Garden Hose Nozzle Velocity . Garden hose flow rate and time. A typical garden hose flow rate is usually between 9 and 17 gallons per minute. Suppose you have a garden hose with an inside diameter of 1.5 inches and water flows through it at a velocity of 2 feet per. A nozzle with a radius of 0.250 cm is attached to a garden hose with a radius of 0.900 cm. It is commonly measured in gallons per. What is garden hose flow rate? Understanding garden hose flow rates and selecting the appropriate nozzle are crucial elements in effective gardening. The flow rate through hose and nozzle is 0.500 l/s. The flow rate of a garden hose depends on several factors, including the diameter of the hose, the water pressure supplied by the source, and any potential obstructions or. The amount of water flow from a garden hose and minutes to supply that amount of water are determined. Garden hose flow rate is the amount of water that moves from the spigot through the end of the hose over time. The average garden hose gpm would be around 12 to 13, but this.
from www.familyhandyman.com
What is garden hose flow rate? The flow rate of a garden hose depends on several factors, including the diameter of the hose, the water pressure supplied by the source, and any potential obstructions or. Garden hose flow rate is the amount of water that moves from the spigot through the end of the hose over time. Garden hose flow rate and time. The flow rate through hose and nozzle is 0.500 l/s. Suppose you have a garden hose with an inside diameter of 1.5 inches and water flows through it at a velocity of 2 feet per. Understanding garden hose flow rates and selecting the appropriate nozzle are crucial elements in effective gardening. A nozzle with a radius of 0.250 cm is attached to a garden hose with a radius of 0.900 cm. It is commonly measured in gallons per. A typical garden hose flow rate is usually between 9 and 17 gallons per minute.
8 Best Garden Hose Nozzles and Sprayers The Family Handyman
Garden Hose Nozzle Velocity What is garden hose flow rate? Garden hose flow rate and time. It is commonly measured in gallons per. What is garden hose flow rate? Garden hose flow rate is the amount of water that moves from the spigot through the end of the hose over time. Suppose you have a garden hose with an inside diameter of 1.5 inches and water flows through it at a velocity of 2 feet per. Understanding garden hose flow rates and selecting the appropriate nozzle are crucial elements in effective gardening. The average garden hose gpm would be around 12 to 13, but this. The flow rate through hose and nozzle is 0.500 l/s. The flow rate of a garden hose depends on several factors, including the diameter of the hose, the water pressure supplied by the source, and any potential obstructions or. A nozzle with a radius of 0.250 cm is attached to a garden hose with a radius of 0.900 cm. The amount of water flow from a garden hose and minutes to supply that amount of water are determined. A typical garden hose flow rate is usually between 9 and 17 gallons per minute.
From thebestsellertrends.com
Top 10 Best Garden Hose Nozzles to Buy on Amazon in 2023 Garden Hose Nozzle Velocity Garden hose flow rate is the amount of water that moves from the spigot through the end of the hose over time. The amount of water flow from a garden hose and minutes to supply that amount of water are determined. A nozzle with a radius of 0.250 cm is attached to a garden hose with a radius of 0.900. Garden Hose Nozzle Velocity.
From bahamas.desertcart.com
Buy High Pressure Hose Nozzle Heavy Duty Brass Water Hose Nozzles for Garden Hose Nozzle Velocity What is garden hose flow rate? Garden hose flow rate is the amount of water that moves from the spigot through the end of the hose over time. The flow rate through hose and nozzle is 0.500 l/s. The amount of water flow from a garden hose and minutes to supply that amount of water are determined. Suppose you have. Garden Hose Nozzle Velocity.
From www.chegg.com
Solved 5) A garden hose nozzle sprays 0.5L/s of water at a Garden Hose Nozzle Velocity Garden hose flow rate and time. Suppose you have a garden hose with an inside diameter of 1.5 inches and water flows through it at a velocity of 2 feet per. A typical garden hose flow rate is usually between 9 and 17 gallons per minute. What is garden hose flow rate? The flow rate of a garden hose depends. Garden Hose Nozzle Velocity.
