Hkdse Math Curriculum . Please click here for the notes on changes to. Comparison of the content of the revised mathematics curriculum and current mathematics curriculum The development of the revised mathematics curriculum is based on the curriculum aims of. Its development is built on the direction set out in the. The mathematics curriculum comprises a compulsory part and extended part. The assessment frameworks of a number of subjects have been revised for the 2024 hkdse. Students may choose to take either the compulsory part only. Review and revise the mathematics curriculum from primary 1 to secondary 6.
from www.ctep.com.hk
The assessment frameworks of a number of subjects have been revised for the 2024 hkdse. The development of the revised mathematics curriculum is based on the curriculum aims of. Review and revise the mathematics curriculum from primary 1 to secondary 6. Students may choose to take either the compulsory part only. Please click here for the notes on changes to. Its development is built on the direction set out in the. Comparison of the content of the revised mathematics curriculum and current mathematics curriculum The mathematics curriculum comprises a compulsory part and extended part.
Score High in HKDSE Mathematics
Hkdse Math Curriculum Review and revise the mathematics curriculum from primary 1 to secondary 6. The mathematics curriculum comprises a compulsory part and extended part. Its development is built on the direction set out in the. Comparison of the content of the revised mathematics curriculum and current mathematics curriculum Please click here for the notes on changes to. The development of the revised mathematics curriculum is based on the curriculum aims of. Review and revise the mathematics curriculum from primary 1 to secondary 6. Students may choose to take either the compulsory part only. The assessment frameworks of a number of subjects have been revised for the 2024 hkdse.
From www.carousell.com.hk
HKDSE Mathematics in Action (Extended Part) Module 2 (Algebra and Hkdse Math Curriculum The assessment frameworks of a number of subjects have been revised for the 2024 hkdse. Students may choose to take either the compulsory part only. The mathematics curriculum comprises a compulsory part and extended part. Comparison of the content of the revised mathematics curriculum and current mathematics curriculum Its development is built on the direction set out in the. Please. Hkdse Math Curriculum.
From studylib.net
2018 HKDSE Mathematics Assessment Framework Hkdse Math Curriculum Comparison of the content of the revised mathematics curriculum and current mathematics curriculum The assessment frameworks of a number of subjects have been revised for the 2024 hkdse. The mathematics curriculum comprises a compulsory part and extended part. Its development is built on the direction set out in the. Students may choose to take either the compulsory part only. The. Hkdse Math Curriculum.
From pdfhost.io
HKDSE Maths Paper 1 by topic 1980 2020 PDF Host Hkdse Math Curriculum Review and revise the mathematics curriculum from primary 1 to secondary 6. The development of the revised mathematics curriculum is based on the curriculum aims of. The mathematics curriculum comprises a compulsory part and extended part. The assessment frameworks of a number of subjects have been revised for the 2024 hkdse. Please click here for the notes on changes to.. Hkdse Math Curriculum.
From www.mybookone.com.hk
[HKDSE Mathematics in Action (Extended Part) Module 2 (Algebra and Hkdse Math Curriculum The development of the revised mathematics curriculum is based on the curriculum aims of. Its development is built on the direction set out in the. Students may choose to take either the compulsory part only. Comparison of the content of the revised mathematics curriculum and current mathematics curriculum Please click here for the notes on changes to. The assessment frameworks. Hkdse Math Curriculum.
