Dilute Glucose Solution . Solutions of known concentration can be prepared either by dissolving a known mass of solute in a solvent and diluting to a desired final volume or. Calculate the number of moles of glucose contained in the indicated volume of dilute solution by multiplying the volume of the. Serial dilutions are created by taking a series of dilutions of a stock solution. Take 1 part of your stock solution and add 9 parts of solvent (usually water but sometimes alcohol or other organic solvent). To work out how much glucose you need to make a solution of a given percent, multiply (mass/volume) by volume, bearing in mind that 1 g in 100 ml is a 1 percent. We can take advantage of dilution to make solutions of any desired concentration when we start with a more concentrated solution. The solute concentration of a solution may be decreased by adding solvent, a process referred to as dilution. Dilution is the process where the concentration of a solution is reduced by adding solvent. Consider, for instance, a chemical stockroom that contains a. The dilution equation is a simple relation between. Both solutions contain the same mass of copper nitrate. Make a 1:10 dilution (say this as “a one in ten dilution”). The concentration decreases by the same quantity.
from ar.inspiredpencil.com
Solutions of known concentration can be prepared either by dissolving a known mass of solute in a solvent and diluting to a desired final volume or. Serial dilutions are created by taking a series of dilutions of a stock solution. Consider, for instance, a chemical stockroom that contains a. Take 1 part of your stock solution and add 9 parts of solvent (usually water but sometimes alcohol or other organic solvent). The concentration decreases by the same quantity. Calculate the number of moles of glucose contained in the indicated volume of dilute solution by multiplying the volume of the. Make a 1:10 dilution (say this as “a one in ten dilution”). To work out how much glucose you need to make a solution of a given percent, multiply (mass/volume) by volume, bearing in mind that 1 g in 100 ml is a 1 percent. Dilution is the process where the concentration of a solution is reduced by adding solvent. Both solutions contain the same mass of copper nitrate.
Dilute Solution Diagram
Dilute Glucose Solution Both solutions contain the same mass of copper nitrate. Solutions of known concentration can be prepared either by dissolving a known mass of solute in a solvent and diluting to a desired final volume or. The solute concentration of a solution may be decreased by adding solvent, a process referred to as dilution. We can take advantage of dilution to make solutions of any desired concentration when we start with a more concentrated solution. Calculate the number of moles of glucose contained in the indicated volume of dilute solution by multiplying the volume of the. The dilution equation is a simple relation between. Take 1 part of your stock solution and add 9 parts of solvent (usually water but sometimes alcohol or other organic solvent). Both solutions contain the same mass of copper nitrate. Serial dilutions are created by taking a series of dilutions of a stock solution. Make a 1:10 dilution (say this as “a one in ten dilution”). Dilution is the process where the concentration of a solution is reduced by adding solvent. Consider, for instance, a chemical stockroom that contains a. To work out how much glucose you need to make a solution of a given percent, multiply (mass/volume) by volume, bearing in mind that 1 g in 100 ml is a 1 percent. The concentration decreases by the same quantity.
From www.toppr.com
Hydrolysis of sucrose with dilute acid yields an equimolar mixture of D Dilute Glucose Solution Solutions of known concentration can be prepared either by dissolving a known mass of solute in a solvent and diluting to a desired final volume or. We can take advantage of dilution to make solutions of any desired concentration when we start with a more concentrated solution. The concentration decreases by the same quantity. Both solutions contain the same mass. Dilute Glucose Solution.
From ar.inspiredpencil.com
Dilute Solution Diagram Dilute Glucose Solution The solute concentration of a solution may be decreased by adding solvent, a process referred to as dilution. Solutions of known concentration can be prepared either by dissolving a known mass of solute in a solvent and diluting to a desired final volume or. The concentration decreases by the same quantity. Both solutions contain the same mass of copper nitrate.. Dilute Glucose Solution.
From www.chegg.com
Solved Glucose (molar mass=180.16 g/mol) is a simple, Dilute Glucose Solution Consider, for instance, a chemical stockroom that contains a. Serial dilutions are created by taking a series of dilutions of a stock solution. Solutions of known concentration can be prepared either by dissolving a known mass of solute in a solvent and diluting to a desired final volume or. Dilution is the process where the concentration of a solution is. Dilute Glucose Solution.
