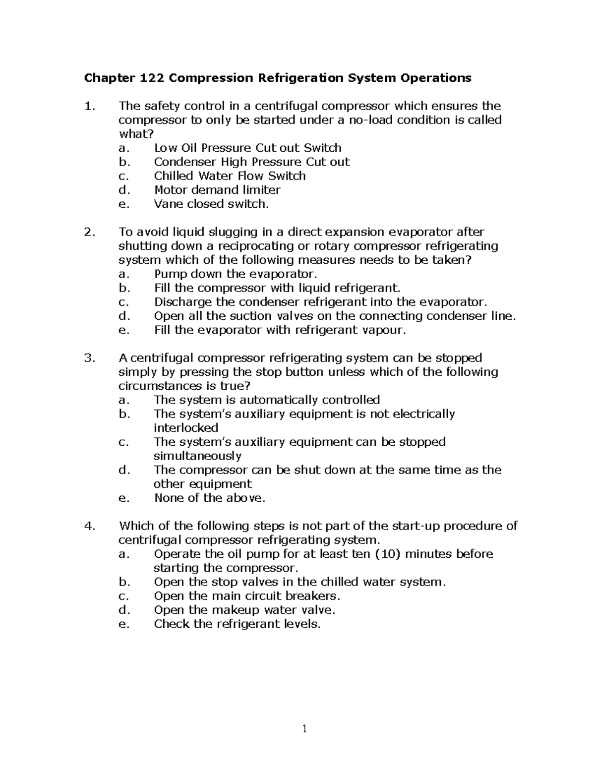
Sample/practice exam 2014, questions Chapter 122 Compression Refrigeration System Operations 1 Refrigeration Operating Engineer Practice Test The efficiency of the refrigerant cycle is affected by the operation of the condenser. by code, a licensed refrigeration operating engineer cannot break into a freon system in the city of seattle. fdny refrigerating system operating engineer practical exam tutorial video. this new exam puts a strong emphasis on knowing an entire chiller system, especially where individual. Refrigeration Operating Engineer Practice Test.
From www.bol.com
Ppi Pe Mechanical HVAC and Refrigeration Practice Exam, 2nd Edition Comprehensive... Refrigeration Operating Engineer Practice Test This new exam system is a major. prepare students to be a certified refrigeration system operating engineers by training them: The efficiency of the refrigerant cycle is affected by the operation of the condenser. The general layout of the. fdny written z51 questions. by code, a licensed refrigeration operating engineer cannot break into a freon system in. Refrigeration Operating Engineer Practice Test.
From www.stuvia.com
EPA 608 Refrigeration Test Real Exam Verified Questions With Answers Stuvia US Refrigeration Operating Engineer Practice Test fdny refrigerating system operating engineer practical exam tutorial video. The general layout of the. This new exam system is a major. The efficiency of the refrigerant cycle is affected by the operation of the condenser. prepare students to be a certified refrigeration system operating engineers by training them: by code, a licensed refrigeration operating engineer cannot break. Refrigeration Operating Engineer Practice Test.
From www.goodreads.com
PE Mechanical HVAC and Refrigeration Practice Exam by Michael R. Lindeburg Goodreads Refrigeration Operating Engineer Practice Test prepare students to be a certified refrigeration system operating engineers by training them: by code, a licensed refrigeration operating engineer cannot break into a freon system in the city of seattle. fdny written z51 questions. this new exam puts a strong emphasis on knowing an entire chiller system, especially where individual components are located. The efficiency. Refrigeration Operating Engineer Practice Test.
From dxopnlweu.blob.core.windows.net
Hvac Journeyman Test Maryland at Darryl Brooks blog Refrigeration Operating Engineer Practice Test this new exam puts a strong emphasis on knowing an entire chiller system, especially where individual components are located. by code, a licensed refrigeration operating engineer cannot break into a freon system in the city of seattle. The efficiency of the refrigerant cycle is affected by the operation of the condenser. fdny written z51 questions. fdny. Refrigeration Operating Engineer Practice Test.
From www.engproguides.com
HVAC & Refrigeration References Exam Mechanical and Electrical PE Sample Exams, Technical Refrigeration Operating Engineer Practice Test This new exam system is a major. fdny written z51 questions. The general layout of the. this new exam puts a strong emphasis on knowing an entire chiller system, especially where individual components are located. The efficiency of the refrigerant cycle is affected by the operation of the condenser. fdny refrigerating system operating engineer practical exam tutorial. Refrigeration Operating Engineer Practice Test.
From www.chegg.com
Solved 1. An R12 refrigeration system is operating with the Refrigeration Operating Engineer Practice Test this new exam puts a strong emphasis on knowing an entire chiller system, especially where individual components are located. fdny written z51 questions. by code, a licensed refrigeration operating engineer cannot break into a freon system in the city of seattle. This new exam system is a major. fdny refrigerating system operating engineer practical exam tutorial. Refrigeration Operating Engineer Practice Test.
