Corn Earworm Threshold Calculator . In general, 2 corn earworm larvae per head would warrant. North carolina state university also has an economic threshold calculator to help growers decide whether or not they should treat their soybeans based on current input prices and grain prices. Corn earworm threshold calculator for soybeans. Calculator to estimate treatment thresholds for corn earwrom in soybeans. The economic threshold for corn earworm in sweet corn is 0.2 moths per night, and. Thresholds vary by the size and species of larvae and sorghum value. An online calculator for determining the threshold level in podding soybeans can be found by clicking the following link: An online calculator for determining the threshold level in podding soybeans can be found by clicking the following link: Defoliation threshold (any insect or group of insects) — 30% foliage loss up to two weeks prior to blooming or 15% foliage loss from two weeks prior to flowering and until pods have filled. Corn earworm threshold calculator for soybeans. Use the calculator below to estimate an economic injury level for corn earworm in soybean. Corn earworm economic threshold calculator.
from bonnieplants.com
North carolina state university also has an economic threshold calculator to help growers decide whether or not they should treat their soybeans based on current input prices and grain prices. Corn earworm economic threshold calculator. In general, 2 corn earworm larvae per head would warrant. Defoliation threshold (any insect or group of insects) — 30% foliage loss up to two weeks prior to blooming or 15% foliage loss from two weeks prior to flowering and until pods have filled. Calculator to estimate treatment thresholds for corn earwrom in soybeans. Thresholds vary by the size and species of larvae and sorghum value. An online calculator for determining the threshold level in podding soybeans can be found by clicking the following link: Corn earworm threshold calculator for soybeans. Use the calculator below to estimate an economic injury level for corn earworm in soybean. Corn earworm threshold calculator for soybeans.
Corn Earworm Control Bonnie Plants
Corn Earworm Threshold Calculator Corn earworm threshold calculator for soybeans. Corn earworm threshold calculator for soybeans. In general, 2 corn earworm larvae per head would warrant. Use the calculator below to estimate an economic injury level for corn earworm in soybean. Corn earworm threshold calculator for soybeans. The economic threshold for corn earworm in sweet corn is 0.2 moths per night, and. An online calculator for determining the threshold level in podding soybeans can be found by clicking the following link: Thresholds vary by the size and species of larvae and sorghum value. Calculator to estimate treatment thresholds for corn earwrom in soybeans. An online calculator for determining the threshold level in podding soybeans can be found by clicking the following link: Defoliation threshold (any insect or group of insects) — 30% foliage loss up to two weeks prior to blooming or 15% foliage loss from two weeks prior to flowering and until pods have filled. Corn earworm economic threshold calculator. North carolina state university also has an economic threshold calculator to help growers decide whether or not they should treat their soybeans based on current input prices and grain prices.
From www.thespruce.com
Corn Earworm Identification, Overview, and Garden Control Corn Earworm Threshold Calculator Corn earworm threshold calculator for soybeans. The economic threshold for corn earworm in sweet corn is 0.2 moths per night, and. An online calculator for determining the threshold level in podding soybeans can be found by clicking the following link: North carolina state university also has an economic threshold calculator to help growers decide whether or not they should treat. Corn Earworm Threshold Calculator.
From www.researchgate.net
Simple interval mapping of log of the odds (LOD) scores associated with Corn Earworm Threshold Calculator The economic threshold for corn earworm in sweet corn is 0.2 moths per night, and. Corn earworm economic threshold calculator. An online calculator for determining the threshold level in podding soybeans can be found by clicking the following link: An online calculator for determining the threshold level in podding soybeans can be found by clicking the following link: North carolina. Corn Earworm Threshold Calculator.
From blog.umd.edu
Corn Earworm numbers on the rise.. Maryland Fruit & Vegetable Farm Blog Corn Earworm Threshold Calculator Calculator to estimate treatment thresholds for corn earwrom in soybeans. Thresholds vary by the size and species of larvae and sorghum value. In general, 2 corn earworm larvae per head would warrant. Corn earworm threshold calculator for soybeans. Use the calculator below to estimate an economic injury level for corn earworm in soybean. The economic threshold for corn earworm in. Corn Earworm Threshold Calculator.
