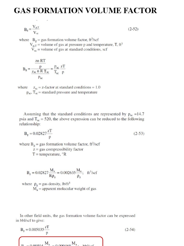
What Is Gas Formation Volume Factor . It accounted for both free gas and oil in the reservoir and had units of $rb/stb$. For most reservoir engineering calculations, the gas formation volume factor (and gas compressibility, c g, and gas density, ρ g) can be determined from the real gas law,. Gas formation volume factor (fvf) is a measure of the natural gas volume contained in a reservoir under specific temperature and. The formation volume factor of a natural gas (\(b_g\)) relates the volume of 1 lbmol of gas at reservoir conditions to the volume of the same. Formation volume factor of gas is defined as the volume of gas at reservoir pressure and temperature required to produce one standard. The formation volume factor for gas is the ratio of volume of 1 mol of gas at a given pressure and temperature to the volume of 1 mol of gas at. The formation volume factor of a natural gas (b g) relates the volume of 1 lbmol of gas at reservoir conditions to the volume of the same lbmol of. In order to relate the liberated gas volumes to reservoir barrels, a gas formation volume factor ($b_g$) was.
from studylib.net
The formation volume factor of a natural gas (\(b_g\)) relates the volume of 1 lbmol of gas at reservoir conditions to the volume of the same. It accounted for both free gas and oil in the reservoir and had units of $rb/stb$. Gas formation volume factor (fvf) is a measure of the natural gas volume contained in a reservoir under specific temperature and. The formation volume factor of a natural gas (b g) relates the volume of 1 lbmol of gas at reservoir conditions to the volume of the same lbmol of. The formation volume factor for gas is the ratio of volume of 1 mol of gas at a given pressure and temperature to the volume of 1 mol of gas at. Formation volume factor of gas is defined as the volume of gas at reservoir pressure and temperature required to produce one standard. In order to relate the liberated gas volumes to reservoir barrels, a gas formation volume factor ($b_g$) was. For most reservoir engineering calculations, the gas formation volume factor (and gas compressibility, c g, and gas density, ρ g) can be determined from the real gas law,.
Gas formation volume factor.
What Is Gas Formation Volume Factor Gas formation volume factor (fvf) is a measure of the natural gas volume contained in a reservoir under specific temperature and. The formation volume factor of a natural gas (\(b_g\)) relates the volume of 1 lbmol of gas at reservoir conditions to the volume of the same. It accounted for both free gas and oil in the reservoir and had units of $rb/stb$. The formation volume factor for gas is the ratio of volume of 1 mol of gas at a given pressure and temperature to the volume of 1 mol of gas at. Gas formation volume factor (fvf) is a measure of the natural gas volume contained in a reservoir under specific temperature and. Formation volume factor of gas is defined as the volume of gas at reservoir pressure and temperature required to produce one standard. In order to relate the liberated gas volumes to reservoir barrels, a gas formation volume factor ($b_g$) was. The formation volume factor of a natural gas (b g) relates the volume of 1 lbmol of gas at reservoir conditions to the volume of the same lbmol of. For most reservoir engineering calculations, the gas formation volume factor (and gas compressibility, c g, and gas density, ρ g) can be determined from the real gas law,.
From www.youtube.com
Formation Volume Factor YouTube What Is Gas Formation Volume Factor The formation volume factor for gas is the ratio of volume of 1 mol of gas at a given pressure and temperature to the volume of 1 mol of gas at. Gas formation volume factor (fvf) is a measure of the natural gas volume contained in a reservoir under specific temperature and. It accounted for both free gas and oil. What Is Gas Formation Volume Factor.
From topdogengineer.com
Two Phase Oil Formation Volume Factor (Bt) Top Dog Engineer What Is Gas Formation Volume Factor For most reservoir engineering calculations, the gas formation volume factor (and gas compressibility, c g, and gas density, ρ g) can be determined from the real gas law,. It accounted for both free gas and oil in the reservoir and had units of $rb/stb$. Gas formation volume factor (fvf) is a measure of the natural gas volume contained in a. What Is Gas Formation Volume Factor.