From www.youtube.com
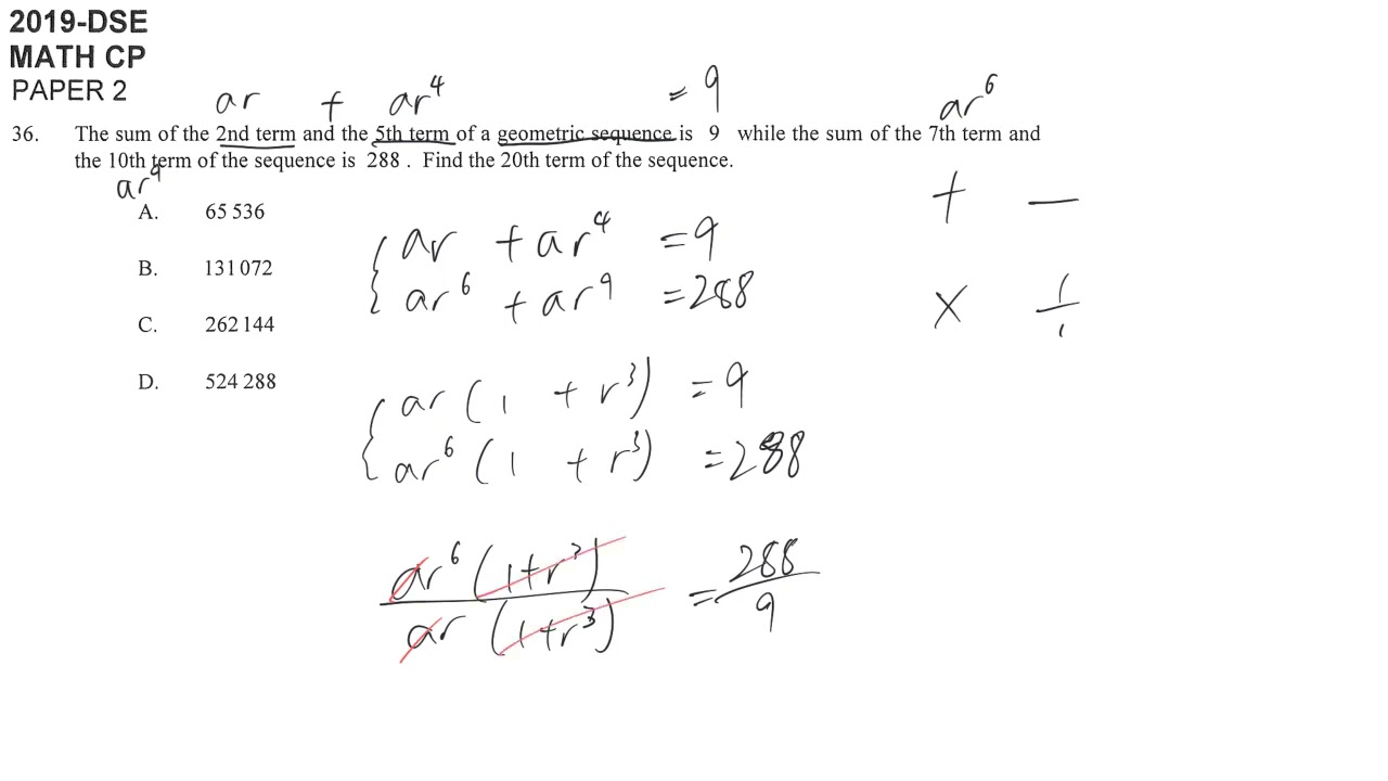
HKDSE Maths Paper 2 2019 36 AS and GS YouTube Hkdse Math Curriculum Please click here for the notes on changes to. Comparison of the content of the revised mathematics curriculum and current mathematics curriculum Review and revise the mathematics curriculum from primary 1 to secondary 6. The development of the revised mathematics curriculum is based on the curriculum aims of. The mathematics curriculum comprises a compulsory part and extended part. The assessment. Hkdse Math Curriculum.
From www.shop-constructive.com
HKDSE Maths in Action(EXTENDED) M2 V1(2019 Edition) Hkdse Math Curriculum Comparison of the content of the revised mathematics curriculum and current mathematics curriculum The assessment frameworks of a number of subjects have been revised for the 2024 hkdse. The mathematics curriculum comprises a compulsory part and extended part. The development of the revised mathematics curriculum is based on the curriculum aims of. Students may choose to take either the compulsory. Hkdse Math Curriculum.
From shop.ephmall.com
EPHmallConcise Revision for HKDSE Mathematics (Junior Secondary Level Hkdse Math Curriculum Review and revise the mathematics curriculum from primary 1 to secondary 6. The assessment frameworks of a number of subjects have been revised for the 2024 hkdse. Comparison of the content of the revised mathematics curriculum and current mathematics curriculum Please click here for the notes on changes to. Its development is built on the direction set out in the.. Hkdse Math Curriculum.
