Boring Bar Deflection . deflection of the boring bar. The size of the boring bar's deflection is dependent on the bar material, the diameter, the overhang and size of the radial and tangential cutting forces. typically, up to l/d= 4, a standard steel boring bar works just fine. calculating boring bar deflection, provides a means for analyzing a boring bar’s performance characteristics, prior to. calculate the deflection of a boring bar with precision using the engineering calculator on widia's website. Boring bar deflection can be calculated, but such calculations are beyond our intended scope here. the following equation is used to calculate deflection (y) of a boring bar: Up to l/d=6, a carbide boring bar gives good. boring bar deflection: In addition to an overview of cutting tools, safety and precautions, information. F is the cutting force,. detailed information on identification / boring bar ansi designation chart. This is a beam with a. Y = fl 3 /3ei (1) where. A boring bar’s deflection is similar to that of a cantilever beam.
from mungfali.com
calculate the deflection of a boring bar with precision using the engineering calculator on widia's website. Boring bar deflection can be calculated, but such calculations are beyond our intended scope here. The size of the boring bar's deflection is dependent on the bar material, the diameter, the overhang and size of the radial and tangential cutting forces. typically, up to l/d= 4, a standard steel boring bar works just fine. Up to l/d=6, a carbide boring bar gives good. deflection of the boring bar. This is a beam with a. the following equation is used to calculate deflection (y) of a boring bar: boring bar deflection: detailed information on identification / boring bar ansi designation chart.
Beam Deflection Chart
Boring Bar Deflection The size of the boring bar's deflection is dependent on the bar material, the diameter, the overhang and size of the radial and tangential cutting forces. Boring bar deflection can be calculated, but such calculations are beyond our intended scope here. The size of the boring bar's deflection is dependent on the bar material, the diameter, the overhang and size of the radial and tangential cutting forces. Y = fl 3 /3ei (1) where. deflection of the boring bar. In addition to an overview of cutting tools, safety and precautions, information. detailed information on identification / boring bar ansi designation chart. the following equation is used to calculate deflection (y) of a boring bar: typically, up to l/d= 4, a standard steel boring bar works just fine. calculate the deflection of a boring bar with precision using the engineering calculator on widia's website. boring bar deflection: calculating boring bar deflection, provides a means for analyzing a boring bar’s performance characteristics, prior to. A boring bar’s deflection is similar to that of a cantilever beam. F is the cutting force,. Up to l/d=6, a carbide boring bar gives good. This is a beam with a.
From www.autodesk.com
What's the difference between bar deflection and bar displacement in Boring Bar Deflection boring bar deflection: calculate the deflection of a boring bar with precision using the engineering calculator on widia's website. deflection of the boring bar. In addition to an overview of cutting tools, safety and precautions, information. Y = fl 3 /3ei (1) where. This is a beam with a. the following equation is used to calculate. Boring Bar Deflection.
From www.myxxgirl.com
What Is The Formula Of A Deflection Cantilever Beam Point Bending My Boring Bar Deflection Y = fl 3 /3ei (1) where. A boring bar’s deflection is similar to that of a cantilever beam. boring bar deflection: detailed information on identification / boring bar ansi designation chart. the following equation is used to calculate deflection (y) of a boring bar: typically, up to l/d= 4, a standard steel boring bar works. Boring Bar Deflection.
From www.youtube.com
Deflection of Conical bar due to self weight YouTube Boring Bar Deflection the following equation is used to calculate deflection (y) of a boring bar: The size of the boring bar's deflection is dependent on the bar material, the diameter, the overhang and size of the radial and tangential cutting forces. calculate the deflection of a boring bar with precision using the engineering calculator on widia's website. In addition to. Boring Bar Deflection.
From www.mscdirect.com
Widia Indexable Boring Bar CSBI18050055L, 0.204" Min Bore Dia, Left Boring Bar Deflection F is the cutting force,. The size of the boring bar's deflection is dependent on the bar material, the diameter, the overhang and size of the radial and tangential cutting forces. In addition to an overview of cutting tools, safety and precautions, information. A boring bar’s deflection is similar to that of a cantilever beam. deflection of the boring. Boring Bar Deflection.
From exoynlofq.blob.core.windows.net
Aluminium Beam Deflection Calculator at Cameron Blake blog Boring Bar Deflection detailed information on identification / boring bar ansi designation chart. Y = fl 3 /3ei (1) where. The size of the boring bar's deflection is dependent on the bar material, the diameter, the overhang and size of the radial and tangential cutting forces. boring bar deflection: calculating boring bar deflection, provides a means for analyzing a boring. Boring Bar Deflection.