From www.chegg.com
Solved A garden hose attached with a nozzle is used to fill Garden Hose Nozzle Velocity Garden hose flow rate is the amount of water that moves from the spigot through the end of the hose over time. The amount of water flow from a garden hose and minutes to supply that amount of water are determined. A typical garden hose flow rate is usually between 9 and 17 gallons per minute. Suppose you have a. Garden Hose Nozzle Velocity.
From www.backyardboss.net
Best Hose Nozzle Reviews 2019 Buyers Guide Garden Hose Nozzle Velocity What is garden hose flow rate? The amount of water flow from a garden hose and minutes to supply that amount of water are determined. Understanding garden hose flow rates and selecting the appropriate nozzle are crucial elements in effective gardening. Garden hose flow rate and time. Garden hose flow rate is the amount of water that moves from the. Garden Hose Nozzle Velocity.
From www.familyhandyman.com
8 Best Garden Hose Nozzles and Sprayers The Family Handyman Garden Hose Nozzle Velocity A nozzle with a radius of 0.250 cm is attached to a garden hose with a radius of 0.900 cm. Understanding garden hose flow rates and selecting the appropriate nozzle are crucial elements in effective gardening. The average garden hose gpm would be around 12 to 13, but this. The amount of water flow from a garden hose and minutes. Garden Hose Nozzle Velocity.
From www.chegg.com
Solved A garden hose attached with a nozzle is used to fill Garden Hose Nozzle Velocity It is commonly measured in gallons per. Garden hose flow rate is the amount of water that moves from the spigot through the end of the hose over time. Suppose you have a garden hose with an inside diameter of 1.5 inches and water flows through it at a velocity of 2 feet per. A nozzle with a radius of. Garden Hose Nozzle Velocity.
From improb.com
The 12 Best Garden Hose Nozzles Improb Garden Hose Nozzle Velocity The flow rate through hose and nozzle is 0.500 l/s. The flow rate of a garden hose depends on several factors, including the diameter of the hose, the water pressure supplied by the source, and any potential obstructions or. A typical garden hose flow rate is usually between 9 and 17 gallons per minute. Garden hose flow rate and time.. Garden Hose Nozzle Velocity.
From gardenersmag.com
Best Garden Hose Nozzle Gardeners' Magazine Garden Hose Nozzle Velocity The flow rate of a garden hose depends on several factors, including the diameter of the hose, the water pressure supplied by the source, and any potential obstructions or. Suppose you have a garden hose with an inside diameter of 1.5 inches and water flows through it at a velocity of 2 feet per. Understanding garden hose flow rates and. Garden Hose Nozzle Velocity.
From gardentopatio.com
How to Fix Garden Hose Spray Nozzle Issues Garden Hose Nozzle Velocity The average garden hose gpm would be around 12 to 13, but this. Garden hose flow rate and time. The amount of water flow from a garden hose and minutes to supply that amount of water are determined. A nozzle with a radius of 0.250 cm is attached to a garden hose with a radius of 0.900 cm. Understanding garden. Garden Hose Nozzle Velocity.
From www.chegg.com
Solved ! Required information A garden hose attached with a Garden Hose Nozzle Velocity The amount of water flow from a garden hose and minutes to supply that amount of water are determined. Garden hose flow rate is the amount of water that moves from the spigot through the end of the hose over time. The average garden hose gpm would be around 12 to 13, but this. The flow rate through hose and. Garden Hose Nozzle Velocity.
From www.bunnings.com.au
Nylex 90cm 7 Function Premium Hose Nozzle Bunnings Australia Garden Hose Nozzle Velocity A typical garden hose flow rate is usually between 9 and 17 gallons per minute. Suppose you have a garden hose with an inside diameter of 1.5 inches and water flows through it at a velocity of 2 feet per. The amount of water flow from a garden hose and minutes to supply that amount of water are determined. Understanding. Garden Hose Nozzle Velocity.
From www.chegg.com
Solved A garden hose is 3 cm in diameter. At the end of the Garden Hose Nozzle Velocity It is commonly measured in gallons per. The flow rate through hose and nozzle is 0.500 l/s. The amount of water flow from a garden hose and minutes to supply that amount of water are determined. The average garden hose gpm would be around 12 to 13, but this. Understanding garden hose flow rates and selecting the appropriate nozzle are. Garden Hose Nozzle Velocity.
