Diagram R Package . With the diagrammer package you can create, modify, analyze, and visualize network graph diagrams. Build graph/network structures using functions for stepwise addition and deletion of nodes and. Functions for visualising simple graphs (networks), plotting flow diagrams. The output can be incorporated into r markdown documents, integrated with. Work with data available in tables for. This can be useful for displaying data. Functions for visualising simple graphs (networks), plotting flow diagrams. In this article, we’ll cover. Royal netherlands institute of sea. Build graph/network structures using functions for stepwise addition and deletion of nodes and edges. The diagrammer package (iannone 2018) is a package which allows graphs to be generated for a simple coding syntax. Visualising simple graphs, owcharts, and webs. Diagrammer is a package in r that is used to create graphs and flowcharts using graphviz and mermaid.
from statisticsglobe.com
The output can be incorporated into r markdown documents, integrated with. Diagrammer is a package in r that is used to create graphs and flowcharts using graphviz and mermaid. Work with data available in tables for. In this article, we’ll cover. This can be useful for displaying data. Royal netherlands institute of sea. Functions for visualising simple graphs (networks), plotting flow diagrams. Build graph/network structures using functions for stepwise addition and deletion of nodes and. Functions for visualising simple graphs (networks), plotting flow diagrams. Visualising simple graphs, owcharts, and webs.
patchwork Package in R Introduction, Tutorial & Programming Examples
Diagram R Package The output can be incorporated into r markdown documents, integrated with. Work with data available in tables for. Functions for visualising simple graphs (networks), plotting flow diagrams. The diagrammer package (iannone 2018) is a package which allows graphs to be generated for a simple coding syntax. Visualising simple graphs, owcharts, and webs. Build graph/network structures using functions for stepwise addition and deletion of nodes and. Functions for visualising simple graphs (networks), plotting flow diagrams. Royal netherlands institute of sea. Diagrammer is a package in r that is used to create graphs and flowcharts using graphviz and mermaid. In this article, we’ll cover. This can be useful for displaying data. Build graph/network structures using functions for stepwise addition and deletion of nodes and edges. With the diagrammer package you can create, modify, analyze, and visualize network graph diagrams. The output can be incorporated into r markdown documents, integrated with.
From www.javatpoint.com
List of R Packages javatpoint Diagram R Package Diagrammer is a package in r that is used to create graphs and flowcharts using graphviz and mermaid. The diagrammer package (iannone 2018) is a package which allows graphs to be generated for a simple coding syntax. With the diagrammer package you can create, modify, analyze, and visualize network graph diagrams. Royal netherlands institute of sea. Functions for visualising simple. Diagram R Package.
From www.datacamp.com
R Packages A Beginner's Guide (Article) Diagram R Package Work with data available in tables for. Visualising simple graphs, owcharts, and webs. Diagrammer is a package in r that is used to create graphs and flowcharts using graphviz and mermaid. The diagrammer package (iannone 2018) is a package which allows graphs to be generated for a simple coding syntax. Build graph/network structures using functions for stepwise addition and deletion. Diagram R Package.
From stackoverflow.com
graph R Drawing markov model with diagram package (making diagram changes) Stack Overflow Diagram R Package In this article, we’ll cover. With the diagrammer package you can create, modify, analyze, and visualize network graph diagrams. The diagrammer package (iannone 2018) is a package which allows graphs to be generated for a simple coding syntax. The output can be incorporated into r markdown documents, integrated with. Build graph/network structures using functions for stepwise addition and deletion of. Diagram R Package.
From statisticsglobe.com
patchwork Package in R Introduction, Tutorial & Programming Examples Diagram R Package Visualising simple graphs, owcharts, and webs. With the diagrammer package you can create, modify, analyze, and visualize network graph diagrams. This can be useful for displaying data. Royal netherlands institute of sea. Build graph/network structures using functions for stepwise addition and deletion of nodes and. Work with data available in tables for. Functions for visualising simple graphs (networks), plotting flow. Diagram R Package.