From www.researchgate.net
Deflection of the boring bar without damper (above) and with damper Boring Bar Deflection F is the cutting force,. boring bar deflection: calculating boring bar deflection, provides a means for analyzing a boring bar’s performance characteristics, prior to. Up to l/d=6, a carbide boring bar gives good. In addition to an overview of cutting tools, safety and precautions, information. Y = fl 3 /3ei (1) where. This is a beam with a.. Boring Bar Deflection.
From forums.autodesk.com
Solved Bar deflection results problem Autodesk Community Boring Bar Deflection In addition to an overview of cutting tools, safety and precautions, information. detailed information on identification / boring bar ansi designation chart. typically, up to l/d= 4, a standard steel boring bar works just fine. This is a beam with a. Y = fl 3 /3ei (1) where. calculating boring bar deflection, provides a means for analyzing. Boring Bar Deflection.
From www.thefocusenterprise.com
BORING BAR Focus Enterprise Ahmedabad Boring Bar Deflection typically, up to l/d= 4, a standard steel boring bar works just fine. detailed information on identification / boring bar ansi designation chart. In addition to an overview of cutting tools, safety and precautions, information. The size of the boring bar's deflection is dependent on the bar material, the diameter, the overhang and size of the radial and. Boring Bar Deflection.
From dxoodbytk.blob.core.windows.net
Steel Beam Deflection Criteria at Maria Labrie blog Boring Bar Deflection Y = fl 3 /3ei (1) where. Boring bar deflection can be calculated, but such calculations are beyond our intended scope here. typically, up to l/d= 4, a standard steel boring bar works just fine. This is a beam with a. The size of the boring bar's deflection is dependent on the bar material, the diameter, the overhang and. Boring Bar Deflection.
From www.climaxportable.com
BB5000 Line Boring Machine Climax Portable Boring Bar Deflection This is a beam with a. The size of the boring bar's deflection is dependent on the bar material, the diameter, the overhang and size of the radial and tangential cutting forces. A boring bar’s deflection is similar to that of a cantilever beam. Boring bar deflection can be calculated, but such calculations are beyond our intended scope here. Y. Boring Bar Deflection.
From mungfali.com
Beam Deflection Chart Boring Bar Deflection The size of the boring bar's deflection is dependent on the bar material, the diameter, the overhang and size of the radial and tangential cutting forces. calculating boring bar deflection, provides a means for analyzing a boring bar’s performance characteristics, prior to. In addition to an overview of cutting tools, safety and precautions, information. Y = fl 3 /3ei. Boring Bar Deflection.
From www.kennametal.com
Turning Calculators Boring Bar Deflection Y = fl 3 /3ei (1) where. Up to l/d=6, a carbide boring bar gives good. Boring bar deflection can be calculated, but such calculations are beyond our intended scope here. detailed information on identification / boring bar ansi designation chart. deflection of the boring bar. the following equation is used to calculate deflection (y) of a. Boring Bar Deflection.
From mechanicsujudovb.z14.web.core.windows.net
Displacement Of A Cantilever Beam Boring Bar Deflection F is the cutting force,. In addition to an overview of cutting tools, safety and precautions, information. Y = fl 3 /3ei (1) where. typically, up to l/d= 4, a standard steel boring bar works just fine. The size of the boring bar's deflection is dependent on the bar material, the diameter, the overhang and size of the radial. Boring Bar Deflection.
From www.youtube.com
Homemade Boring Bar YouTube Boring Bar Deflection The size of the boring bar's deflection is dependent on the bar material, the diameter, the overhang and size of the radial and tangential cutting forces. F is the cutting force,. typically, up to l/d= 4, a standard steel boring bar works just fine. detailed information on identification / boring bar ansi designation chart. boring bar deflection:. Boring Bar Deflection.
From issuu.com
Setting Up Different Types Of Boring Bars by Issuu Boring Bar Deflection typically, up to l/d= 4, a standard steel boring bar works just fine. calculate the deflection of a boring bar with precision using the engineering calculator on widia's website. This is a beam with a. the following equation is used to calculate deflection (y) of a boring bar: Y = fl 3 /3ei (1) where. In addition. Boring Bar Deflection.
From www.aliexpress.com
CNC external turning tools with deflection angle of 95 degrees WWLNR/L Boring Bar Deflection Y = fl 3 /3ei (1) where. Boring bar deflection can be calculated, but such calculations are beyond our intended scope here. In addition to an overview of cutting tools, safety and precautions, information. deflection of the boring bar. calculating boring bar deflection, provides a means for analyzing a boring bar’s performance characteristics, prior to. boring bar. Boring Bar Deflection.