From apkcombo.com
HKDSE Maths MC revision 香港中學文憑 數學 選擇題 APK (Android App) 免费下载 Hkdse Math Curriculum Its development is built on the direction set out in the. The development of the revised mathematics curriculum is based on the curriculum aims of. The mathematics curriculum comprises a compulsory part and extended part. Students may choose to take either the compulsory part only. Review and revise the mathematics curriculum from primary 1 to secondary 6. Comparison of the. Hkdse Math Curriculum.
From www.ctep.com.hk
Score High in HKDSE Mathematics Hkdse Math Curriculum The development of the revised mathematics curriculum is based on the curriculum aims of. Please click here for the notes on changes to. Students may choose to take either the compulsory part only. Comparison of the content of the revised mathematics curriculum and current mathematics curriculum The mathematics curriculum comprises a compulsory part and extended part. Its development is built. Hkdse Math Curriculum.
From www.carousell.com.hk
Hkdse exam series integrated exam revision exercises for mathematics Hkdse Math Curriculum Comparison of the content of the revised mathematics curriculum and current mathematics curriculum Please click here for the notes on changes to. The mathematics curriculum comprises a compulsory part and extended part. Review and revise the mathematics curriculum from primary 1 to secondary 6. Students may choose to take either the compulsory part only. The assessment frameworks of a number. Hkdse Math Curriculum.
From www.carousell.com.hk
2023數學DSE|Excellence in HKDSE Mathematics/Skillful Formula for HKDSE Hkdse Math Curriculum Review and revise the mathematics curriculum from primary 1 to secondary 6. The assessment frameworks of a number of subjects have been revised for the 2024 hkdse. The development of the revised mathematics curriculum is based on the curriculum aims of. Comparison of the content of the revised mathematics curriculum and current mathematics curriculum Please click here for the notes. Hkdse Math Curriculum.
From studylib.net
HKDSE Mathematics Examination Ata Hkdse Math Curriculum The assessment frameworks of a number of subjects have been revised for the 2024 hkdse. The mathematics curriculum comprises a compulsory part and extended part. Its development is built on the direction set out in the. Please click here for the notes on changes to. Review and revise the mathematics curriculum from primary 1 to secondary 6. Comparison of the. Hkdse Math Curriculum.
From www.ctep.com.hk
Score High in HKDSE Mathematics Hkdse Math Curriculum Students may choose to take either the compulsory part only. Comparison of the content of the revised mathematics curriculum and current mathematics curriculum Please click here for the notes on changes to. Its development is built on the direction set out in the. The development of the revised mathematics curriculum is based on the curriculum aims of. The mathematics curriculum. Hkdse Math Curriculum.
From www.hkbuas.edu.hk
Mathematics Hong Kong Baptist University Affiliated School Wong Kam Hkdse Math Curriculum The assessment frameworks of a number of subjects have been revised for the 2024 hkdse. The mathematics curriculum comprises a compulsory part and extended part. Its development is built on the direction set out in the. Comparison of the content of the revised mathematics curriculum and current mathematics curriculum Students may choose to take either the compulsory part only. The. Hkdse Math Curriculum.
From www.carousell.com.hk
Skillful Formula for HKDSE Mathematics Compulsory Part, 興趣及遊戲, 書本 & 文具 Hkdse Math Curriculum The mathematics curriculum comprises a compulsory part and extended part. Its development is built on the direction set out in the. Review and revise the mathematics curriculum from primary 1 to secondary 6. Comparison of the content of the revised mathematics curriculum and current mathematics curriculum Students may choose to take either the compulsory part only. The development of the. Hkdse Math Curriculum.
From www.ctep.com.hk
Score High in HKDSE Mathematics Hkdse Math Curriculum Its development is built on the direction set out in the. The mathematics curriculum comprises a compulsory part and extended part. Please click here for the notes on changes to. Comparison of the content of the revised mathematics curriculum and current mathematics curriculum Review and revise the mathematics curriculum from primary 1 to secondary 6. The development of the revised. Hkdse Math Curriculum.
From www.carousell.com.hk
數學練習 高中 DSE (有詳細答案 ) HKDSE MATHEMATICS ALLINONE *產品描述詳情如下, 興趣及遊戲, 書本 Hkdse Math Curriculum Comparison of the content of the revised mathematics curriculum and current mathematics curriculum The assessment frameworks of a number of subjects have been revised for the 2024 hkdse. Its development is built on the direction set out in the. The mathematics curriculum comprises a compulsory part and extended part. Students may choose to take either the compulsory part only. The. Hkdse Math Curriculum.