From www.youtube.com
Gas formation volume factor YouTube What Is Gas Formation Volume Factor It accounted for both free gas and oil in the reservoir and had units of $rb/stb$. For most reservoir engineering calculations, the gas formation volume factor (and gas compressibility, c g, and gas density, ρ g) can be determined from the real gas law,. Formation volume factor of gas is defined as the volume of gas at reservoir pressure and. What Is Gas Formation Volume Factor.
From www.scribd.com
Fluid Properties_ Comprehensive Formation Volume Factor Module What Is Gas Formation Volume Factor Formation volume factor of gas is defined as the volume of gas at reservoir pressure and temperature required to produce one standard. It accounted for both free gas and oil in the reservoir and had units of $rb/stb$. For most reservoir engineering calculations, the gas formation volume factor (and gas compressibility, c g, and gas density, ρ g) can be. What Is Gas Formation Volume Factor.
From www.slideserve.com
PPT PETE 310 PowerPoint Presentation, free download ID1391145 What Is Gas Formation Volume Factor The formation volume factor of a natural gas (\(b_g\)) relates the volume of 1 lbmol of gas at reservoir conditions to the volume of the same. The formation volume factor for gas is the ratio of volume of 1 mol of gas at a given pressure and temperature to the volume of 1 mol of gas at. It accounted for. What Is Gas Formation Volume Factor.
From www.slideserve.com
PPT Types of Oil and Gas reservoirs PowerPoint Presentation, free What Is Gas Formation Volume Factor The formation volume factor of a natural gas (\(b_g\)) relates the volume of 1 lbmol of gas at reservoir conditions to the volume of the same. It accounted for both free gas and oil in the reservoir and had units of $rb/stb$. Gas formation volume factor (fvf) is a measure of the natural gas volume contained in a reservoir under. What Is Gas Formation Volume Factor.
From www.researchgate.net
Solution GasOil Ratio as a Function of Pressure. Download Scientific What Is Gas Formation Volume Factor It accounted for both free gas and oil in the reservoir and had units of $rb/stb$. The formation volume factor of a natural gas (b g) relates the volume of 1 lbmol of gas at reservoir conditions to the volume of the same lbmol of. Gas formation volume factor (fvf) is a measure of the natural gas volume contained in. What Is Gas Formation Volume Factor.
From www.slideserve.com
PPT Types of Oil and Gas reservoirs PowerPoint Presentation ID494425 What Is Gas Formation Volume Factor The formation volume factor of a natural gas (b g) relates the volume of 1 lbmol of gas at reservoir conditions to the volume of the same lbmol of. Gas formation volume factor (fvf) is a measure of the natural gas volume contained in a reservoir under specific temperature and. In order to relate the liberated gas volumes to reservoir. What Is Gas Formation Volume Factor.
From www.researchgate.net
Variation of the formation volume factor of YP9 gas sample with What Is Gas Formation Volume Factor The formation volume factor of a natural gas (b g) relates the volume of 1 lbmol of gas at reservoir conditions to the volume of the same lbmol of. It accounted for both free gas and oil in the reservoir and had units of $rb/stb$. Formation volume factor of gas is defined as the volume of gas at reservoir pressure. What Is Gas Formation Volume Factor.
From www.youtube.com
PVT 30 Oil Formation Volume Factor Correlation YouTube What Is Gas Formation Volume Factor The formation volume factor of a natural gas (\(b_g\)) relates the volume of 1 lbmol of gas at reservoir conditions to the volume of the same. In order to relate the liberated gas volumes to reservoir barrels, a gas formation volume factor ($b_g$) was. Gas formation volume factor (fvf) is a measure of the natural gas volume contained in a. What Is Gas Formation Volume Factor.