From gametaste.weebly.com
Venn diagrams in r gametaste Diagram R Package Visualising simple graphs, owcharts, and webs. Diagrammer is a package in r that is used to create graphs and flowcharts using graphviz and mermaid. Royal netherlands institute of sea. This can be useful for displaying data. In this article, we’ll cover. Build graph/network structures using functions for stepwise addition and deletion of nodes and. With the diagrammer package you can. Diagram R Package.
From www.researchgate.net
Knowledge graph of R based on package description archived on CRAN.... Download Scientific Diagram Diagram R Package This can be useful for displaying data. The diagrammer package (iannone 2018) is a package which allows graphs to be generated for a simple coding syntax. The output can be incorporated into r markdown documents, integrated with. Functions for visualising simple graphs (networks), plotting flow diagrams. With the diagrammer package you can create, modify, analyze, and visualize network graph diagrams.. Diagram R Package.
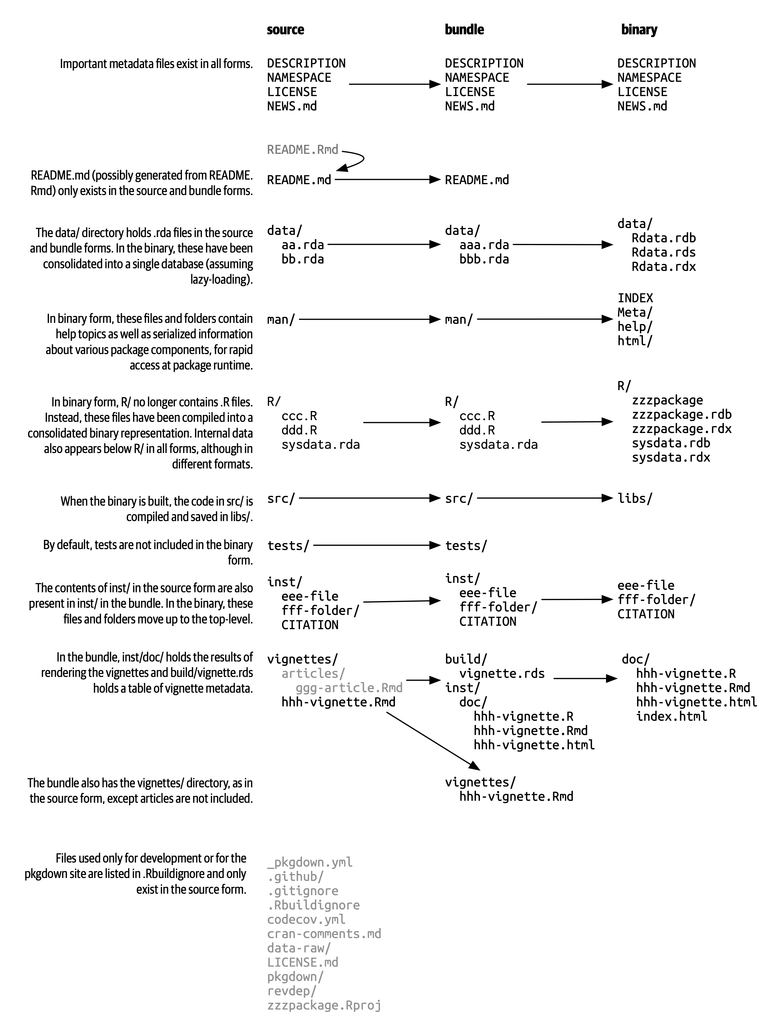
From r-pkgs.org
3 Package structure and state R Packages (2e) Diagram R Package The output can be incorporated into r markdown documents, integrated with. Build graph/network structures using functions for stepwise addition and deletion of nodes and. With the diagrammer package you can create, modify, analyze, and visualize network graph diagrams. This can be useful for displaying data. Functions for visualising simple graphs (networks), plotting flow diagrams. Work with data available in tables. Diagram R Package.
From www.datanovia.com
Venn Diagram with R or RStudio A Million Ways Datanovia Diagram R Package Build graph/network structures using functions for stepwise addition and deletion of nodes and. Royal netherlands institute of sea. Work with data available in tables for. This can be useful for displaying data. Visualising simple graphs, owcharts, and webs. Diagrammer is a package in r that is used to create graphs and flowcharts using graphviz and mermaid. With the diagrammer package. Diagram R Package.
