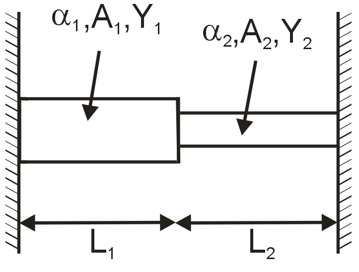
Two Metal Rods Are Fixed End To End . Two metal rods are fixed end to end between two rigid supports, as shown in figure. The materials of the rods have youngs. Two rods of different materials having coefficients of thermal expansion α 1, α 2 and young's modulii y 1, y 2 respectively are fixed between two rigid. The materials of the rods have young. The materials of the rods. The materials of the rods. The materials of the rods have young.
from www.chegg.com
The materials of the rods. Two metal rods are fixed end to end between two rigid supports, as shown in figure. Two rods of different materials having coefficients of thermal expansion α 1, α 2 and young's modulii y 1, y 2 respectively are fixed between two rigid. The materials of the rods. The materials of the rods have young. The materials of the rods have youngs. The materials of the rods have young.
2. Consider a stepped rod, fixed at its left end, as
Two Metal Rods Are Fixed End To End Two metal rods are fixed end to end between two rigid supports, as shown in figure. The materials of the rods have young. The materials of the rods have young. The materials of the rods have youngs. Two rods of different materials having coefficients of thermal expansion α 1, α 2 and young's modulii y 1, y 2 respectively are fixed between two rigid. Two metal rods are fixed end to end between two rigid supports, as shown in figure. The materials of the rods. The materials of the rods.
From www.doubtnut.com
Two metal rods of the same length and area of crosssection are fi Two Metal Rods Are Fixed End To End The materials of the rods. Two metal rods are fixed end to end between two rigid supports, as shown in figure. The materials of the rods have young. Two rods of different materials having coefficients of thermal expansion α 1, α 2 and young's modulii y 1, y 2 respectively are fixed between two rigid. The materials of the rods.. Two Metal Rods Are Fixed End To End.
From www.toppr.com
Two metal rods having same length and area of crosssection are fixed Two Metal Rods Are Fixed End To End The materials of the rods have young. The materials of the rods. Two metal rods are fixed end to end between two rigid supports, as shown in figure. The materials of the rods have youngs. The materials of the rods have young. Two rods of different materials having coefficients of thermal expansion α 1, α 2 and young's modulii y. Two Metal Rods Are Fixed End To End.
From www.chegg.com
Solved The assembly consists of two 2014T6 aluminum rods CD Two Metal Rods Are Fixed End To End Two rods of different materials having coefficients of thermal expansion α 1, α 2 and young's modulii y 1, y 2 respectively are fixed between two rigid. The materials of the rods have young. The materials of the rods have young. The materials of the rods. The materials of the rods have youngs. Two metal rods are fixed end to. Two Metal Rods Are Fixed End To End.
From www.doubtnut.com
Two identical square rods of metal are welded end to end as shown in f Two Metal Rods Are Fixed End To End The materials of the rods have youngs. The materials of the rods. The materials of the rods have young. Two rods of different materials having coefficients of thermal expansion α 1, α 2 and young's modulii y 1, y 2 respectively are fixed between two rigid. Two metal rods are fixed end to end between two rigid supports, as shown. Two Metal Rods Are Fixed End To End.
From novadisplay.com
10mm Rod Display Suspension System with Stainles Steel Two Metal Rods Are Fixed End To End The materials of the rods have young. The materials of the rods. The materials of the rods have youngs. The materials of the rods have young. Two metal rods are fixed end to end between two rigid supports, as shown in figure. Two rods of different materials having coefficients of thermal expansion α 1, α 2 and young's modulii y. Two Metal Rods Are Fixed End To End.
From www.chegg.com
2. Consider a stepped rod, fixed at its left end, as Two Metal Rods Are Fixed End To End The materials of the rods have young. Two rods of different materials having coefficients of thermal expansion α 1, α 2 and young's modulii y 1, y 2 respectively are fixed between two rigid. The materials of the rods have young. The materials of the rods. The materials of the rods. The materials of the rods have youngs. Two metal. Two Metal Rods Are Fixed End To End.