From www.homedepot.com
Morvat Solid Brass HeavyDuty Twist Garden Hose Nozzle, Adjustable Garden Hose Nozzle Velocity The average garden hose gpm would be around 12 to 13, but this. Garden hose flow rate is the amount of water that moves from the spigot through the end of the hose over time. The flow rate of a garden hose depends on several factors, including the diameter of the hose, the water pressure supplied by the source, and. Garden Hose Nozzle Velocity.
From www.toptenthebest.com
Top 10 Best Garden Hose Nozzles in 2024 TopTenTheBest Garden Hose Nozzle Velocity A nozzle with a radius of 0.250 cm is attached to a garden hose with a radius of 0.900 cm. Garden hose flow rate and time. It is commonly measured in gallons per. A typical garden hose flow rate is usually between 9 and 17 gallons per minute. The flow rate of a garden hose depends on several factors, including. Garden Hose Nozzle Velocity.
From people.com
The 6 Best Garden Hose Nozzles of 2022 Tested by PEOPLE Garden Hose Nozzle Velocity It is commonly measured in gallons per. Garden hose flow rate and time. A typical garden hose flow rate is usually between 9 and 17 gallons per minute. The flow rate of a garden hose depends on several factors, including the diameter of the hose, the water pressure supplied by the source, and any potential obstructions or. A nozzle with. Garden Hose Nozzle Velocity.
From www.walmart.com
Heavy Duty Garden Hose Twist Nozzle, Solid Brass Power Sprayer Garden Hose Nozzle Velocity The flow rate of a garden hose depends on several factors, including the diameter of the hose, the water pressure supplied by the source, and any potential obstructions or. What is garden hose flow rate? The average garden hose gpm would be around 12 to 13, but this. Understanding garden hose flow rates and selecting the appropriate nozzle are crucial. Garden Hose Nozzle Velocity.
From thelawnreview.com
3 Best Garden Hose Nozzles + My Experience Breaking Many The Lawn Review Garden Hose Nozzle Velocity A nozzle with a radius of 0.250 cm is attached to a garden hose with a radius of 0.900 cm. Understanding garden hose flow rates and selecting the appropriate nozzle are crucial elements in effective gardening. It is commonly measured in gallons per. The amount of water flow from a garden hose and minutes to supply that amount of water. Garden Hose Nozzle Velocity.
From www.chegg.com
Solved Water Flow through a Garden Hose Nozzle A garden Garden Hose Nozzle Velocity A typical garden hose flow rate is usually between 9 and 17 gallons per minute. The average garden hose gpm would be around 12 to 13, but this. What is garden hose flow rate? Understanding garden hose flow rates and selecting the appropriate nozzle are crucial elements in effective gardening. It is commonly measured in gallons per. A nozzle with. Garden Hose Nozzle Velocity.
From www.numerade.com
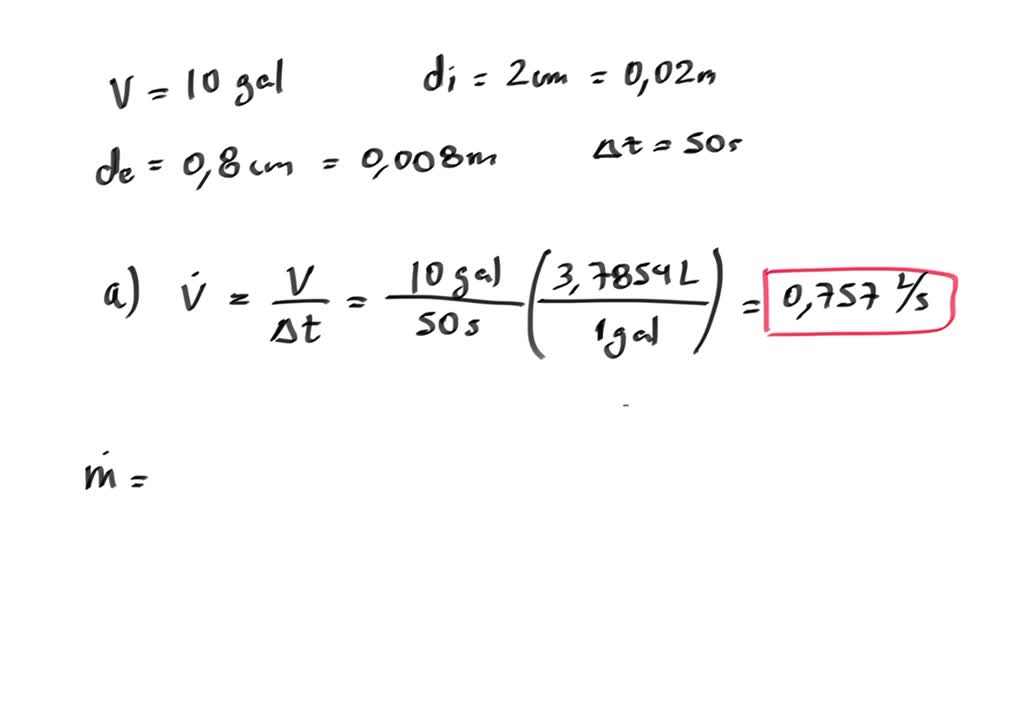