From www.rstudio.com
R Packages RStudio Diagram R Package Functions for visualising simple graphs (networks), plotting flow diagrams. Royal netherlands institute of sea. Build graph/network structures using functions for stepwise addition and deletion of nodes and edges. Functions for visualising simple graphs (networks), plotting flow diagrams. The diagrammer package (iannone 2018) is a package which allows graphs to be generated for a simple coding syntax. Work with data available. Diagram R Package.
From www.datanovia.com
Venn Diagram with R or RStudio A Million Ways Datanovia Diagram R Package The output can be incorporated into r markdown documents, integrated with. The diagrammer package (iannone 2018) is a package which allows graphs to be generated for a simple coding syntax. This can be useful for displaying data. Functions for visualising simple graphs (networks), plotting flow diagrams. In this article, we’ll cover. Visualising simple graphs, owcharts, and webs. Build graph/network structures. Diagram R Package.
From www.youtube.com
Example Class Diagram with Packages YouTube Diagram R Package Functions for visualising simple graphs (networks), plotting flow diagrams. Functions for visualising simple graphs (networks), plotting flow diagrams. The diagrammer package (iannone 2018) is a package which allows graphs to be generated for a simple coding syntax. With the diagrammer package you can create, modify, analyze, and visualize network graph diagrams. Diagrammer is a package in r that is used. Diagram R Package.
From www.researchgate.net
Class diagram of the R package and its connections to other packages. Download Scientific Diagram Diagram R Package Build graph/network structures using functions for stepwise addition and deletion of nodes and. With the diagrammer package you can create, modify, analyze, and visualize network graph diagrams. This can be useful for displaying data. Build graph/network structures using functions for stepwise addition and deletion of nodes and edges. Work with data available in tables for. Functions for visualising simple graphs. Diagram R Package.
From statisticsglobe.com
ggvenn Package in R (4 Examples) How to Draw ggplot2 Venn Diagrams Diagram R Package Royal netherlands institute of sea. Build graph/network structures using functions for stepwise addition and deletion of nodes and. Work with data available in tables for. With the diagrammer package you can create, modify, analyze, and visualize network graph diagrams. Diagrammer is a package in r that is used to create graphs and flowcharts using graphviz and mermaid. The diagrammer package. Diagram R Package.
From www.r-bloggers.com
Searching for R Packages Rbloggers Diagram R Package Functions for visualising simple graphs (networks), plotting flow diagrams. In this article, we’ll cover. This can be useful for displaying data. The output can be incorporated into r markdown documents, integrated with. Visualising simple graphs, owcharts, and webs. Functions for visualising simple graphs (networks), plotting flow diagrams. Diagrammer is a package in r that is used to create graphs and. Diagram R Package.
From mavink.com
R Diagrammer Flowchart Diagram R Package Build graph/network structures using functions for stepwise addition and deletion of nodes and edges. The output can be incorporated into r markdown documents, integrated with. Work with data available in tables for. Functions for visualising simple graphs (networks), plotting flow diagrams. In this article, we’ll cover. Build graph/network structures using functions for stepwise addition and deletion of nodes and. The. Diagram R Package.
From www.sthda.com
Impressive package for 3D and 4D graph R software and data visualization Easy Guides Wiki Diagram R Package Functions for visualising simple graphs (networks), plotting flow diagrams. Diagrammer is a package in r that is used to create graphs and flowcharts using graphviz and mermaid. Work with data available in tables for. Visualising simple graphs, owcharts, and webs. This can be useful for displaying data. With the diagrammer package you can create, modify, analyze, and visualize network graph. Diagram R Package.
From statisticsglobe.com
ggvenn Package in R (4 Examples) How to Draw ggplot2 Venn Diagrams Diagram R Package Build graph/network structures using functions for stepwise addition and deletion of nodes and. In this article, we’ll cover. Work with data available in tables for. The diagrammer package (iannone 2018) is a package which allows graphs to be generated for a simple coding syntax. Functions for visualising simple graphs (networks), plotting flow diagrams. Functions for visualising simple graphs (networks), plotting. Diagram R Package.