From www.chegg.com
Solved Dilute the unknown glucose sample by adding 20 uL to Dilute Glucose Solution Serial dilutions are created by taking a series of dilutions of a stock solution. The concentration decreases by the same quantity. Take 1 part of your stock solution and add 9 parts of solvent (usually water but sometimes alcohol or other organic solvent). Solutions of known concentration can be prepared either by dissolving a known mass of solute in a. Dilute Glucose Solution.
From askfilo.com
Relative lowering of vapour pressure of a dilute solution of glucose dis.. Dilute Glucose Solution Solutions of known concentration can be prepared either by dissolving a known mass of solute in a solvent and diluting to a desired final volume or. To work out how much glucose you need to make a solution of a given percent, multiply (mass/volume) by volume, bearing in mind that 1 g in 100 ml is a 1 percent. Take. Dilute Glucose Solution.
From www.shutterstock.com
Ilustración del producto químico. La solubilidad vector de stock Dilute Glucose Solution Both solutions contain the same mass of copper nitrate. Consider, for instance, a chemical stockroom that contains a. The concentration decreases by the same quantity. We can take advantage of dilution to make solutions of any desired concentration when we start with a more concentrated solution. Solutions of known concentration can be prepared either by dissolving a known mass of. Dilute Glucose Solution.
From slideplayer.com
Lesson Overview 7.3 Cell Transport. ppt download Dilute Glucose Solution The concentration decreases by the same quantity. Consider, for instance, a chemical stockroom that contains a. Solutions of known concentration can be prepared either by dissolving a known mass of solute in a solvent and diluting to a desired final volume or. Both solutions contain the same mass of copper nitrate. Make a 1:10 dilution (say this as “a one. Dilute Glucose Solution.
From www.researchgate.net
Illustration of dilution of sugar/salt in the aqueous solution (a) and Dilute Glucose Solution Solutions of known concentration can be prepared either by dissolving a known mass of solute in a solvent and diluting to a desired final volume or. The dilution equation is a simple relation between. To work out how much glucose you need to make a solution of a given percent, multiply (mass/volume) by volume, bearing in mind that 1 g. Dilute Glucose Solution.
From www.semanticscholar.org
Figure 1 from Determination of the Volumetric Properties of Dilute D Dilute Glucose Solution The concentration decreases by the same quantity. Calculate the number of moles of glucose contained in the indicated volume of dilute solution by multiplying the volume of the. Serial dilutions are created by taking a series of dilutions of a stock solution. Both solutions contain the same mass of copper nitrate. Make a 1:10 dilution (say this as “a one. Dilute Glucose Solution.
From www.numerade.com
SOLVEDVapour pressure of dilute aqueous solution of glucose is 750 mm Dilute Glucose Solution Dilution is the process where the concentration of a solution is reduced by adding solvent. The dilution equation is a simple relation between. Take 1 part of your stock solution and add 9 parts of solvent (usually water but sometimes alcohol or other organic solvent). Both solutions contain the same mass of copper nitrate. Solutions of known concentration can be. Dilute Glucose Solution.
From ar.inspiredpencil.com
Dilute Solution Diagram Dilute Glucose Solution The concentration decreases by the same quantity. Calculate the number of moles of glucose contained in the indicated volume of dilute solution by multiplying the volume of the. The solute concentration of a solution may be decreased by adding solvent, a process referred to as dilution. The dilution equation is a simple relation between. Consider, for instance, a chemical stockroom. Dilute Glucose Solution.
From www.chegg.com
Solved Problem 8 Consider a dilute solution of glucose in Dilute Glucose Solution We can take advantage of dilution to make solutions of any desired concentration when we start with a more concentrated solution. Both solutions contain the same mass of copper nitrate. Solutions of known concentration can be prepared either by dissolving a known mass of solute in a solvent and diluting to a desired final volume or. Dilution is the process. Dilute Glucose Solution.