From www.youtube.com
Poreba Lathe Boring Bar Deflection YouTube Boring Bar Deflection calculating boring bar deflection, provides a means for analyzing a boring bar’s performance characteristics, prior to. A boring bar’s deflection is similar to that of a cantilever beam. Y = fl 3 /3ei (1) where. This is a beam with a. detailed information on identification / boring bar ansi designation chart. deflection of the boring bar. Up. Boring Bar Deflection.
From exoynlofq.blob.core.windows.net
Aluminium Beam Deflection Calculator at Cameron Blake blog Boring Bar Deflection Y = fl 3 /3ei (1) where. A boring bar’s deflection is similar to that of a cantilever beam. Up to l/d=6, a carbide boring bar gives good. F is the cutting force,. calculating boring bar deflection, provides a means for analyzing a boring bar’s performance characteristics, prior to. boring bar deflection: Boring bar deflection can be calculated,. Boring Bar Deflection.
From www.kennametal.com
车削计算器 Boring Bar Deflection Up to l/d=6, a carbide boring bar gives good. The size of the boring bar's deflection is dependent on the bar material, the diameter, the overhang and size of the radial and tangential cutting forces. deflection of the boring bar. F is the cutting force,. the following equation is used to calculate deflection (y) of a boring bar:. Boring Bar Deflection.
From dxoodbytk.blob.core.windows.net
Steel Beam Deflection Criteria at Maria Labrie blog Boring Bar Deflection calculating boring bar deflection, provides a means for analyzing a boring bar’s performance characteristics, prior to. boring bar deflection: the following equation is used to calculate deflection (y) of a boring bar: F is the cutting force,. Y = fl 3 /3ei (1) where. detailed information on identification / boring bar ansi designation chart. calculate. Boring Bar Deflection.
From dxoodbytk.blob.core.windows.net
Steel Beam Deflection Criteria at Maria Labrie blog Boring Bar Deflection In addition to an overview of cutting tools, safety and precautions, information. Y = fl 3 /3ei (1) where. A boring bar’s deflection is similar to that of a cantilever beam. F is the cutting force,. The size of the boring bar's deflection is dependent on the bar material, the diameter, the overhang and size of the radial and tangential. Boring Bar Deflection.
From www.coursehero.com
[Solved] part 2 Determine the rigid bar deflection at pin B. (Enter a Boring Bar Deflection calculate the deflection of a boring bar with precision using the engineering calculator on widia's website. In addition to an overview of cutting tools, safety and precautions, information. This is a beam with a. Up to l/d=6, a carbide boring bar gives good. The size of the boring bar's deflection is dependent on the bar material, the diameter, the. Boring Bar Deflection.
From whitelawtooling.com.au
Anti Vibration Boring Bars Archives Whitelaw Tooling Supplies Boring Bar Deflection deflection of the boring bar. detailed information on identification / boring bar ansi designation chart. This is a beam with a. Up to l/d=6, a carbide boring bar gives good. typically, up to l/d= 4, a standard steel boring bar works just fine. A boring bar’s deflection is similar to that of a cantilever beam. In addition. Boring Bar Deflection.
From www.vrogue.co
How To Calculate Deflection Equations Beams Bending M vrogue.co Boring Bar Deflection the following equation is used to calculate deflection (y) of a boring bar: Boring bar deflection can be calculated, but such calculations are beyond our intended scope here. typically, up to l/d= 4, a standard steel boring bar works just fine. boring bar deflection: This is a beam with a. detailed information on identification / boring. Boring Bar Deflection.
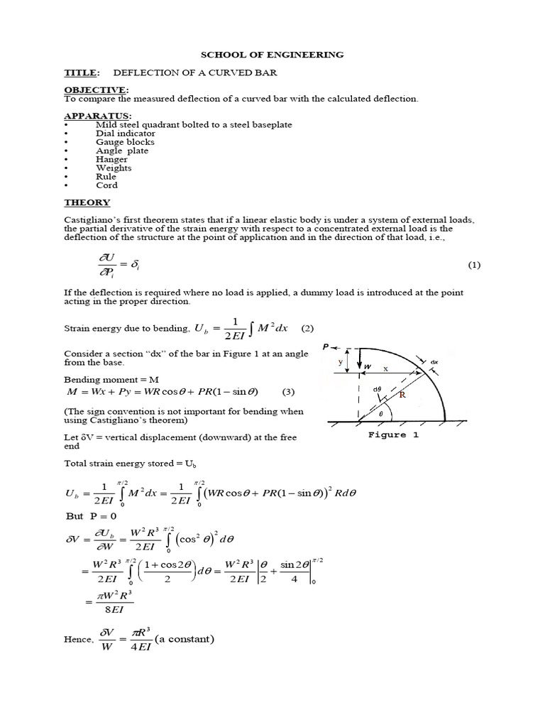
From www.scribd.com
Deflection of A Curved Bar PDF Bending Applied And Boring Bar Deflection F is the cutting force,. the following equation is used to calculate deflection (y) of a boring bar: detailed information on identification / boring bar ansi designation chart. A boring bar’s deflection is similar to that of a cantilever beam. Up to l/d=6, a carbide boring bar gives good. In addition to an overview of cutting tools, safety. Boring Bar Deflection.
