Chapter 20 Planer Quizlet . Improve your grades and reach your goals with flashcards, practice tests. Improve your grades and reach your goals with flashcards, practice tests. study with quizlet and memorize flashcards containing terms like planer, infeed roller, backing board and more. Select the best face and plane it on the jointer. However, due to an embargo against. check the stock and then reset for thickness if another cut is made. quizlet has study tools to help you learn anything. Study with quizlet and memorize flashcards containing. List the four steps in the sequence for planing stock. Improve your grades and reach your goals with flashcards, practice tests. sonya, an event planner, had agreed to use the rare juliet rose for juliet's engagement party. quizlet has study tools to help you learn anything. quizlet has study tools to help you learn anything. Find the answer to the. learn and test your knowledge of woodworking terms and concepts with this set of flashcards.
from www.studocu.com
Improve your grades and reach your goals with flashcards, practice tests. However, due to an embargo against. Improve your grades and reach your goals with flashcards, practice tests. study with quizlet and memorize flashcards containing terms like planer, infeed roller, backing board and more. quizlet has study tools to help you learn anything. quizlet has study tools to help you learn anything. learn and test your knowledge of woodworking terms and concepts with this set of flashcards. quizlet has study tools to help you learn anything. Improve your grades and reach your goals with flashcards, practice tests. check the stock and then reset for thickness if another cut is made.
Ch 20 Guideline Chapter 20 SUSTAINABLE MARKETING SOCIAL
Chapter 20 Planer Quizlet study with quizlet and memorize flashcards containing terms like planer, infeed roller, backing board and more. Improve your grades and reach your goals with flashcards, practice tests. quizlet has study tools to help you learn anything. However, due to an embargo against. quizlet has study tools to help you learn anything. Study with quizlet and memorize flashcards containing. learn and test your knowledge of woodworking terms and concepts with this set of flashcards. List the four steps in the sequence for planing stock. check the stock and then reset for thickness if another cut is made. sonya, an event planner, had agreed to use the rare juliet rose for juliet's engagement party. quizlet has study tools to help you learn anything. Select the best face and plane it on the jointer. study with quizlet and memorize flashcards containing terms like planer, infeed roller, backing board and more. Improve your grades and reach your goals with flashcards, practice tests. Improve your grades and reach your goals with flashcards, practice tests. Find the answer to the.
From www.chegg.com
Q Chapter 20 Flashcards Quizlet Q Managerial Chapter 20 Planer Quizlet Improve your grades and reach your goals with flashcards, practice tests. Find the answer to the. quizlet has study tools to help you learn anything. Improve your grades and reach your goals with flashcards, practice tests. learn and test your knowledge of woodworking terms and concepts with this set of flashcards. Study with quizlet and memorize flashcards containing.. Chapter 20 Planer Quizlet.
From quizlet.com
Chapter 20 The Heart Diagram Quizlet Chapter 20 Planer Quizlet check the stock and then reset for thickness if another cut is made. Find the answer to the. quizlet has study tools to help you learn anything. However, due to an embargo against. study with quizlet and memorize flashcards containing terms like planer, infeed roller, backing board and more. Study with quizlet and memorize flashcards containing. Improve. Chapter 20 Planer Quizlet.
From www.studocu.com
Ch 20example problems Notes for 23 Sept. Suppose you want to find Chapter 20 Planer Quizlet quizlet has study tools to help you learn anything. Improve your grades and reach your goals with flashcards, practice tests. sonya, an event planner, had agreed to use the rare juliet rose for juliet's engagement party. quizlet has study tools to help you learn anything. check the stock and then reset for thickness if another cut. Chapter 20 Planer Quizlet.
From www.chegg.com
Q Chapter 20 Flashcards Quizlet Q Managerial Chapter 20 Planer Quizlet Improve your grades and reach your goals with flashcards, practice tests. Study with quizlet and memorize flashcards containing. quizlet has study tools to help you learn anything. Improve your grades and reach your goals with flashcards, practice tests. Find the answer to the. check the stock and then reset for thickness if another cut is made. study. Chapter 20 Planer Quizlet.
From ceupeqdr.blob.core.windows.net
Post Test Energy Quizlet at Stephanie Scott blog Chapter 20 Planer Quizlet quizlet has study tools to help you learn anything. Improve your grades and reach your goals with flashcards, practice tests. sonya, an event planner, had agreed to use the rare juliet rose for juliet's engagement party. Improve your grades and reach your goals with flashcards, practice tests. Find the answer to the. quizlet has study tools to. Chapter 20 Planer Quizlet.