From topdogengineer.com
Gas Formation Volume Factor (Bg) Top Dog Engineer What Is Gas Formation Volume Factor Formation volume factor of gas is defined as the volume of gas at reservoir pressure and temperature required to produce one standard. In order to relate the liberated gas volumes to reservoir barrels, a gas formation volume factor ($b_g$) was. The formation volume factor of a natural gas (b g) relates the volume of 1 lbmol of gas at reservoir. What Is Gas Formation Volume Factor.
From www.researchgate.net
2 Formation volume factor and viscosity of the injection CO2 as a What Is Gas Formation Volume Factor Formation volume factor of gas is defined as the volume of gas at reservoir pressure and temperature required to produce one standard. Gas formation volume factor (fvf) is a measure of the natural gas volume contained in a reservoir under specific temperature and. The formation volume factor of a natural gas (\(b_g\)) relates the volume of 1 lbmol of gas. What Is Gas Formation Volume Factor.
From www.researchgate.net
Oil Formation Volume Factor vs Pressure Plot Download Scientific Diagram What Is Gas Formation Volume Factor It accounted for both free gas and oil in the reservoir and had units of $rb/stb$. The formation volume factor of a natural gas (\(b_g\)) relates the volume of 1 lbmol of gas at reservoir conditions to the volume of the same. Formation volume factor of gas is defined as the volume of gas at reservoir pressure and temperature required. What Is Gas Formation Volume Factor.
From www.youtube.com
PVT 22 Gas Formation Volume Factor (Bg) YouTube What Is Gas Formation Volume Factor The formation volume factor for gas is the ratio of volume of 1 mol of gas at a given pressure and temperature to the volume of 1 mol of gas at. For most reservoir engineering calculations, the gas formation volume factor (and gas compressibility, c g, and gas density, ρ g) can be determined from the real gas law,. The. What Is Gas Formation Volume Factor.
From topdogengineer.com
Formation Volume Factor (Bo) Top Dog Engineer What Is Gas Formation Volume Factor The formation volume factor for gas is the ratio of volume of 1 mol of gas at a given pressure and temperature to the volume of 1 mol of gas at. The formation volume factor of a natural gas (b g) relates the volume of 1 lbmol of gas at reservoir conditions to the volume of the same lbmol of.. What Is Gas Formation Volume Factor.
From www.slideserve.com
PPT Types of Oil and Gas reservoirs PowerPoint Presentation, free What Is Gas Formation Volume Factor Gas formation volume factor (fvf) is a measure of the natural gas volume contained in a reservoir under specific temperature and. Formation volume factor of gas is defined as the volume of gas at reservoir pressure and temperature required to produce one standard. The formation volume factor of a natural gas (b g) relates the volume of 1 lbmol of. What Is Gas Formation Volume Factor.
From www.youtube.com
7. Formation volume factor and dissolved gas oil ratio YouTube What Is Gas Formation Volume Factor Gas formation volume factor (fvf) is a measure of the natural gas volume contained in a reservoir under specific temperature and. It accounted for both free gas and oil in the reservoir and had units of $rb/stb$. Formation volume factor of gas is defined as the volume of gas at reservoir pressure and temperature required to produce one standard. The. What Is Gas Formation Volume Factor.
From studylib.net
Gas formation volume factor. What Is Gas Formation Volume Factor The formation volume factor of a natural gas (b g) relates the volume of 1 lbmol of gas at reservoir conditions to the volume of the same lbmol of. Formation volume factor of gas is defined as the volume of gas at reservoir pressure and temperature required to produce one standard. The formation volume factor of a natural gas (\(b_g\)). What Is Gas Formation Volume Factor.
From www.scribd.com
Gas Formation Volume Factor PDF What Is Gas Formation Volume Factor The formation volume factor of a natural gas (\(b_g\)) relates the volume of 1 lbmol of gas at reservoir conditions to the volume of the same. It accounted for both free gas and oil in the reservoir and had units of $rb/stb$. Gas formation volume factor (fvf) is a measure of the natural gas volume contained in a reservoir under. What Is Gas Formation Volume Factor.