From sawobakejul.blogspot.com
17 R PACKAGE FLOWCHART Diagram R Package Functions for visualising simple graphs (networks), plotting flow diagrams. Diagrammer is a package in r that is used to create graphs and flowcharts using graphviz and mermaid. Visualising simple graphs, owcharts, and webs. This can be useful for displaying data. Build graph/network structures using functions for stepwise addition and deletion of nodes and edges. The output can be incorporated into. Diagram R Package.
From www.r-bloggers.com
What are the Popular R Packages? Rbloggers Diagram R Package This can be useful for displaying data. With the diagrammer package you can create, modify, analyze, and visualize network graph diagrams. Functions for visualising simple graphs (networks), plotting flow diagrams. Royal netherlands institute of sea. In this article, we’ll cover. Visualising simple graphs, owcharts, and webs. Build graph/network structures using functions for stepwise addition and deletion of nodes and edges.. Diagram R Package.
From www.researchgate.net
Class diagram of the R package and its connections to other packages. Download Scientific Diagram Diagram R Package The diagrammer package (iannone 2018) is a package which allows graphs to be generated for a simple coding syntax. With the diagrammer package you can create, modify, analyze, and visualize network graph diagrams. The output can be incorporated into r markdown documents, integrated with. This can be useful for displaying data. Build graph/network structures using functions for stepwise addition and. Diagram R Package.
From www.analyticsvidhya.com
Top R Packages 10 r Packages Every Data Scientist Should Know Diagram R Package Functions for visualising simple graphs (networks), plotting flow diagrams. Work with data available in tables for. The output can be incorporated into r markdown documents, integrated with. Royal netherlands institute of sea. Build graph/network structures using functions for stepwise addition and deletion of nodes and. This can be useful for displaying data. Functions for visualising simple graphs (networks), plotting flow. Diagram R Package.
From r-pkgs.org
3 Package structure and state R Packages (2e) Diagram R Package Work with data available in tables for. This can be useful for displaying data. Build graph/network structures using functions for stepwise addition and deletion of nodes and. In this article, we’ll cover. Functions for visualising simple graphs (networks), plotting flow diagrams. The output can be incorporated into r markdown documents, integrated with. With the diagrammer package you can create, modify,. Diagram R Package.
From diagramjaringankomputer.blogspot.com
Diagrammer R Package diagram jaringan komputer Diagram R Package In this article, we’ll cover. The output can be incorporated into r markdown documents, integrated with. Functions for visualising simple graphs (networks), plotting flow diagrams. Build graph/network structures using functions for stepwise addition and deletion of nodes and edges. Visualising simple graphs, owcharts, and webs. Work with data available in tables for. Diagrammer is a package in r that is. Diagram R Package.
From mirkosignorelli.github.io
R packages of Mirko Signorelli Diagram R Package Functions for visualising simple graphs (networks), plotting flow diagrams. With the diagrammer package you can create, modify, analyze, and visualize network graph diagrams. In this article, we’ll cover. Build graph/network structures using functions for stepwise addition and deletion of nodes and. Royal netherlands institute of sea. Visualising simple graphs, owcharts, and webs. This can be useful for displaying data. The. Diagram R Package.
From medium.com
Setup R for success. How to start working on an R project… by Adrian Joseph, PhD Medium Diagram R Package Diagrammer is a package in r that is used to create graphs and flowcharts using graphviz and mermaid. Functions for visualising simple graphs (networks), plotting flow diagrams. This can be useful for displaying data. The output can be incorporated into r markdown documents, integrated with. The diagrammer package (iannone 2018) is a package which allows graphs to be generated for. Diagram R Package.
From www.r-bloggers.com
Quick RoundUp Visualising Flows Using Network and Sankey Diagrams in Python and R Rbloggers Diagram R Package This can be useful for displaying data. Royal netherlands institute of sea. The diagrammer package (iannone 2018) is a package which allows graphs to be generated for a simple coding syntax. Work with data available in tables for. Visualising simple graphs, owcharts, and webs. Build graph/network structures using functions for stepwise addition and deletion of nodes and edges. Functions for. Diagram R Package.