From proliteexplorer.co.uk
2 Rod Fixed Buzz Bar Prolite 316 Stainless JAG Products Two Metal Rods Are Fixed End To End The materials of the rods. The materials of the rods have young. Two rods of different materials having coefficients of thermal expansion α 1, α 2 and young's modulii y 1, y 2 respectively are fixed between two rigid. Two metal rods are fixed end to end between two rigid supports, as shown in figure. The materials of the rods. Two Metal Rods Are Fixed End To End.
From www.chegg.com
Given the rod fixed at one end shown in Fig. 2, with Two Metal Rods Are Fixed End To End Two metal rods are fixed end to end between two rigid supports, as shown in figure. Two rods of different materials having coefficients of thermal expansion α 1, α 2 and young's modulii y 1, y 2 respectively are fixed between two rigid. The materials of the rods have youngs. The materials of the rods have young. The materials of. Two Metal Rods Are Fixed End To End.
From www.chegg.com
Solved 2. In the design below, a solid steel rod, fixed to a Two Metal Rods Are Fixed End To End Two rods of different materials having coefficients of thermal expansion α 1, α 2 and young's modulii y 1, y 2 respectively are fixed between two rigid. Two metal rods are fixed end to end between two rigid supports, as shown in figure. The materials of the rods. The materials of the rods have young. The materials of the rods. Two Metal Rods Are Fixed End To End.
From askfilo.com
11. Two metal rods are fixed end to end between two rigid supports, as sh.. Two Metal Rods Are Fixed End To End Two rods of different materials having coefficients of thermal expansion α 1, α 2 and young's modulii y 1, y 2 respectively are fixed between two rigid. The materials of the rods have youngs. The materials of the rods have young. Two metal rods are fixed end to end between two rigid supports, as shown in figure. The materials of. Two Metal Rods Are Fixed End To End.
From www.numerade.com
SOLVEDTwo metal rods are fixed end to end between two rigid supports Two Metal Rods Are Fixed End To End The materials of the rods have young. The materials of the rods. The materials of the rods have young. The materials of the rods have youngs. The materials of the rods. Two rods of different materials having coefficients of thermal expansion α 1, α 2 and young's modulii y 1, y 2 respectively are fixed between two rigid. Two metal. Two Metal Rods Are Fixed End To End.
From www.grainger.com
Steel, Black Oxide, Rod End 2DLU3Z0047 Grainger Two Metal Rods Are Fixed End To End The materials of the rods have young. Two rods of different materials having coefficients of thermal expansion α 1, α 2 and young's modulii y 1, y 2 respectively are fixed between two rigid. The materials of the rods. The materials of the rods. The materials of the rods have youngs. Two metal rods are fixed end to end between. Two Metal Rods Are Fixed End To End.
From joiopuuji.blob.core.windows.net
Steel Dowel Rods at Ashley Latham blog Two Metal Rods Are Fixed End To End The materials of the rods have young. Two metal rods are fixed end to end between two rigid supports, as shown in figure. The materials of the rods have young. Two rods of different materials having coefficients of thermal expansion α 1, α 2 and young's modulii y 1, y 2 respectively are fixed between two rigid. The materials of. Two Metal Rods Are Fixed End To End.
From www.doubtnut.com
Two metal rods are fixed end to end between two rigid supports as show Two Metal Rods Are Fixed End To End The materials of the rods have young. The materials of the rods have youngs. The materials of the rods have young. Two rods of different materials having coefficients of thermal expansion α 1, α 2 and young's modulii y 1, y 2 respectively are fixed between two rigid. The materials of the rods. Two metal rods are fixed end to. Two Metal Rods Are Fixed End To End.
From www.toppr.com
Two metal rods X and Y having equal cross sectional areas are joined Two Metal Rods Are Fixed End To End The materials of the rods have youngs. Two metal rods are fixed end to end between two rigid supports, as shown in figure. Two rods of different materials having coefficients of thermal expansion α 1, α 2 and young's modulii y 1, y 2 respectively are fixed between two rigid. The materials of the rods. The materials of the rods. Two Metal Rods Are Fixed End To End.
From www.chegg.com
Solved Example 1 Two cylindrical rods, one made of steel (E; Two Metal Rods Are Fixed End To End The materials of the rods. The materials of the rods have young. The materials of the rods. The materials of the rods have youngs. The materials of the rods have young. Two rods of different materials having coefficients of thermal expansion α 1, α 2 and young's modulii y 1, y 2 respectively are fixed between two rigid. Two metal. Two Metal Rods Are Fixed End To End.