From topdogengineer.com
Formation Volume Factor (Bo) Top Dog Engineer What Is Gas Formation Volume Factor It accounted for both free gas and oil in the reservoir and had units of $rb/stb$. For most reservoir engineering calculations, the gas formation volume factor (and gas compressibility, c g, and gas density, ρ g) can be determined from the real gas law,. The formation volume factor for gas is the ratio of volume of 1 mol of gas. What Is Gas Formation Volume Factor.
From sepwww.stanford.edu
PVTProperties What Is Gas Formation Volume Factor It accounted for both free gas and oil in the reservoir and had units of $rb/stb$. In order to relate the liberated gas volumes to reservoir barrels, a gas formation volume factor ($b_g$) was. Formation volume factor of gas is defined as the volume of gas at reservoir pressure and temperature required to produce one standard. The formation volume factor. What Is Gas Formation Volume Factor.
From jejakbelajar.github.io
Oil Formation Volume Factor Formula Jejak Belajar What Is Gas Formation Volume Factor For most reservoir engineering calculations, the gas formation volume factor (and gas compressibility, c g, and gas density, ρ g) can be determined from the real gas law,. The formation volume factor for gas is the ratio of volume of 1 mol of gas at a given pressure and temperature to the volume of 1 mol of gas at. Formation. What Is Gas Formation Volume Factor.
From www.coursehero.com
[Solved] I have the following assignment question to answer as part of What Is Gas Formation Volume Factor The formation volume factor of a natural gas (b g) relates the volume of 1 lbmol of gas at reservoir conditions to the volume of the same lbmol of. Gas formation volume factor (fvf) is a measure of the natural gas volume contained in a reservoir under specific temperature and. It accounted for both free gas and oil in the. What Is Gas Formation Volume Factor.
From www.researchgate.net
Oil Formation Volume Factor vs Pressure Plot Download Scientific Diagram What Is Gas Formation Volume Factor In order to relate the liberated gas volumes to reservoir barrels, a gas formation volume factor ($b_g$) was. For most reservoir engineering calculations, the gas formation volume factor (and gas compressibility, c g, and gas density, ρ g) can be determined from the real gas law,. The formation volume factor of a natural gas (\(b_g\)) relates the volume of 1. What Is Gas Formation Volume Factor.
From www.youtube.com
Gas Formation Volume Factor (Part 1 of 2) YouTube What Is Gas Formation Volume Factor The formation volume factor of a natural gas (\(b_g\)) relates the volume of 1 lbmol of gas at reservoir conditions to the volume of the same. For most reservoir engineering calculations, the gas formation volume factor (and gas compressibility, c g, and gas density, ρ g) can be determined from the real gas law,. In order to relate the liberated. What Is Gas Formation Volume Factor.
From www.researchgate.net
Oil formation volume factor and oil and gas viscosities as a function What Is Gas Formation Volume Factor In order to relate the liberated gas volumes to reservoir barrels, a gas formation volume factor ($b_g$) was. The formation volume factor of a natural gas (b g) relates the volume of 1 lbmol of gas at reservoir conditions to the volume of the same lbmol of. Gas formation volume factor (fvf) is a measure of the natural gas volume. What Is Gas Formation Volume Factor.
From topdogengineer.com
Two Phase Gas Formation Volume Factor (Btg) Top Dog Engineer What Is Gas Formation Volume Factor Gas formation volume factor (fvf) is a measure of the natural gas volume contained in a reservoir under specific temperature and. Formation volume factor of gas is defined as the volume of gas at reservoir pressure and temperature required to produce one standard. In order to relate the liberated gas volumes to reservoir barrels, a gas formation volume factor ($b_g$). What Is Gas Formation Volume Factor.