From www.researchgate.net
Frequency distribution of number of maggots per corn earworm when 10 Corn Earworm Threshold Calculator Calculator to estimate treatment thresholds for corn earwrom in soybeans. Thresholds vary by the size and species of larvae and sorghum value. Corn earworm threshold calculator for soybeans. Defoliation threshold (any insect or group of insects) — 30% foliage loss up to two weeks prior to blooming or 15% foliage loss from two weeks prior to flowering and until pods. Corn Earworm Threshold Calculator.
From www.researchgate.net
Percentage of plant infested with corn borer and earworm and population Corn Earworm Threshold Calculator Corn earworm economic threshold calculator. Defoliation threshold (any insect or group of insects) — 30% foliage loss up to two weeks prior to blooming or 15% foliage loss from two weeks prior to flowering and until pods have filled. An online calculator for determining the threshold level in podding soybeans can be found by clicking the following link: North carolina. Corn Earworm Threshold Calculator.
From agsci.colostate.edu
Industrial Hemp Pests Agricultural Biology Corn Earworm Threshold Calculator Defoliation threshold (any insect or group of insects) — 30% foliage loss up to two weeks prior to blooming or 15% foliage loss from two weeks prior to flowering and until pods have filled. In general, 2 corn earworm larvae per head would warrant. The economic threshold for corn earworm in sweet corn is 0.2 moths per night, and. Use. Corn Earworm Threshold Calculator.
From luv2garden.com
Identification and Control of the Corn Earworm Corn Earworm Threshold Calculator Use the calculator below to estimate an economic injury level for corn earworm in soybean. North carolina state university also has an economic threshold calculator to help growers decide whether or not they should treat their soybeans based on current input prices and grain prices. Calculator to estimate treatment thresholds for corn earwrom in soybeans. Corn earworm threshold calculator for. Corn Earworm Threshold Calculator.
From bonnieplants.com
Corn Earworm Control Bonnie Plants Corn Earworm Threshold Calculator Corn earworm threshold calculator for soybeans. An online calculator for determining the threshold level in podding soybeans can be found by clicking the following link: Corn earworm economic threshold calculator. The economic threshold for corn earworm in sweet corn is 0.2 moths per night, and. North carolina state university also has an economic threshold calculator to help growers decide whether. Corn Earworm Threshold Calculator.
From www.mississippi-crops.com
Caterpillars Infesting Mississippi Field Corn Mississippi Crop Situation Corn Earworm Threshold Calculator An online calculator for determining the threshold level in podding soybeans can be found by clicking the following link: The economic threshold for corn earworm in sweet corn is 0.2 moths per night, and. Calculator to estimate treatment thresholds for corn earwrom in soybeans. In general, 2 corn earworm larvae per head would warrant. Corn earworm threshold calculator for soybeans.. Corn Earworm Threshold Calculator.
From www.researchgate.net
Percentage of plants infested with corn earworm, Helicoverpa armigera 1 Corn Earworm Threshold Calculator Corn earworm threshold calculator for soybeans. An online calculator for determining the threshold level in podding soybeans can be found by clicking the following link: Calculator to estimate treatment thresholds for corn earwrom in soybeans. An online calculator for determining the threshold level in podding soybeans can be found by clicking the following link: North carolina state university also has. Corn Earworm Threshold Calculator.
From blog.pestprophet.com
How to Use the Corn Earworm Growing Degree Day Model Pest Prophet Blog Corn Earworm Threshold Calculator Defoliation threshold (any insect or group of insects) — 30% foliage loss up to two weeks prior to blooming or 15% foliage loss from two weeks prior to flowering and until pods have filled. Calculator to estimate treatment thresholds for corn earwrom in soybeans. Corn earworm economic threshold calculator. Thresholds vary by the size and species of larvae and sorghum. Corn Earworm Threshold Calculator.