From www.toppr.com
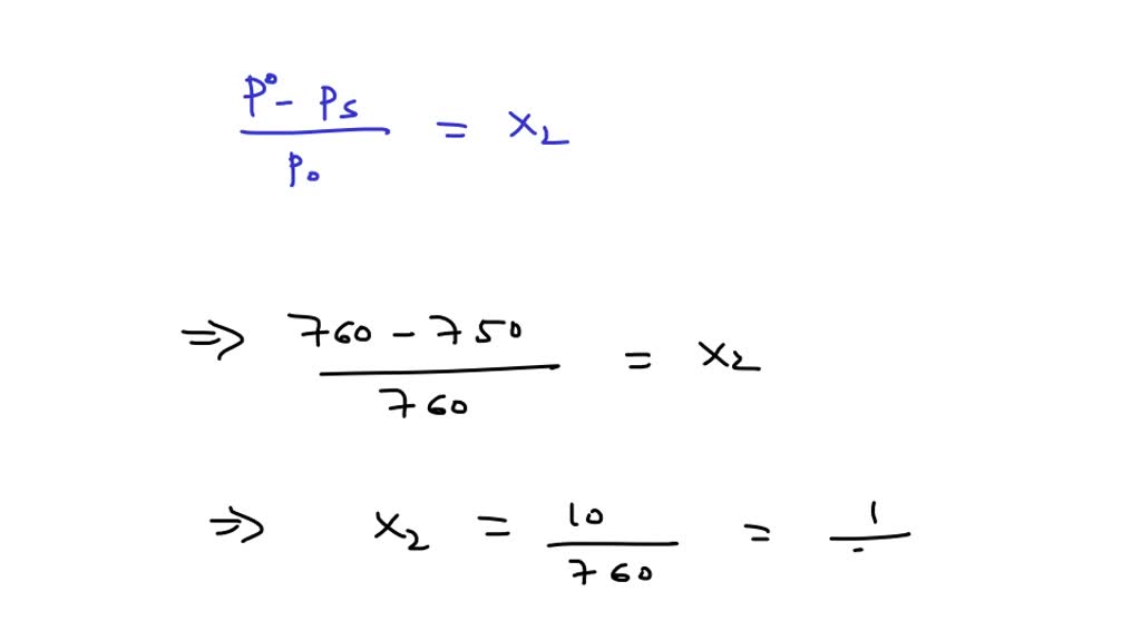
The vapour pressure of a dilute aqueous solution of glucose is 750 mm Dilute Glucose Solution Both solutions contain the same mass of copper nitrate. Solutions of known concentration can be prepared either by dissolving a known mass of solute in a solvent and diluting to a desired final volume or. We can take advantage of dilution to make solutions of any desired concentration when we start with a more concentrated solution. To work out how. Dilute Glucose Solution.
From chem.libretexts.org
14.7 Solution Dilution Chemistry LibreTexts Dilute Glucose Solution Take 1 part of your stock solution and add 9 parts of solvent (usually water but sometimes alcohol or other organic solvent). To work out how much glucose you need to make a solution of a given percent, multiply (mass/volume) by volume, bearing in mind that 1 g in 100 ml is a 1 percent. We can take advantage of. Dilute Glucose Solution.
From www.researchgate.net
(PDF) Determination of the Volumetric Properties of Dilute DGlucose Dilute Glucose Solution Calculate the number of moles of glucose contained in the indicated volume of dilute solution by multiplying the volume of the. The concentration decreases by the same quantity. To work out how much glucose you need to make a solution of a given percent, multiply (mass/volume) by volume, bearing in mind that 1 g in 100 ml is a 1. Dilute Glucose Solution.
From letstalkscience.ca
Osmosis and Its Role in Human Biology and Health Let's Talk Science Dilute Glucose Solution Both solutions contain the same mass of copper nitrate. Make a 1:10 dilution (say this as “a one in ten dilution”). Take 1 part of your stock solution and add 9 parts of solvent (usually water but sometimes alcohol or other organic solvent). Solutions of known concentration can be prepared either by dissolving a known mass of solute in a. Dilute Glucose Solution.