From www.slideserve.com
PPT PERMEABILITY Gas Flow in Porous Media PowerPoint Presentation What Is Gas Formation Volume Factor Formation volume factor of gas is defined as the volume of gas at reservoir pressure and temperature required to produce one standard. Gas formation volume factor (fvf) is a measure of the natural gas volume contained in a reservoir under specific temperature and. For most reservoir engineering calculations, the gas formation volume factor (and gas compressibility, c g, and gas. What Is Gas Formation Volume Factor.
From www.slideserve.com
PPT Types of Oil and Gas reservoirs PowerPoint Presentation ID494425 What Is Gas Formation Volume Factor The formation volume factor of a natural gas (b g) relates the volume of 1 lbmol of gas at reservoir conditions to the volume of the same lbmol of. It accounted for both free gas and oil in the reservoir and had units of $rb/stb$. Gas formation volume factor (fvf) is a measure of the natural gas volume contained in. What Is Gas Formation Volume Factor.
From www.researchgate.net
Water formation volume factor changes with respect to pressure What Is Gas Formation Volume Factor Formation volume factor of gas is defined as the volume of gas at reservoir pressure and temperature required to produce one standard. Gas formation volume factor (fvf) is a measure of the natural gas volume contained in a reservoir under specific temperature and. For most reservoir engineering calculations, the gas formation volume factor (and gas compressibility, c g, and gas. What Is Gas Formation Volume Factor.
From www.slideserve.com
PPT PETE 310 PowerPoint Presentation, free download ID1391145 What Is Gas Formation Volume Factor Gas formation volume factor (fvf) is a measure of the natural gas volume contained in a reservoir under specific temperature and. For most reservoir engineering calculations, the gas formation volume factor (and gas compressibility, c g, and gas density, ρ g) can be determined from the real gas law,. The formation volume factor of a natural gas (\(b_g\)) relates the. What Is Gas Formation Volume Factor.
From topdogengineer.com
Gas Formation Volume Factor (Bg) Top Dog Engineer What Is Gas Formation Volume Factor In order to relate the liberated gas volumes to reservoir barrels, a gas formation volume factor ($b_g$) was. Gas formation volume factor (fvf) is a measure of the natural gas volume contained in a reservoir under specific temperature and. The formation volume factor of a natural gas (\(b_g\)) relates the volume of 1 lbmol of gas at reservoir conditions to. What Is Gas Formation Volume Factor.
From www.slideserve.com
PPT PETE 310 PowerPoint Presentation, free download ID1391145 What Is Gas Formation Volume Factor Formation volume factor of gas is defined as the volume of gas at reservoir pressure and temperature required to produce one standard. Gas formation volume factor (fvf) is a measure of the natural gas volume contained in a reservoir under specific temperature and. The formation volume factor for gas is the ratio of volume of 1 mol of gas at. What Is Gas Formation Volume Factor.
From topdogengineer.com
Two Phase Oil Formation Volume Factor (Bt) Top Dog Engineer What Is Gas Formation Volume Factor In order to relate the liberated gas volumes to reservoir barrels, a gas formation volume factor ($b_g$) was. The formation volume factor of a natural gas (\(b_g\)) relates the volume of 1 lbmol of gas at reservoir conditions to the volume of the same. Formation volume factor of gas is defined as the volume of gas at reservoir pressure and. What Is Gas Formation Volume Factor.
From www.slideserve.com
PPT Types of Oil and Gas reservoirs PowerPoint Presentation, free What Is Gas Formation Volume Factor For most reservoir engineering calculations, the gas formation volume factor (and gas compressibility, c g, and gas density, ρ g) can be determined from the real gas law,. The formation volume factor of a natural gas (\(b_g\)) relates the volume of 1 lbmol of gas at reservoir conditions to the volume of the same. It accounted for both free gas. What Is Gas Formation Volume Factor.