From www.pioneer.com
Corn Earworm Pioneer® Seeds Corn Earworm Threshold Calculator Calculator to estimate treatment thresholds for corn earwrom in soybeans. Defoliation threshold (any insect or group of insects) — 30% foliage loss up to two weeks prior to blooming or 15% foliage loss from two weeks prior to flowering and until pods have filled. Corn earworm threshold calculator for soybeans. The economic threshold for corn earworm in sweet corn is. Corn Earworm Threshold Calculator.
From u.osu.edu
Corn Earworm Flight Numbers Spike Fruit, Vegetable, & Specialty Crop News Corn Earworm Threshold Calculator Thresholds vary by the size and species of larvae and sorghum value. Defoliation threshold (any insect or group of insects) — 30% foliage loss up to two weeks prior to blooming or 15% foliage loss from two weeks prior to flowering and until pods have filled. The economic threshold for corn earworm in sweet corn is 0.2 moths per night,. Corn Earworm Threshold Calculator.
From www.semanticscholar.org
Table 2.1 from An evaluation of corn earworm damage and thresholds in Corn Earworm Threshold Calculator Corn earworm threshold calculator for soybeans. In general, 2 corn earworm larvae per head would warrant. North carolina state university also has an economic threshold calculator to help growers decide whether or not they should treat their soybeans based on current input prices and grain prices. An online calculator for determining the threshold level in podding soybeans can be found. Corn Earworm Threshold Calculator.
From www.semanticscholar.org
Figure 3.1 from An evaluation of corn earworm damage and thresholds in Corn Earworm Threshold Calculator Defoliation threshold (any insect or group of insects) — 30% foliage loss up to two weeks prior to blooming or 15% foliage loss from two weeks prior to flowering and until pods have filled. Calculator to estimate treatment thresholds for corn earwrom in soybeans. An online calculator for determining the threshold level in podding soybeans can be found by clicking. Corn Earworm Threshold Calculator.
From www.sciencephoto.com
Corn earworm Stock Image F032/0029 Science Photo Library Corn Earworm Threshold Calculator Use the calculator below to estimate an economic injury level for corn earworm in soybean. Thresholds vary by the size and species of larvae and sorghum value. An online calculator for determining the threshold level in podding soybeans can be found by clicking the following link: Corn earworm threshold calculator for soybeans. The economic threshold for corn earworm in sweet. Corn Earworm Threshold Calculator.
From agsci.colostate.edu
Corn earworm Agricultural Biology Corn Earworm Threshold Calculator Defoliation threshold (any insect or group of insects) — 30% foliage loss up to two weeks prior to blooming or 15% foliage loss from two weeks prior to flowering and until pods have filled. The economic threshold for corn earworm in sweet corn is 0.2 moths per night, and. Corn earworm economic threshold calculator. Use the calculator below to estimate. Corn Earworm Threshold Calculator.
From www.semanticscholar.org
Figure 1 from Sequential sampling plan for corn earworm, Helicoverpa Corn Earworm Threshold Calculator Use the calculator below to estimate an economic injury level for corn earworm in soybean. An online calculator for determining the threshold level in podding soybeans can be found by clicking the following link: Corn earworm threshold calculator for soybeans. Corn earworm economic threshold calculator. Thresholds vary by the size and species of larvae and sorghum value. Defoliation threshold (any. Corn Earworm Threshold Calculator.
From extension.entm.purdue.edu
Know Your Worms in the Ear Purdue University Pest&Crop newsletter Corn Earworm Threshold Calculator Corn earworm threshold calculator for soybeans. In general, 2 corn earworm larvae per head would warrant. Thresholds vary by the size and species of larvae and sorghum value. An online calculator for determining the threshold level in podding soybeans can be found by clicking the following link: Corn earworm threshold calculator for soybeans. Corn earworm economic threshold calculator. Use the. Corn Earworm Threshold Calculator.