From www.chegg.com
Solved Problem 8 Consider a dilute solution of glucose in Dilute Glucose Solution To work out how much glucose you need to make a solution of a given percent, multiply (mass/volume) by volume, bearing in mind that 1 g in 100 ml is a 1 percent. The solute concentration of a solution may be decreased by adding solvent, a process referred to as dilution. The dilution equation is a simple relation between. Take. Dilute Glucose Solution.
From www.youtube.com
TYPES OF SOLUTION,Dilution of Solution,Concentrated,Dilute solutions Dilute Glucose Solution Both solutions contain the same mass of copper nitrate. Solutions of known concentration can be prepared either by dissolving a known mass of solute in a solvent and diluting to a desired final volume or. We can take advantage of dilution to make solutions of any desired concentration when we start with a more concentrated solution. The dilution equation is. Dilute Glucose Solution.
From www.numerade.com
SOLVED The vapour pressure of a dilute aqueous solution of glucose is Dilute Glucose Solution The concentration decreases by the same quantity. Take 1 part of your stock solution and add 9 parts of solvent (usually water but sometimes alcohol or other organic solvent). Both solutions contain the same mass of copper nitrate. The solute concentration of a solution may be decreased by adding solvent, a process referred to as dilution. We can take advantage. Dilute Glucose Solution.
From www.toppr.com
Vapour pressure of dilute aqueous solution of glucose is 750 mm of Dilute Glucose Solution We can take advantage of dilution to make solutions of any desired concentration when we start with a more concentrated solution. Serial dilutions are created by taking a series of dilutions of a stock solution. Solutions of known concentration can be prepared either by dissolving a known mass of solute in a solvent and diluting to a desired final volume. Dilute Glucose Solution.
From www.youtube.com
What is Dilute Solution? Chemistry YouTube Dilute Glucose Solution We can take advantage of dilution to make solutions of any desired concentration when we start with a more concentrated solution. Both solutions contain the same mass of copper nitrate. Dilution is the process where the concentration of a solution is reduced by adding solvent. The solute concentration of a solution may be decreased by adding solvent, a process referred. Dilute Glucose Solution.
From www.numerade.com
Sucrose (C12 H22 O11), commonly known as table sugar, reacts in dilute Dilute Glucose Solution Calculate the number of moles of glucose contained in the indicated volume of dilute solution by multiplying the volume of the. Both solutions contain the same mass of copper nitrate. Serial dilutions are created by taking a series of dilutions of a stock solution. Dilution is the process where the concentration of a solution is reduced by adding solvent. Make. Dilute Glucose Solution.
From www.numerade.com
SOLVED A dilute sugar solution is an example of a A) compound B Dilute Glucose Solution Take 1 part of your stock solution and add 9 parts of solvent (usually water but sometimes alcohol or other organic solvent). Both solutions contain the same mass of copper nitrate. Solutions of known concentration can be prepared either by dissolving a known mass of solute in a solvent and diluting to a desired final volume or. The dilution equation. Dilute Glucose Solution.
From www.yaclass.in
Types of solutions Concentrated and dilute solutions — lesson. Science Dilute Glucose Solution Dilution is the process where the concentration of a solution is reduced by adding solvent. Take 1 part of your stock solution and add 9 parts of solvent (usually water but sometimes alcohol or other organic solvent). Serial dilutions are created by taking a series of dilutions of a stock solution. Make a 1:10 dilution (say this as “a one. Dilute Glucose Solution.
From www.youtube.com
Serial Dilution Method Protocol Step Wise Explanation YouTube Dilute Glucose Solution Both solutions contain the same mass of copper nitrate. Solutions of known concentration can be prepared either by dissolving a known mass of solute in a solvent and diluting to a desired final volume or. To work out how much glucose you need to make a solution of a given percent, multiply (mass/volume) by volume, bearing in mind that 1. Dilute Glucose Solution.