From www.aspireeducation.hk
2018 DSE MATH PAPER 1 & 2 數學卷一LQ / 數學卷二MC答案 PAPER I II Suggested Ans Hkdse Math Curriculum Comparison of the content of the revised mathematics curriculum and current mathematics curriculum The mathematics curriculum comprises a compulsory part and extended part. The assessment frameworks of a number of subjects have been revised for the 2024 hkdse. Students may choose to take either the compulsory part only. Review and revise the mathematics curriculum from primary 1 to secondary 6.. Hkdse Math Curriculum.
From www.scribd.com
2015 Hkdse Maths CP p2 (Eng) PDF Hkdse Math Curriculum The mathematics curriculum comprises a compulsory part and extended part. Its development is built on the direction set out in the. Comparison of the content of the revised mathematics curriculum and current mathematics curriculum The assessment frameworks of a number of subjects have been revised for the 2024 hkdse. Please click here for the notes on changes to. Students may. Hkdse Math Curriculum.
From www.notesity.hk
Skillful Formula for HKDSE Mathematics NoteSity Hkdse Math Curriculum The development of the revised mathematics curriculum is based on the curriculum aims of. The assessment frameworks of a number of subjects have been revised for the 2024 hkdse. Comparison of the content of the revised mathematics curriculum and current mathematics curriculum Its development is built on the direction set out in the. Students may choose to take either the. Hkdse Math Curriculum.
From www.visionhk.com.hk
Breakthrough Diploma Mathematics for HKDSE (Extended Part) Module 2 Hkdse Math Curriculum Students may choose to take either the compulsory part only. Comparison of the content of the revised mathematics curriculum and current mathematics curriculum The mathematics curriculum comprises a compulsory part and extended part. Review and revise the mathematics curriculum from primary 1 to secondary 6. Please click here for the notes on changes to. Its development is built on the. Hkdse Math Curriculum.
From www.studocu.com
Hkdse 2019 Mathematics (CP) Paper 1 Hukukun temel kavramlari Usak Hkdse Math Curriculum Review and revise the mathematics curriculum from primary 1 to secondary 6. Comparison of the content of the revised mathematics curriculum and current mathematics curriculum Students may choose to take either the compulsory part only. Please click here for the notes on changes to. Its development is built on the direction set out in the. The mathematics curriculum comprises a. Hkdse Math Curriculum.
From www.ctep.com.hk
Score High in HKDSE Mathematics Hkdse Math Curriculum Its development is built on the direction set out in the. Review and revise the mathematics curriculum from primary 1 to secondary 6. The mathematics curriculum comprises a compulsory part and extended part. Please click here for the notes on changes to. Students may choose to take either the compulsory part only. The assessment frameworks of a number of subjects. Hkdse Math Curriculum.
From www.ctep.com.hk
Score High in HKDSE Mathematics Hkdse Math Curriculum Review and revise the mathematics curriculum from primary 1 to secondary 6. The assessment frameworks of a number of subjects have been revised for the 2024 hkdse. Comparison of the content of the revised mathematics curriculum and current mathematics curriculum The mathematics curriculum comprises a compulsory part and extended part. Students may choose to take either the compulsory part only.. Hkdse Math Curriculum.
From www.carousell.com.hk
HKDSE Exam Series Mathematis Mock Gram Papers Part) 2021/22 Hkdse Math Curriculum Its development is built on the direction set out in the. The mathematics curriculum comprises a compulsory part and extended part. The assessment frameworks of a number of subjects have been revised for the 2024 hkdse. Comparison of the content of the revised mathematics curriculum and current mathematics curriculum The development of the revised mathematics curriculum is based on the. Hkdse Math Curriculum.
From www.aristo.com.hk
HKDSE MATHS INSIGHT 香港中學文憑 數學透視 Hkdse Math Curriculum Review and revise the mathematics curriculum from primary 1 to secondary 6. Please click here for the notes on changes to. Comparison of the content of the revised mathematics curriculum and current mathematics curriculum The mathematics curriculum comprises a compulsory part and extended part. The assessment frameworks of a number of subjects have been revised for the 2024 hkdse. The. Hkdse Math Curriculum.