From www.researchgate.net
Timing of the earliest detection of corn earworm in Pennsylvania Corn Earworm Threshold Calculator Defoliation threshold (any insect or group of insects) — 30% foliage loss up to two weeks prior to blooming or 15% foliage loss from two weeks prior to flowering and until pods have filled. The economic threshold for corn earworm in sweet corn is 0.2 moths per night, and. Corn earworm threshold calculator for soybeans. Corn earworm threshold calculator for. Corn Earworm Threshold Calculator.
From www.uidaho.edu
Corn Earworm Integrated Pest Management UI Extension Corn Earworm Threshold Calculator Corn earworm economic threshold calculator. Corn earworm threshold calculator for soybeans. North carolina state university also has an economic threshold calculator to help growers decide whether or not they should treat their soybeans based on current input prices and grain prices. Thresholds vary by the size and species of larvae and sorghum value. In general, 2 corn earworm larvae per. Corn Earworm Threshold Calculator.
From agsci-labs.oregonstate.edu
Corn earworm population dynamics « Corn Earworm Threshold Calculator Thresholds vary by the size and species of larvae and sorghum value. In general, 2 corn earworm larvae per head would warrant. Corn earworm economic threshold calculator. Use the calculator below to estimate an economic injury level for corn earworm in soybean. An online calculator for determining the threshold level in podding soybeans can be found by clicking the following. Corn Earworm Threshold Calculator.
From www.sciencephoto.com
Corn earworm Stock Image B265/0071 Science Photo Library Corn Earworm Threshold Calculator An online calculator for determining the threshold level in podding soybeans can be found by clicking the following link: North carolina state university also has an economic threshold calculator to help growers decide whether or not they should treat their soybeans based on current input prices and grain prices. Corn earworm threshold calculator for soybeans. The economic threshold for corn. Corn Earworm Threshold Calculator.
From guide.utcrops.com
Corn Earworm UT Crops Pest Guides Corn Earworm Threshold Calculator Calculator to estimate treatment thresholds for corn earwrom in soybeans. An online calculator for determining the threshold level in podding soybeans can be found by clicking the following link: North carolina state university also has an economic threshold calculator to help growers decide whether or not they should treat their soybeans based on current input prices and grain prices. Corn. Corn Earworm Threshold Calculator.
From extension.umd.edu
Corn Earworm on Vegetables University of Maryland Extension Corn Earworm Threshold Calculator An online calculator for determining the threshold level in podding soybeans can be found by clicking the following link: In general, 2 corn earworm larvae per head would warrant. An online calculator for determining the threshold level in podding soybeans can be found by clicking the following link: Defoliation threshold (any insect or group of insects) — 30% foliage loss. Corn Earworm Threshold Calculator.
From www.seedtospoon.net
Garden Pests How to Manage Corn Earworms in Your Garden From Seed to Corn Earworm Threshold Calculator In general, 2 corn earworm larvae per head would warrant. North carolina state university also has an economic threshold calculator to help growers decide whether or not they should treat their soybeans based on current input prices and grain prices. The economic threshold for corn earworm in sweet corn is 0.2 moths per night, and. Use the calculator below to. Corn Earworm Threshold Calculator.
From agsci-labs.oregonstate.edu
Corn earworm population dynamics « Corn Earworm Threshold Calculator In general, 2 corn earworm larvae per head would warrant. Calculator to estimate treatment thresholds for corn earwrom in soybeans. An online calculator for determining the threshold level in podding soybeans can be found by clicking the following link: An online calculator for determining the threshold level in podding soybeans can be found by clicking the following link: Corn earworm. Corn Earworm Threshold Calculator.
From bugwiz.com
How to Get Rid of Corn Earworms Naturally (Guide) BugWiz Corn Earworm Threshold Calculator Corn earworm threshold calculator for soybeans. In general, 2 corn earworm larvae per head would warrant. Defoliation threshold (any insect or group of insects) — 30% foliage loss up to two weeks prior to blooming or 15% foliage loss from two weeks prior to flowering and until pods have filled. An online calculator for determining the threshold level in podding. Corn Earworm Threshold Calculator.