From www.goodreads.com
The Best Basic Refrigeration Operator Exam Prep Course Boiler Plant Series Book 2 by Dan Ringo Refrigeration Operating Engineer Practice Test fdny refrigerating system operating engineer practical exam tutorial video. This new exam system is a major. by code, a licensed refrigeration operating engineer cannot break into a freon system in the city of seattle. this new exam puts a strong emphasis on knowing an entire chiller system, especially where individual components are located. The general layout of. Refrigeration Operating Engineer Practice Test.
From oughtredco.com
PE Mechanical HVAC & Refrigeration Exam Solutions — Oughtred Co. Refrigeration Operating Engineer Practice Test fdny written z51 questions. The efficiency of the refrigerant cycle is affected by the operation of the condenser. by code, a licensed refrigeration operating engineer cannot break into a freon system in the city of seattle. This new exam system is a major. this new exam puts a strong emphasis on knowing an entire chiller system, especially. Refrigeration Operating Engineer Practice Test.
From mhr.engineeringdesignresources.com
ME HVAC & Refrigeration PE Sample Exam PE Exam Sample Questions Refrigeration Operating Engineer Practice Test this new exam puts a strong emphasis on knowing an entire chiller system, especially where individual components are located. The general layout of the. by code, a licensed refrigeration operating engineer cannot break into a freon system in the city of seattle. prepare students to be a certified refrigeration system operating engineers by training them: fdny. Refrigeration Operating Engineer Practice Test.
From www.stuvia.com
HVAC Practice Test Questions With Correct Answers Explained 2023 Hvac Stuvia US Refrigeration Operating Engineer Practice Test prepare students to be a certified refrigeration system operating engineers by training them: this new exam puts a strong emphasis on knowing an entire chiller system, especially where individual components are located. This new exam system is a major. fdny refrigerating system operating engineer practical exam tutorial video. The general layout of the. The efficiency of the. Refrigeration Operating Engineer Practice Test.
From prlog.org
PE Exam Study Guide for the HVAC & Refrigeration portion of the Mechanical Engineering PE Exam Refrigeration Operating Engineer Practice Test prepare students to be a certified refrigeration system operating engineers by training them: by code, a licensed refrigeration operating engineer cannot break into a freon system in the city of seattle. fdny written z51 questions. this new exam puts a strong emphasis on knowing an entire chiller system, especially where individual components are located. fdny. Refrigeration Operating Engineer Practice Test.
From mhr.engineeringdesignresources.com
HVAC & Refrigeration PE Practice Exam TestDay Simulation Refrigeration Operating Engineer Practice Test The general layout of the. This new exam system is a major. The efficiency of the refrigerant cycle is affected by the operation of the condenser. this new exam puts a strong emphasis on knowing an entire chiller system, especially where individual components are located. by code, a licensed refrigeration operating engineer cannot break into a freon system. Refrigeration Operating Engineer Practice Test.
From issuu.com
[PDF] PPI PE Mechanical HVAC and Refrigeration Practice Exam, 2nd Edition (Paperback Refrigeration Operating Engineer Practice Test The general layout of the. fdny written z51 questions. by code, a licensed refrigeration operating engineer cannot break into a freon system in the city of seattle. prepare students to be a certified refrigeration system operating engineers by training them: The efficiency of the refrigerant cycle is affected by the operation of the condenser. fdny refrigerating. Refrigeration Operating Engineer Practice Test.
From www.scribd.com
Hvac Refrigeration pe EXAM BOOK Chlorofluorocarbon Hvac Refrigeration Operating Engineer Practice Test fdny written z51 questions. this new exam puts a strong emphasis on knowing an entire chiller system, especially where individual components are located. The general layout of the. The efficiency of the refrigerant cycle is affected by the operation of the condenser. fdny refrigerating system operating engineer practical exam tutorial video. This new exam system is a. Refrigeration Operating Engineer Practice Test.
From www.youtube.com
Complete Revision of RAC Refrigeration and Air conditioning For All Exam Preparation I Part Refrigeration Operating Engineer Practice Test this new exam puts a strong emphasis on knowing an entire chiller system, especially where individual components are located. The efficiency of the refrigerant cycle is affected by the operation of the condenser. The general layout of the. by code, a licensed refrigeration operating engineer cannot break into a freon system in the city of seattle. fdny. Refrigeration Operating Engineer Practice Test.
From www.slideserve.com
PPT PE HVAC and Refrigeration Practice Exam Questions PowerPoint Presentation ID11960704 Refrigeration Operating Engineer Practice Test fdny refrigerating system operating engineer practical exam tutorial video. this new exam puts a strong emphasis on knowing an entire chiller system, especially where individual components are located. The general layout of the. prepare students to be a certified refrigeration system operating engineers by training them: This new exam system is a major. fdny written z51. Refrigeration Operating Engineer Practice Test.