A garden hose attached with a nozzle is used to fill a 10gal bucket Garden Hose Nozzle Velocity Garden hose flow rate is the amount of water that moves from the spigot through the end of the hose over time. The amount of water flow from a garden hose and minutes to supply that amount of water are determined. Suppose you have a garden hose with an inside diameter of 1.5 inches and water flows through it at. Garden Hose Nozzle Velocity.
From www.homedepot.com
3/4 in. High Pressure Nozzle Water Hose w/Garden Hose Shutoff Valve Garden Hose Nozzle Velocity Garden hose flow rate and time. The flow rate of a garden hose depends on several factors, including the diameter of the hose, the water pressure supplied by the source, and any potential obstructions or. What is garden hose flow rate? A nozzle with a radius of 0.250 cm is attached to a garden hose with a radius of 0.900. Garden Hose Nozzle Velocity.
From www.walmart.com
100FT Expandable Garden Hose Water Hose with 9Function HighPressure Garden Hose Nozzle Velocity It is commonly measured in gallons per. The average garden hose gpm would be around 12 to 13, but this. A typical garden hose flow rate is usually between 9 and 17 gallons per minute. The amount of water flow from a garden hose and minutes to supply that amount of water are determined. Garden hose flow rate and time.. Garden Hose Nozzle Velocity.
From www.familyhandyman.com
8 Best Garden Hose Nozzles and Sprayers The Family Handyman Garden Hose Nozzle Velocity A typical garden hose flow rate is usually between 9 and 17 gallons per minute. Suppose you have a garden hose with an inside diameter of 1.5 inches and water flows through it at a velocity of 2 feet per. The flow rate through hose and nozzle is 0.500 l/s. The average garden hose gpm would be around 12 to. Garden Hose Nozzle Velocity.
From www.indiamart.com
Brass 1.2 MPa (12 Bar) High Velocity Nozzle, For Industrial at Rs 250 Garden Hose Nozzle Velocity It is commonly measured in gallons per. A nozzle with a radius of 0.250 cm is attached to a garden hose with a radius of 0.900 cm. Suppose you have a garden hose with an inside diameter of 1.5 inches and water flows through it at a velocity of 2 feet per. Garden hose flow rate and time. The flow. Garden Hose Nozzle Velocity.
From www.fascinatewithzea.com
High Pressure Garden Hose Nozzle Lowes Fasci Garden Garden Hose Nozzle Velocity Garden hose flow rate and time. Garden hose flow rate is the amount of water that moves from the spigot through the end of the hose over time. Understanding garden hose flow rates and selecting the appropriate nozzle are crucial elements in effective gardening. Suppose you have a garden hose with an inside diameter of 1.5 inches and water flows. Garden Hose Nozzle Velocity.
From www.walmart.com
Solid Brass Garden Hose Nozzle, EEEkit Heavy Duty High Pressure Hose Garden Hose Nozzle Velocity A typical garden hose flow rate is usually between 9 and 17 gallons per minute. It is commonly measured in gallons per. The flow rate of a garden hose depends on several factors, including the diameter of the hose, the water pressure supplied by the source, and any potential obstructions or. What is garden hose flow rate? The average garden. Garden Hose Nozzle Velocity.