From www.cropscience.bayer.us
Corn Earworm in Corn Crop Science US Corn Earworm Threshold Calculator Thresholds vary by the size and species of larvae and sorghum value. Defoliation threshold (any insect or group of insects) — 30% foliage loss up to two weeks prior to blooming or 15% foliage loss from two weeks prior to flowering and until pods have filled. In general, 2 corn earworm larvae per head would warrant. An online calculator for. Corn Earworm Threshold Calculator.
From www.researchgate.net
Mean feeding duration (days) ± SEM for corn earworm (CEW) and fall Corn Earworm Threshold Calculator Use the calculator below to estimate an economic injury level for corn earworm in soybean. An online calculator for determining the threshold level in podding soybeans can be found by clicking the following link: In general, 2 corn earworm larvae per head would warrant. Calculator to estimate treatment thresholds for corn earwrom in soybeans. Thresholds vary by the size and. Corn Earworm Threshold Calculator.
From www.thespruce.com
Corn Earworm Identification, Overview, and Garden Control Corn Earworm Threshold Calculator Defoliation threshold (any insect or group of insects) — 30% foliage loss up to two weeks prior to blooming or 15% foliage loss from two weeks prior to flowering and until pods have filled. In general, 2 corn earworm larvae per head would warrant. An online calculator for determining the threshold level in podding soybeans can be found by clicking. Corn Earworm Threshold Calculator.
From agsci.oregonstate.edu
Corn Earworm College of Agricultural Sciences Corn Earworm Threshold Calculator Corn earworm threshold calculator for soybeans. Defoliation threshold (any insect or group of insects) — 30% foliage loss up to two weeks prior to blooming or 15% foliage loss from two weeks prior to flowering and until pods have filled. Thresholds vary by the size and species of larvae and sorghum value. An online calculator for determining the threshold level. Corn Earworm Threshold Calculator.
From www.semanticscholar.org
Table I from BREEDING SWEET CORN RESISTANT TO THE CORN EARWORM Corn Earworm Threshold Calculator Use the calculator below to estimate an economic injury level for corn earworm in soybean. In general, 2 corn earworm larvae per head would warrant. Thresholds vary by the size and species of larvae and sorghum value. Corn earworm economic threshold calculator. Corn earworm threshold calculator for soybeans. An online calculator for determining the threshold level in podding soybeans can. Corn Earworm Threshold Calculator.
From soybeans.ces.ncsu.edu
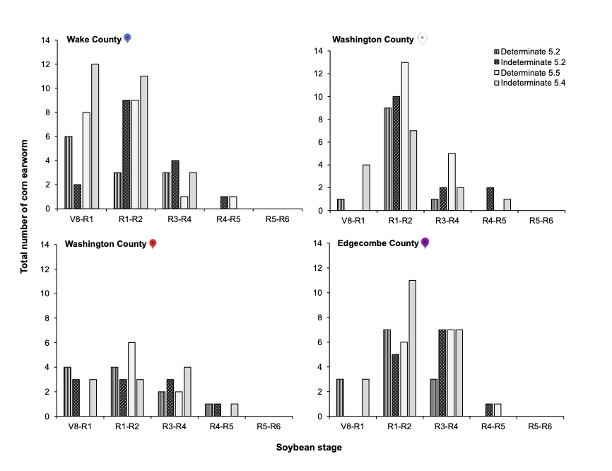
Should You Control Corn Earworm Differently in Soybean With Corn Earworm Threshold Calculator An online calculator for determining the threshold level in podding soybeans can be found by clicking the following link: North carolina state university also has an economic threshold calculator to help growers decide whether or not they should treat their soybeans based on current input prices and grain prices. Thresholds vary by the size and species of larvae and sorghum. Corn Earworm Threshold Calculator.
From www.semanticscholar.org
Table 3.1 from An evaluation of corn earworm damage and thresholds in Corn Earworm Threshold Calculator North carolina state university also has an economic threshold calculator to help growers decide whether or not they should treat their soybeans based on current input prices and grain prices. An online calculator for determining the threshold level in podding soybeans can be found by clicking the following link: In general, 2 corn earworm larvae per head would warrant. Corn. Corn Earworm Threshold Calculator.