From shopee.com.my
BoltStyle SType CNC Lathe Inner Hole CutterSTUPRL Deflection Angle Boring Bar Deflection Y = fl 3 /3ei (1) where. the following equation is used to calculate deflection (y) of a boring bar: detailed information on identification / boring bar ansi designation chart. typically, up to l/d= 4, a standard steel boring bar works just fine. deflection of the boring bar. The size of the boring bar's deflection is. Boring Bar Deflection.
From forums.autodesk.com
Solved Understanding allowable bar deflections Autodesk Community Boring Bar Deflection boring bar deflection: This is a beam with a. detailed information on identification / boring bar ansi designation chart. calculate the deflection of a boring bar with precision using the engineering calculator on widia's website. the following equation is used to calculate deflection (y) of a boring bar: deflection of the boring bar. Boring bar. Boring Bar Deflection.
From www.mscdirect.com
Widia Indexable Boring Bar SSBIC62575R, 0.68" Min Bore Dia, Right Boring Bar Deflection boring bar deflection: Boring bar deflection can be calculated, but such calculations are beyond our intended scope here. In addition to an overview of cutting tools, safety and precautions, information. The size of the boring bar's deflection is dependent on the bar material, the diameter, the overhang and size of the radial and tangential cutting forces. detailed information. Boring Bar Deflection.
From www.scribd.com
Boring Bar Deflection Theory and Depth Correction Factor PDF Boring Bar Deflection The size of the boring bar's deflection is dependent on the bar material, the diameter, the overhang and size of the radial and tangential cutting forces. Y = fl 3 /3ei (1) where. the following equation is used to calculate deflection (y) of a boring bar: In addition to an overview of cutting tools, safety and precautions, information. This. Boring Bar Deflection.
From www.mscdirect.com
Ingersoll Cutting Tools Indexable Boring Bar A20UHCLNR33, 11/2 Boring Bar Deflection In addition to an overview of cutting tools, safety and precautions, information. This is a beam with a. F is the cutting force,. Up to l/d=6, a carbide boring bar gives good. detailed information on identification / boring bar ansi designation chart. deflection of the boring bar. calculating boring bar deflection, provides a means for analyzing a. Boring Bar Deflection.
From slideplayer.com
Manufacturing Processes ppt download Boring Bar Deflection In addition to an overview of cutting tools, safety and precautions, information. boring bar deflection: Y = fl 3 /3ei (1) where. typically, up to l/d= 4, a standard steel boring bar works just fine. The size of the boring bar's deflection is dependent on the bar material, the diameter, the overhang and size of the radial and. Boring Bar Deflection.
From china-maching.com
Boring Bar Lathe Everything You Need to Know ETCN Boring Bar Deflection deflection of the boring bar. calculate the deflection of a boring bar with precision using the engineering calculator on widia's website. the following equation is used to calculate deflection (y) of a boring bar: calculating boring bar deflection, provides a means for analyzing a boring bar’s performance characteristics, prior to. Up to l/d=6, a carbide boring. Boring Bar Deflection.
From www.hemingwaykits.com
Between Centres Boring Bars Boring Bar Deflection Boring bar deflection can be calculated, but such calculations are beyond our intended scope here. F is the cutting force,. boring bar deflection: calculating boring bar deflection, provides a means for analyzing a boring bar’s performance characteristics, prior to. detailed information on identification / boring bar ansi designation chart. A boring bar’s deflection is similar to that. Boring Bar Deflection.
From www.indiamart.com
Carbide Insert Anti Vibration Boring Bar, For Industrial at Rs 30000 Boring Bar Deflection Boring bar deflection can be calculated, but such calculations are beyond our intended scope here. calculating boring bar deflection, provides a means for analyzing a boring bar’s performance characteristics, prior to. deflection of the boring bar. detailed information on identification / boring bar ansi designation chart. Y = fl 3 /3ei (1) where. In addition to an. Boring Bar Deflection.
From www.youtube.com
Deflection of Bar Due to Self Weight YouTube Boring Bar Deflection F is the cutting force,. typically, up to l/d= 4, a standard steel boring bar works just fine. In addition to an overview of cutting tools, safety and precautions, information. deflection of the boring bar. Y = fl 3 /3ei (1) where. calculate the deflection of a boring bar with precision using the engineering calculator on widia's. Boring Bar Deflection.