From www.toppr.com
Vapour pressure of dilute aqueous solution of glucose is 750 mm of Dilute Glucose Solution To work out how much glucose you need to make a solution of a given percent, multiply (mass/volume) by volume, bearing in mind that 1 g in 100 ml is a 1 percent. Both solutions contain the same mass of copper nitrate. We can take advantage of dilution to make solutions of any desired concentration when we start with a. Dilute Glucose Solution.
From www.chegg.com
Solved The following diagrams represent a solution of NaCl, Dilute Glucose Solution Serial dilutions are created by taking a series of dilutions of a stock solution. To work out how much glucose you need to make a solution of a given percent, multiply (mass/volume) by volume, bearing in mind that 1 g in 100 ml is a 1 percent. Dilution is the process where the concentration of a solution is reduced by. Dilute Glucose Solution.
From askfilo.com
The vapour pressure of dilute aqueous solution of glucose is 750 mm of Hg.. Dilute Glucose Solution Dilution is the process where the concentration of a solution is reduced by adding solvent. Solutions of known concentration can be prepared either by dissolving a known mass of solute in a solvent and diluting to a desired final volume or. Calculate the number of moles of glucose contained in the indicated volume of dilute solution by multiplying the volume. Dilute Glucose Solution.
From www.slideshare.net
(B) Diffusion And Osmosis Dilute Glucose Solution Solutions of known concentration can be prepared either by dissolving a known mass of solute in a solvent and diluting to a desired final volume or. Serial dilutions are created by taking a series of dilutions of a stock solution. Take 1 part of your stock solution and add 9 parts of solvent (usually water but sometimes alcohol or other. Dilute Glucose Solution.
From www.slideshare.net
Chemistry Chp 16 Solutions PowerPoint (shortened) Dilute Glucose Solution Serial dilutions are created by taking a series of dilutions of a stock solution. Dilution is the process where the concentration of a solution is reduced by adding solvent. The dilution equation is a simple relation between. The solute concentration of a solution may be decreased by adding solvent, a process referred to as dilution. Take 1 part of your. Dilute Glucose Solution.
From byjus.com
The reaction of dilute HCl with Maltose gives Dilute Glucose Solution The dilution equation is a simple relation between. Solutions of known concentration can be prepared either by dissolving a known mass of solute in a solvent and diluting to a desired final volume or. We can take advantage of dilution to make solutions of any desired concentration when we start with a more concentrated solution. Serial dilutions are created by. Dilute Glucose Solution.
From www.youtube.com
Aqueous, Dilute And Concentrated Solution, General Science Lecture Dilute Glucose Solution Serial dilutions are created by taking a series of dilutions of a stock solution. The dilution equation is a simple relation between. Make a 1:10 dilution (say this as “a one in ten dilution”). Consider, for instance, a chemical stockroom that contains a. The solute concentration of a solution may be decreased by adding solvent, a process referred to as. Dilute Glucose Solution.
From stock.adobe.com
Chemical illustration. The solubility of sugar and water. Sugar is the Dilute Glucose Solution Make a 1:10 dilution (say this as “a one in ten dilution”). Calculate the number of moles of glucose contained in the indicated volume of dilute solution by multiplying the volume of the. Solutions of known concentration can be prepared either by dissolving a known mass of solute in a solvent and diluting to a desired final volume or. Dilution. Dilute Glucose Solution.
From www.expii.com
Dilution of Solutions — Overview & Examples Expii Dilute Glucose Solution To work out how much glucose you need to make a solution of a given percent, multiply (mass/volume) by volume, bearing in mind that 1 g in 100 ml is a 1 percent. Take 1 part of your stock solution and add 9 parts of solvent (usually water but sometimes alcohol or other organic solvent). Serial dilutions are created by. Dilute Glucose Solution.
From www.toppr.com
The vapour pressure of a dilute aqueous solution of glucose is 750 mm Dilute Glucose Solution Consider, for instance, a chemical stockroom that contains a. Solutions of known concentration can be prepared either by dissolving a known mass of solute in a solvent and diluting to a desired final volume or. Dilution is the process where the concentration of a solution is reduced by adding solvent. Calculate the number of moles of glucose contained in the. Dilute Glucose Solution.