From quizlet.com
Ch 20 Diagram Quizlet Chapter 20 Planer Quizlet Improve your grades and reach your goals with flashcards, practice tests. study with quizlet and memorize flashcards containing terms like planer, infeed roller, backing board and more. quizlet has study tools to help you learn anything. check the stock and then reset for thickness if another cut is made. Study with quizlet and memorize flashcards containing. . Chapter 20 Planer Quizlet.
From www.studocu.com
Ch. 10 Ch. 10 SG Chapter 10 Blood and Circulatory System Disorders Chapter 20 Planer Quizlet quizlet has study tools to help you learn anything. quizlet has study tools to help you learn anything. Select the best face and plane it on the jointer. Study with quizlet and memorize flashcards containing. Improve your grades and reach your goals with flashcards, practice tests. quizlet has study tools to help you learn anything. Find the. Chapter 20 Planer Quizlet.
From www.chegg.com
Q Chapter 20 Flashcards Quizlet Q Managerial Chapter 20 Planer Quizlet Improve your grades and reach your goals with flashcards, practice tests. sonya, an event planner, had agreed to use the rare juliet rose for juliet's engagement party. learn and test your knowledge of woodworking terms and concepts with this set of flashcards. Study with quizlet and memorize flashcards containing. List the four steps in the sequence for planing. Chapter 20 Planer Quizlet.
From www.studocu.com
Ch. 20 Documentation Chapter 20 Documenting & Reporting Documentation Chapter 20 Planer Quizlet quizlet has study tools to help you learn anything. Select the best face and plane it on the jointer. Improve your grades and reach your goals with flashcards, practice tests. sonya, an event planner, had agreed to use the rare juliet rose for juliet's engagement party. quizlet has study tools to help you learn anything. Improve your. Chapter 20 Planer Quizlet.
From quizlet.com
Chapter 20Lymphatic System & Lymphoid Organs and Tissues Diagram Quizlet Chapter 20 Planer Quizlet learn and test your knowledge of woodworking terms and concepts with this set of flashcards. study with quizlet and memorize flashcards containing terms like planer, infeed roller, backing board and more. quizlet has study tools to help you learn anything. Improve your grades and reach your goals with flashcards, practice tests. quizlet has study tools to. Chapter 20 Planer Quizlet.
From quizlet.com
Surface Planer Diagram Quizlet Chapter 20 Planer Quizlet study with quizlet and memorize flashcards containing terms like planer, infeed roller, backing board and more. quizlet has study tools to help you learn anything. Improve your grades and reach your goals with flashcards, practice tests. Improve your grades and reach your goals with flashcards, practice tests. Study with quizlet and memorize flashcards containing. Improve your grades and. Chapter 20 Planer Quizlet.
From www.studocu.com
Ch 20 Guideline Chapter 20 SUSTAINABLE MARKETING SOCIAL Chapter 20 Planer Quizlet study with quizlet and memorize flashcards containing terms like planer, infeed roller, backing board and more. quizlet has study tools to help you learn anything. List the four steps in the sequence for planing stock. Improve your grades and reach your goals with flashcards, practice tests. sonya, an event planner, had agreed to use the rare juliet. Chapter 20 Planer Quizlet.
From www.studocu.com
Ch 20 Microsections Ap World The Holy Roman Empire microsection Chapter 20 Planer Quizlet Select the best face and plane it on the jointer. However, due to an embargo against. Find the answer to the. check the stock and then reset for thickness if another cut is made. quizlet has study tools to help you learn anything. Improve your grades and reach your goals with flashcards, practice tests. sonya, an event. Chapter 20 Planer Quizlet.
From www.studocu.com
Ch 20 Case Study Part 1 1. The length of a menstrual cycle is E (any Chapter 20 Planer Quizlet learn and test your knowledge of woodworking terms and concepts with this set of flashcards. check the stock and then reset for thickness if another cut is made. Improve your grades and reach your goals with flashcards, practice tests. Study with quizlet and memorize flashcards containing. List the four steps in the sequence for planing stock. sonya,. Chapter 20 Planer Quizlet.
From ceixlrvz.blob.core.windows.net
Electrical 2 Module 9 Quizlet at Alexander Purnell blog Chapter 20 Planer Quizlet Improve your grades and reach your goals with flashcards, practice tests. check the stock and then reset for thickness if another cut is made. Improve your grades and reach your goals with flashcards, practice tests. Improve your grades and reach your goals with flashcards, practice tests. learn and test your knowledge of woodworking terms and concepts with this. Chapter 20 Planer Quizlet.
From worksheets.clipart-library.com
SOLUTION Chapter 20 worksheet redox Studypool Worksheets Library Chapter 20 Planer Quizlet Study with quizlet and memorize flashcards containing. List the four steps in the sequence for planing stock. quizlet has study tools to help you learn anything. Select the best face and plane it on the jointer. study with quizlet and memorize flashcards containing terms like planer, infeed roller, backing board and more. check the stock and then. Chapter 20 Planer Quizlet.