From www.visionhk.com.hk
Breakthrough Diploma Mathematics for HKDSE Part) Multiple Hkdse Math Curriculum Students may choose to take either the compulsory part only. Please click here for the notes on changes to. Its development is built on the direction set out in the. The development of the revised mathematics curriculum is based on the curriculum aims of. The assessment frameworks of a number of subjects have been revised for the 2024 hkdse. The. Hkdse Math Curriculum.
From pdfslide.net
(PDF) Exam Tips for Candidates on HKDSE Hkdse Math Curriculum Please click here for the notes on changes to. The development of the revised mathematics curriculum is based on the curriculum aims of. Students may choose to take either the compulsory part only. The mathematics curriculum comprises a compulsory part and extended part. The assessment frameworks of a number of subjects have been revised for the 2024 hkdse. Comparison of. Hkdse Math Curriculum.
From www.carousell.com.hk
數學Math DSE HKDSE Exam Series Mathematics Multiplechoice Questions, 興趣及 Hkdse Math Curriculum The mathematics curriculum comprises a compulsory part and extended part. Its development is built on the direction set out in the. The development of the revised mathematics curriculum is based on the curriculum aims of. Students may choose to take either the compulsory part only. The assessment frameworks of a number of subjects have been revised for the 2024 hkdse.. Hkdse Math Curriculum.
From www.bookdaddy.hk
商品介紹 Hkdse Math Curriculum Its development is built on the direction set out in the. Review and revise the mathematics curriculum from primary 1 to secondary 6. The development of the revised mathematics curriculum is based on the curriculum aims of. The assessment frameworks of a number of subjects have been revised for the 2024 hkdse. Please click here for the notes on changes. Hkdse Math Curriculum.
From www.notesity.hk
Path to Stars For HKDSE Mathematics NoteSity Hkdse Math Curriculum Comparison of the content of the revised mathematics curriculum and current mathematics curriculum The development of the revised mathematics curriculum is based on the curriculum aims of. Review and revise the mathematics curriculum from primary 1 to secondary 6. The assessment frameworks of a number of subjects have been revised for the 2024 hkdse. Its development is built on the. Hkdse Math Curriculum.
From www.visionhk.com.hk
Breakthrough Diploma Mathematics for HKDSE (Extended Part) Module 2 Hkdse Math Curriculum The mathematics curriculum comprises a compulsory part and extended part. Comparison of the content of the revised mathematics curriculum and current mathematics curriculum Review and revise the mathematics curriculum from primary 1 to secondary 6. Please click here for the notes on changes to. The development of the revised mathematics curriculum is based on the curriculum aims of. The assessment. Hkdse Math Curriculum.
From shop.datamaths.com.hk
Mathematics Today for HKDSE Senior Secondary Multiple Choice Hkdse Math Curriculum Please click here for the notes on changes to. The assessment frameworks of a number of subjects have been revised for the 2024 hkdse. Review and revise the mathematics curriculum from primary 1 to secondary 6. Its development is built on the direction set out in the. Comparison of the content of the revised mathematics curriculum and current mathematics curriculum. Hkdse Math Curriculum.
From www.carousell.com.hk
Mathematics Today for HKDSE Multiple Choice Practice (HKDSE Paper 2 Hkdse Math Curriculum Please click here for the notes on changes to. The development of the revised mathematics curriculum is based on the curriculum aims of. Its development is built on the direction set out in the. Students may choose to take either the compulsory part only. Review and revise the mathematics curriculum from primary 1 to secondary 6. The assessment frameworks of. Hkdse Math Curriculum.
From www.youtube.com
HKDSE Maths Paper 1 2020 19 3D trigonometry YouTube Hkdse Math Curriculum The mathematics curriculum comprises a compulsory part and extended part. The assessment frameworks of a number of subjects have been revised for the 2024 hkdse. Students may choose to take either the compulsory part only. Please click here for the notes on changes to. Review and revise the mathematics curriculum from primary 1 to secondary 6. Comparison of the content. Hkdse Math Curriculum.