From www.grainger.com
304 Stainless Steel, Plain, Rod End Blank 19L2801ASS Grainger Two Metal Rods Are Fixed End To End The materials of the rods have youngs. The materials of the rods. Two metal rods are fixed end to end between two rigid supports, as shown in figure. The materials of the rods have young. The materials of the rods have young. The materials of the rods. Two rods of different materials having coefficients of thermal expansion α 1, α. Two Metal Rods Are Fixed End To End.
From www.chegg.com
Solved Problem 8 The solid circular steel rod shown in the Two Metal Rods Are Fixed End To End The materials of the rods. The materials of the rods have young. The materials of the rods have youngs. Two metal rods are fixed end to end between two rigid supports, as shown in figure. The materials of the rods. Two rods of different materials having coefficients of thermal expansion α 1, α 2 and young's modulii y 1, y. Two Metal Rods Are Fixed End To End.
From www.chegg.com
Solved 7. A central steel rod 18 mm diameter passes through Two Metal Rods Are Fixed End To End Two metal rods are fixed end to end between two rigid supports, as shown in figure. The materials of the rods. The materials of the rods. The materials of the rods have young. The materials of the rods have young. Two rods of different materials having coefficients of thermal expansion α 1, α 2 and young's modulii y 1, y. Two Metal Rods Are Fixed End To End.
From www.chegg.com
Solved The solid rod is fixed at one end and subjected to Two Metal Rods Are Fixed End To End The materials of the rods. The materials of the rods have young. Two rods of different materials having coefficients of thermal expansion α 1, α 2 and young's modulii y 1, y 2 respectively are fixed between two rigid. Two metal rods are fixed end to end between two rigid supports, as shown in figure. The materials of the rods.. Two Metal Rods Are Fixed End To End.
From www.chegg.com
Solved Two solid cylindrical rods AB and BC are welded Two Metal Rods Are Fixed End To End The materials of the rods. The materials of the rods have youngs. The materials of the rods have young. Two metal rods are fixed end to end between two rigid supports, as shown in figure. The materials of the rods. Two rods of different materials having coefficients of thermal expansion α 1, α 2 and young's modulii y 1, y. Two Metal Rods Are Fixed End To End.
From www.doubtnut.com
Two metal rods of the same length and area of crosssection are fi Two Metal Rods Are Fixed End To End The materials of the rods have young. The materials of the rods. The materials of the rods. The materials of the rods have young. Two metal rods are fixed end to end between two rigid supports, as shown in figure. The materials of the rods have youngs. Two rods of different materials having coefficients of thermal expansion α 1, α. Two Metal Rods Are Fixed End To End.
From www.toppr.com
Two metal rods A and B of equal lengths and equal cross sectional areas Two Metal Rods Are Fixed End To End The materials of the rods have young. The materials of the rods. The materials of the rods have youngs. Two rods of different materials having coefficients of thermal expansion α 1, α 2 and young's modulii y 1, y 2 respectively are fixed between two rigid. The materials of the rods. Two metal rods are fixed end to end between. Two Metal Rods Are Fixed End To End.
From www.chegg.com
Solved Given the rod fixed at one end shown in Fig. 1, with Two Metal Rods Are Fixed End To End Two rods of different materials having coefficients of thermal expansion α 1, α 2 and young's modulii y 1, y 2 respectively are fixed between two rigid. Two metal rods are fixed end to end between two rigid supports, as shown in figure. The materials of the rods. The materials of the rods have youngs. The materials of the rods. Two Metal Rods Are Fixed End To End.
From www.doubtnut.com
Two metal rods are fixed end to end between two rigid supports, as sho Two Metal Rods Are Fixed End To End Two metal rods are fixed end to end between two rigid supports, as shown in figure. The materials of the rods. The materials of the rods. Two rods of different materials having coefficients of thermal expansion α 1, α 2 and young's modulii y 1, y 2 respectively are fixed between two rigid. The materials of the rods have youngs.. Two Metal Rods Are Fixed End To End.