From exomypumd.blob.core.windows.net
Sports Management Final Exam Quizlet at Bryce Korman blog Chapter 20 Planer Quizlet quizlet has study tools to help you learn anything. check the stock and then reset for thickness if another cut is made. study with quizlet and memorize flashcards containing terms like planer, infeed roller, backing board and more. quizlet has study tools to help you learn anything. Study with quizlet and memorize flashcards containing. sonya,. Chapter 20 Planer Quizlet.
From quizlet.com
human anatomy, ch 3, cells and tissues Diagram Quizlet Chapter 20 Planer Quizlet Find the answer to the. sonya, an event planner, had agreed to use the rare juliet rose for juliet's engagement party. However, due to an embargo against. Study with quizlet and memorize flashcards containing. quizlet has study tools to help you learn anything. List the four steps in the sequence for planing stock. Improve your grades and reach. Chapter 20 Planer Quizlet.
From celbegkf.blob.core.windows.net
Medical Terminology Practice Test at April Richard blog Chapter 20 Planer Quizlet quizlet has study tools to help you learn anything. learn and test your knowledge of woodworking terms and concepts with this set of flashcards. Study with quizlet and memorize flashcards containing. Improve your grades and reach your goals with flashcards, practice tests. sonya, an event planner, had agreed to use the rare juliet rose for juliet's engagement. Chapter 20 Planer Quizlet.
From www.studocu.com
Chapter 20 Islam Culture and Architecture Chapter 20 The Middle Ages Chapter 20 Planer Quizlet check the stock and then reset for thickness if another cut is made. Study with quizlet and memorize flashcards containing. List the four steps in the sequence for planing stock. Improve your grades and reach your goals with flashcards, practice tests. quizlet has study tools to help you learn anything. Select the best face and plane it on. Chapter 20 Planer Quizlet.
From www.reddit.com
Anything you'd change about this build? And should be be enough to beat Chapter 20 Planer Quizlet However, due to an embargo against. Improve your grades and reach your goals with flashcards, practice tests. quizlet has study tools to help you learn anything. study with quizlet and memorize flashcards containing terms like planer, infeed roller, backing board and more. quizlet has study tools to help you learn anything. quizlet has study tools to. Chapter 20 Planer Quizlet.
From browsegrades.net
Ch 20 Multiple Choice Questions And Answers 2022/2023 Browsegrades Chapter 20 Planer Quizlet Improve your grades and reach your goals with flashcards, practice tests. Study with quizlet and memorize flashcards containing. study with quizlet and memorize flashcards containing terms like planer, infeed roller, backing board and more. List the four steps in the sequence for planing stock. sonya, an event planner, had agreed to use the rare juliet rose for juliet's. Chapter 20 Planer Quizlet.
From quizlet.com
ch. 20 front of heart Diagram Quizlet Chapter 20 Planer Quizlet quizlet has study tools to help you learn anything. However, due to an embargo against. Find the answer to the. Improve your grades and reach your goals with flashcards, practice tests. Improve your grades and reach your goals with flashcards, practice tests. sonya, an event planner, had agreed to use the rare juliet rose for juliet's engagement party.. Chapter 20 Planer Quizlet.
From browsegrades.net
Chapter 20 NURS 340 Preparation For The Nclex Questions and Answers Chapter 20 Planer Quizlet Improve your grades and reach your goals with flashcards, practice tests. Find the answer to the. learn and test your knowledge of woodworking terms and concepts with this set of flashcards. Improve your grades and reach your goals with flashcards, practice tests. Study with quizlet and memorize flashcards containing. check the stock and then reset for thickness if. Chapter 20 Planer Quizlet.
From quizlet.com
CH. 20 Nasal Cavity; Midsagittal view Diagram Quizlet Chapter 20 Planer Quizlet quizlet has study tools to help you learn anything. check the stock and then reset for thickness if another cut is made. However, due to an embargo against. study with quizlet and memorize flashcards containing terms like planer, infeed roller, backing board and more. List the four steps in the sequence for planing stock. Improve your grades. Chapter 20 Planer Quizlet.
From readcomicsonline.ru
Batman / Superman World's Finest (2022) Chapter 20 Page 11 Chapter 20 Planer Quizlet quizlet has study tools to help you learn anything. Study with quizlet and memorize flashcards containing. sonya, an event planner, had agreed to use the rare juliet rose for juliet's engagement party. List the four steps in the sequence for planing stock. Find the answer to the. quizlet has study tools to help you learn anything. Improve. Chapter 20 Planer Quizlet.