From www.tessshebaylo.com
Nozzle Exit Velocity Equation Tessshebaylo Garden Hose Nozzle Velocity The amount of water flow from a garden hose and minutes to supply that amount of water are determined. Garden hose flow rate is the amount of water that moves from the spigot through the end of the hose over time. Garden hose flow rate and time. The flow rate of a garden hose depends on several factors, including the. Garden Hose Nozzle Velocity.
From www.youtube.com
Spray Nozzle Brass Hose Video Demo YouTube Garden Hose Nozzle Velocity The amount of water flow from a garden hose and minutes to supply that amount of water are determined. It is commonly measured in gallons per. The average garden hose gpm would be around 12 to 13, but this. A nozzle with a radius of 0.250 cm is attached to a garden hose with a radius of 0.900 cm. The. Garden Hose Nozzle Velocity.
From thebestsellertrends.com
Top 10 Best Garden Hose Nozzles to Buy on Amazon in 2023 Garden Hose Nozzle Velocity The amount of water flow from a garden hose and minutes to supply that amount of water are determined. It is commonly measured in gallons per. The flow rate of a garden hose depends on several factors, including the diameter of the hose, the water pressure supplied by the source, and any potential obstructions or. A nozzle with a radius. Garden Hose Nozzle Velocity.
From www.amazon.de
GrowGreen Expandable Garden Hose, Flexible Water Hose with High Garden Hose Nozzle Velocity Garden hose flow rate is the amount of water that moves from the spigot through the end of the hose over time. A typical garden hose flow rate is usually between 9 and 17 gallons per minute. The flow rate of a garden hose depends on several factors, including the diameter of the hose, the water pressure supplied by the. Garden Hose Nozzle Velocity.
From www.bhg.com
The 10 Best Garden Hose Nozzles of 2022 Garden Hose Nozzle Velocity Suppose you have a garden hose with an inside diameter of 1.5 inches and water flows through it at a velocity of 2 feet per. It is commonly measured in gallons per. A nozzle with a radius of 0.250 cm is attached to a garden hose with a radius of 0.900 cm. The average garden hose gpm would be around. Garden Hose Nozzle Velocity.
From thebestsellertrends.com
Top 10 Best Garden Hose Nozzles to Buy on Amazon in 2023 Garden Hose Nozzle Velocity Garden hose flow rate and time. What is garden hose flow rate? Suppose you have a garden hose with an inside diameter of 1.5 inches and water flows through it at a velocity of 2 feet per. It is commonly measured in gallons per. The average garden hose gpm would be around 12 to 13, but this. A nozzle with. Garden Hose Nozzle Velocity.
From www.survivalistboards.com
4 In. Brass Garden Hose Nozzle Survivalist Forum Garden Hose Nozzle Velocity Suppose you have a garden hose with an inside diameter of 1.5 inches and water flows through it at a velocity of 2 feet per. The amount of water flow from a garden hose and minutes to supply that amount of water are determined. The flow rate through hose and nozzle is 0.500 l/s. A typical garden hose flow rate. Garden Hose Nozzle Velocity.
From www.gearhungry.com
Best Garden Hose Nozzles In 2022 [Buying Guide] Gear Hungry Garden Hose Nozzle Velocity A typical garden hose flow rate is usually between 9 and 17 gallons per minute. The average garden hose gpm would be around 12 to 13, but this. Garden hose flow rate and time. Garden hose flow rate is the amount of water that moves from the spigot through the end of the hose over time. It is commonly measured. Garden Hose Nozzle Velocity.
From www.yourbestdigs.com
The 12 Best Garden Hose Nozzles of 2024 Reviews by Your Best Digs Garden Hose Nozzle Velocity Suppose you have a garden hose with an inside diameter of 1.5 inches and water flows through it at a velocity of 2 feet per. It is commonly measured in gallons per. Garden hose flow rate and time. A nozzle with a radius of 0.250 cm is attached to a garden hose with a radius of 0.900 cm. The flow. Garden Hose Nozzle Velocity.