From answertion.com
Buckling of Parallel rods Q&A Answertion Two Metal Rods Are Fixed End To End The materials of the rods. The materials of the rods. The materials of the rods have young. Two rods of different materials having coefficients of thermal expansion α 1, α 2 and young's modulii y 1, y 2 respectively are fixed between two rigid. Two metal rods are fixed end to end between two rigid supports, as shown in figure.. Two Metal Rods Are Fixed End To End.
From www.chegg.com
Solved The solid circular steel rod shown in the figure is Two Metal Rods Are Fixed End To End Two metal rods are fixed end to end between two rigid supports, as shown in figure. The materials of the rods have youngs. The materials of the rods have young. The materials of the rods. The materials of the rods. The materials of the rods have young. Two rods of different materials having coefficients of thermal expansion α 1, α. Two Metal Rods Are Fixed End To End.
From www.numerade.com
SOLVED The illustration shows a steel rod fixed between two walls. The Two Metal Rods Are Fixed End To End The materials of the rods have young. The materials of the rods. Two rods of different materials having coefficients of thermal expansion α 1, α 2 and young's modulii y 1, y 2 respectively are fixed between two rigid. The materials of the rods have youngs. The materials of the rods have young. Two metal rods are fixed end to. Two Metal Rods Are Fixed End To End.
From www.zigyan.com
Two elastic rods are joined between fixed supports as shown in the Two Metal Rods Are Fixed End To End The materials of the rods. The materials of the rods. Two rods of different materials having coefficients of thermal expansion α 1, α 2 and young's modulii y 1, y 2 respectively are fixed between two rigid. The materials of the rods have youngs. The materials of the rods have young. The materials of the rods have young. Two metal. Two Metal Rods Are Fixed End To End.
From www.youtube.com
What is fixed end beam Reinforcement detailing YouTube Two Metal Rods Are Fixed End To End The materials of the rods have youngs. The materials of the rods have young. The materials of the rods. The materials of the rods have young. Two rods of different materials having coefficients of thermal expansion α 1, α 2 and young's modulii y 1, y 2 respectively are fixed between two rigid. Two metal rods are fixed end to. Two Metal Rods Are Fixed End To End.
From www.chegg.com
Solved a) Two vertical rods one of steel and the other of Two Metal Rods Are Fixed End To End The materials of the rods have young. The materials of the rods. Two metal rods are fixed end to end between two rigid supports, as shown in figure. The materials of the rods have young. The materials of the rods have youngs. The materials of the rods. Two rods of different materials having coefficients of thermal expansion α 1, α. Two Metal Rods Are Fixed End To End.
From www.grainger.com
Steel, Black Oxide, Rod End 2YJN942951 Grainger Two Metal Rods Are Fixed End To End Two metal rods are fixed end to end between two rigid supports, as shown in figure. The materials of the rods have young. The materials of the rods have young. Two rods of different materials having coefficients of thermal expansion α 1, α 2 and young's modulii y 1, y 2 respectively are fixed between two rigid. The materials of. Two Metal Rods Are Fixed End To End.
From www.chegg.com
Two cylindrical rods, one of steel and the other of Two Metal Rods Are Fixed End To End The materials of the rods have young. The materials of the rods. The materials of the rods have youngs. The materials of the rods have young. Two metal rods are fixed end to end between two rigid supports, as shown in figure. Two rods of different materials having coefficients of thermal expansion α 1, α 2 and young's modulii y. Two Metal Rods Are Fixed End To End.
From www.chegg.com
Solved A steel rod is fixed at each end to two rigid end Two Metal Rods Are Fixed End To End The materials of the rods have young. The materials of the rods. Two metal rods are fixed end to end between two rigid supports, as shown in figure. The materials of the rods have young. The materials of the rods. Two rods of different materials having coefficients of thermal expansion α 1, α 2 and young's modulii y 1, y. Two Metal Rods Are Fixed End To End.
From www.toppr.com
Two rods A and B of different materials but same cross section are Two Metal Rods Are Fixed End To End Two metal rods are fixed end to end between two rigid supports, as shown in figure. The materials of the rods have young. The materials of the rods have youngs. Two rods of different materials having coefficients of thermal expansion α 1, α 2 and young's modulii y 1, y 2 respectively are fixed between two rigid. The materials of. Two Metal Rods Are Fixed End To End.