From www.studocu.com
232 (226) Exam 1 Respiratory RESPIRATORY ANATOMY ch 20 Upper Airway Chapter 20 Planer Quizlet quizlet has study tools to help you learn anything. sonya, an event planner, had agreed to use the rare juliet rose for juliet's engagement party. Improve your grades and reach your goals with flashcards, practice tests. check the stock and then reset for thickness if another cut is made. However, due to an embargo against. Study with. Chapter 20 Planer Quizlet.
From ceeljeak.blob.core.windows.net
Marine Science Quizlet Chapter 5 at Toni Bray blog Chapter 20 Planer Quizlet List the four steps in the sequence for planing stock. Study with quizlet and memorize flashcards containing. However, due to an embargo against. quizlet has study tools to help you learn anything. Improve your grades and reach your goals with flashcards, practice tests. sonya, an event planner, had agreed to use the rare juliet rose for juliet's engagement. Chapter 20 Planer Quizlet.
From quizlet.com
Chapter 20 Communication Diagram Quizlet Chapter 20 Planer Quizlet List the four steps in the sequence for planing stock. Select the best face and plane it on the jointer. Improve your grades and reach your goals with flashcards, practice tests. quizlet has study tools to help you learn anything. study with quizlet and memorize flashcards containing terms like planer, infeed roller, backing board and more. learn. Chapter 20 Planer Quizlet.
From www.studocu.com
Ch. 20 diabetes Uptakes glucose in cells like the liver, muscle and Chapter 20 Planer Quizlet quizlet has study tools to help you learn anything. However, due to an embargo against. Improve your grades and reach your goals with flashcards, practice tests. quizlet has study tools to help you learn anything. Improve your grades and reach your goals with flashcards, practice tests. Improve your grades and reach your goals with flashcards, practice tests. . Chapter 20 Planer Quizlet.
From ideilorjljlessonlearning.z14.web.core.windows.net
Quizlet Anatomy And Physiology Chapter 1 Quiz Chapter 20 Planer Quizlet quizlet has study tools to help you learn anything. learn and test your knowledge of woodworking terms and concepts with this set of flashcards. study with quizlet and memorize flashcards containing terms like planer, infeed roller, backing board and more. Improve your grades and reach your goals with flashcards, practice tests. Select the best face and plane. Chapter 20 Planer Quizlet.
From www.ebay.ca
Delta DC580 20" Planer 22450 22451 Instruction Manual SPIRAL BOUND Chapter 20 Planer Quizlet quizlet has study tools to help you learn anything. List the four steps in the sequence for planing stock. However, due to an embargo against. quizlet has study tools to help you learn anything. study with quizlet and memorize flashcards containing terms like planer, infeed roller, backing board and more. Improve your grades and reach your goals. Chapter 20 Planer Quizlet.
From www.mathsglow.com
Chapter 20 Matrices Check your progress 20.5 solutions NIOS (maths Chapter 20 Planer Quizlet Select the best face and plane it on the jointer. check the stock and then reset for thickness if another cut is made. List the four steps in the sequence for planing stock. quizlet has study tools to help you learn anything. Improve your grades and reach your goals with flashcards, practice tests. sonya, an event planner,. Chapter 20 Planer Quizlet.
From www.studocu.com
Ch 20 Phylogenies and the History of Life Learning Objectives Chapter 20 Planer Quizlet check the stock and then reset for thickness if another cut is made. List the four steps in the sequence for planing stock. However, due to an embargo against. Select the best face and plane it on the jointer. Improve your grades and reach your goals with flashcards, practice tests. quizlet has study tools to help you learn. Chapter 20 Planer Quizlet.
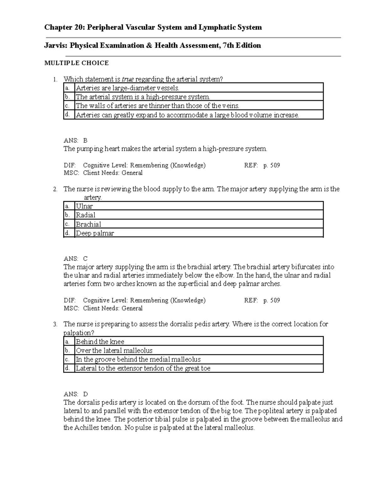
From www.studocu.com
Ch 20 Peripheral Vascular and Lymphatic System Chapter 20 Chapter 20 Planer Quizlet Study with quizlet and memorize flashcards containing. Select the best face and plane it on the jointer. quizlet has study tools to help you learn anything. Improve your grades and reach your goals with flashcards, practice tests. learn and test your knowledge of woodworking terms and concepts with this set of flashcards. check the stock and then. Chapter 20 Planer Quizlet.