From www.educba.com
R Packages Comprehensive Guide to R Packages with syntax & Code Diagram R Package The diagrammer package (iannone 2018) is a package which allows graphs to be generated for a simple coding syntax. Diagrammer is a package in r that is used to create graphs and flowcharts using graphviz and mermaid. Work with data available in tables for. Royal netherlands institute of sea. Functions for visualising simple graphs (networks), plotting flow diagrams. With the. Diagram R Package.
From www.r-bloggers.com
Some R Packages for ROC Curves Rbloggers Diagram R Package Functions for visualising simple graphs (networks), plotting flow diagrams. Build graph/network structures using functions for stepwise addition and deletion of nodes and edges. The diagrammer package (iannone 2018) is a package which allows graphs to be generated for a simple coding syntax. Royal netherlands institute of sea. Diagrammer is a package in r that is used to create graphs and. Diagram R Package.
From rviews.rstudio.com
Sept 2019 "Top 40" New R Packages · R Views Diagram R Package Build graph/network structures using functions for stepwise addition and deletion of nodes and edges. Work with data available in tables for. Royal netherlands institute of sea. This can be useful for displaying data. The diagrammer package (iannone 2018) is a package which allows graphs to be generated for a simple coding syntax. The output can be incorporated into r markdown. Diagram R Package.
From magesblog.com
Managing R package dependencies mages' blog Diagram R Package With the diagrammer package you can create, modify, analyze, and visualize network graph diagrams. Work with data available in tables for. Build graph/network structures using functions for stepwise addition and deletion of nodes and edges. The diagrammer package (iannone 2018) is a package which allows graphs to be generated for a simple coding syntax. Functions for visualising simple graphs (networks),. Diagram R Package.
From kazeera.github.io
6 How to Use the R Package User’s Guide for Hourglass Diagram R Package This can be useful for displaying data. Visualising simple graphs, owcharts, and webs. In this article, we’ll cover. Build graph/network structures using functions for stepwise addition and deletion of nodes and edges. Functions for visualising simple graphs (networks), plotting flow diagrams. Royal netherlands institute of sea. Functions for visualising simple graphs (networks), plotting flow diagrams. The output can be incorporated. Diagram R Package.
From www.analyticsvidhya.com
How I created a package in R & published it on CRAN / GitHub (and you can too)? Diagram R Package The output can be incorporated into r markdown documents, integrated with. In this article, we’ll cover. Visualising simple graphs, owcharts, and webs. With the diagrammer package you can create, modify, analyze, and visualize network graph diagrams. Work with data available in tables for. This can be useful for displaying data. Build graph/network structures using functions for stepwise addition and deletion. Diagram R Package.
From faculty.marshall.usc.edu
Literate Programming for Writing R Packages • litr Diagram R Package In this article, we’ll cover. With the diagrammer package you can create, modify, analyze, and visualize network graph diagrams. Work with data available in tables for. The diagrammer package (iannone 2018) is a package which allows graphs to be generated for a simple coding syntax. Diagrammer is a package in r that is used to create graphs and flowcharts using. Diagram R Package.
From www.gastonsanchez.com
on creating R packages in windows Visually Enforced Diagram R Package The diagrammer package (iannone 2018) is a package which allows graphs to be generated for a simple coding syntax. Diagrammer is a package in r that is used to create graphs and flowcharts using graphviz and mermaid. Visualising simple graphs, owcharts, and webs. The output can be incorporated into r markdown documents, integrated with. In this article, we’ll cover. Functions. Diagram R Package.
From rviews.rstudio.com
Exploring R Packages with cranly · R Views Diagram R Package Functions for visualising simple graphs (networks), plotting flow diagrams. Build graph/network structures using functions for stepwise addition and deletion of nodes and. Royal netherlands institute of sea. The diagrammer package (iannone 2018) is a package which allows graphs to be generated for a simple coding syntax. With the diagrammer package you can create, modify, analyze, and visualize network graph diagrams.. Diagram R Package.