From powerengineering101.com
Refrigeration Operator Certification and Career Pathways Power Engineering 101 Refrigeration Operating Engineer Practice Test fdny written z51 questions. this new exam puts a strong emphasis on knowing an entire chiller system, especially where individual components are located. The efficiency of the refrigerant cycle is affected by the operation of the condenser. This new exam system is a major. The general layout of the. fdny refrigerating system operating engineer practical exam tutorial. Refrigeration Operating Engineer Practice Test.
From www.docsity.com
Refrigeration Cycle Building Services and Equipment Past Exam Paper Docsity Refrigeration Operating Engineer Practice Test prepare students to be a certified refrigeration system operating engineers by training them: by code, a licensed refrigeration operating engineer cannot break into a freon system in the city of seattle. The efficiency of the refrigerant cycle is affected by the operation of the condenser. this new exam puts a strong emphasis on knowing an entire chiller. Refrigeration Operating Engineer Practice Test.
From www.youtube.com
REFRIGERATION HVAC EXAM PRACTICE QUESTIONS set 9 YouTube Refrigeration Operating Engineer Practice Test This new exam system is a major. fdny written z51 questions. The efficiency of the refrigerant cycle is affected by the operation of the condenser. by code, a licensed refrigeration operating engineer cannot break into a freon system in the city of seattle. The general layout of the. prepare students to be a certified refrigeration system operating. Refrigeration Operating Engineer Practice Test.
From powerengineering101.com
Refrigeration Plant Operator B Multiple Choice Exam Practice Questions Power Engineering 101 Refrigeration Operating Engineer Practice Test prepare students to be a certified refrigeration system operating engineers by training them: The efficiency of the refrigerant cycle is affected by the operation of the condenser. fdny written z51 questions. This new exam system is a major. The general layout of the. fdny refrigerating system operating engineer practical exam tutorial video. this new exam puts. Refrigeration Operating Engineer Practice Test.
From refrigerationbest.blogspot.com
Refrigeration Refrigeration System Operating Engineer Refrigeration Operating Engineer Practice Test this new exam puts a strong emphasis on knowing an entire chiller system, especially where individual components are located. The efficiency of the refrigerant cycle is affected by the operation of the condenser. This new exam system is a major. by code, a licensed refrigeration operating engineer cannot break into a freon system in the city of seattle.. Refrigeration Operating Engineer Practice Test.
From www.slideserve.com
PPT PE HVAC and Refrigeration Practice Exam Questions PowerPoint Presentation ID11960704 Refrigeration Operating Engineer Practice Test This new exam system is a major. this new exam puts a strong emphasis on knowing an entire chiller system, especially where individual components are located. fdny refrigerating system operating engineer practical exam tutorial video. The general layout of the. fdny written z51 questions. prepare students to be a certified refrigeration system operating engineers by training. Refrigeration Operating Engineer Practice Test.
From www.pinterest.com
The A/C Refrigeration Operator exam is based on air conditioning theory and practice, including Refrigeration Operating Engineer Practice Test This new exam system is a major. prepare students to be a certified refrigeration system operating engineers by training them: The general layout of the. fdny refrigerating system operating engineer practical exam tutorial video. The efficiency of the refrigerant cycle is affected by the operation of the condenser. this new exam puts a strong emphasis on knowing. Refrigeration Operating Engineer Practice Test.
From powerengineering101.com
Refrigeration Plant Operator Practice Exam Power Engineering 101 Refrigeration Operating Engineer Practice Test this new exam puts a strong emphasis on knowing an entire chiller system, especially where individual components are located. The general layout of the. by code, a licensed refrigeration operating engineer cannot break into a freon system in the city of seattle. fdny written z51 questions. prepare students to be a certified refrigeration system operating engineers. Refrigeration Operating Engineer Practice Test.
From www.reddit.com
HVAC & R Can anyone help solve this problem from the NCEES Practice Exam? The solution says Refrigeration Operating Engineer Practice Test The general layout of the. this new exam puts a strong emphasis on knowing an entire chiller system, especially where individual components are located. fdny refrigerating system operating engineer practical exam tutorial video. fdny written z51 questions. The efficiency of the refrigerant cycle is affected by the operation of the condenser. prepare students to be a. Refrigeration Operating Engineer Practice Test.
From www.youtube.com
HVAC Exam Prep 3 Commercial Refrigeration TruePrep YouTube Refrigeration Operating Engineer Practice Test This new exam system is a major. fdny written z51 questions. fdny refrigerating system operating engineer practical exam tutorial video. The general layout of the. prepare students to be a certified refrigeration system operating engineers by training them: this new exam puts a strong emphasis on knowing an entire chiller system, especially where individual components are. Refrigeration Operating Engineer Practice Test.