Health Ministry E Bar Examination . Ii “b”/ grade iii and on the. The ministry of health, nutrition & indigenous medicine sri lanka has released the efficiency bar eb examination results for grade ii. The ministry of health, sri lanka, has officially announced the schedule for the efficiency bar examination 2023 for grade ii nursing officers (eb exam 2023 grade 2). B) ebar question booklet for medical officers. A) e bar answer booklet for medical officers. Efficiency bar examination for public health midwives belonging to the paramedical service who are in seg. Study material for ebar examination : Efficiency bar examination for public health midwives belonging to the paramedical service who are in seg. Ii b/grade iii and on the salary scale. The ministry of health is the. The ministry of health, sri lanka has unveiled the results for the efficiency bar examination (eb exam 2023 grade 2) conducted for grade ii nursing officers in the sri lankan nursing service.
from www.nurselk.com
Efficiency bar examination for public health midwives belonging to the paramedical service who are in seg. A) e bar answer booklet for medical officers. Ii b/grade iii and on the salary scale. B) ebar question booklet for medical officers. The ministry of health, nutrition & indigenous medicine sri lanka has released the efficiency bar eb examination results for grade ii. Study material for ebar examination : The ministry of health is the. The ministry of health, sri lanka has unveiled the results for the efficiency bar examination (eb exam 2023 grade 2) conducted for grade ii nursing officers in the sri lankan nursing service. Ii “b”/ grade iii and on the. Efficiency bar examination for public health midwives belonging to the paramedical service who are in seg.
Efficiency Bar Examination for Grade III Nursing Officers in the
Health Ministry E Bar Examination The ministry of health is the. The ministry of health is the. B) ebar question booklet for medical officers. Efficiency bar examination for public health midwives belonging to the paramedical service who are in seg. Efficiency bar examination for public health midwives belonging to the paramedical service who are in seg. Ii “b”/ grade iii and on the. The ministry of health, nutrition & indigenous medicine sri lanka has released the efficiency bar eb examination results for grade ii. The ministry of health, sri lanka, has officially announced the schedule for the efficiency bar examination 2023 for grade ii nursing officers (eb exam 2023 grade 2). The ministry of health, sri lanka has unveiled the results for the efficiency bar examination (eb exam 2023 grade 2) conducted for grade ii nursing officers in the sri lankan nursing service. A) e bar answer booklet for medical officers. Ii b/grade iii and on the salary scale. Study material for ebar examination :
From www.nurselk.com
Efficiency Bar Examination for Grade I Nursing Offices Health Ministry E Bar Examination Ii “b”/ grade iii and on the. The ministry of health is the. The ministry of health, nutrition & indigenous medicine sri lanka has released the efficiency bar eb examination results for grade ii. Efficiency bar examination for public health midwives belonging to the paramedical service who are in seg. The ministry of health, sri lanka has unveiled the results. Health Ministry E Bar Examination.
From www.ceylonlanka.info
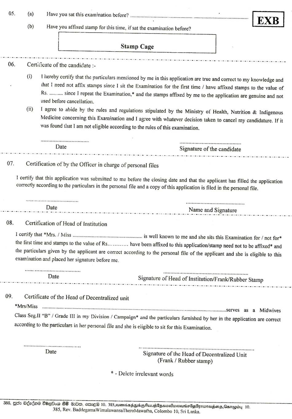
Efficiency Bar Examination for the Public Health Midwives belonging to Health Ministry E Bar Examination The ministry of health, nutrition & indigenous medicine sri lanka has released the efficiency bar eb examination results for grade ii. A) e bar answer booklet for medical officers. The ministry of health, sri lanka has unveiled the results for the efficiency bar examination (eb exam 2023 grade 2) conducted for grade ii nursing officers in the sri lankan nursing. Health Ministry E Bar Examination.
From www.nurselk.com
Efficiency Bar Examination for Grade III Nursing Officers in the Health Ministry E Bar Examination The ministry of health, sri lanka has unveiled the results for the efficiency bar examination (eb exam 2023 grade 2) conducted for grade ii nursing officers in the sri lankan nursing service. The ministry of health is the. Ii b/grade iii and on the salary scale. Study material for ebar examination : Efficiency bar examination for public health midwives belonging. Health Ministry E Bar Examination.
From www.nurselk.com
Efficency Bar Examination for Grade I Nursing Officers in the Nursing Health Ministry E Bar Examination The ministry of health, sri lanka, has officially announced the schedule for the efficiency bar examination 2023 for grade ii nursing officers (eb exam 2023 grade 2). B) ebar question booklet for medical officers. The ministry of health, nutrition & indigenous medicine sri lanka has released the efficiency bar eb examination results for grade ii. The ministry of health is. Health Ministry E Bar Examination.
From examklick.com
All india bar examination 2022/AIBE 17( All India Bar ExaminationXVII Health Ministry E Bar Examination Study material for ebar examination : A) e bar answer booklet for medical officers. Ii b/grade iii and on the salary scale. The ministry of health, sri lanka has unveiled the results for the efficiency bar examination (eb exam 2023 grade 2) conducted for grade ii nursing officers in the sri lankan nursing service. Ii “b”/ grade iii and on. Health Ministry E Bar Examination.
From www.nurselk.com
Efficiency Bar Examination for Grade I Nursing Officers in the Nursing Health Ministry E Bar Examination Ii b/grade iii and on the salary scale. Efficiency bar examination for public health midwives belonging to the paramedical service who are in seg. The ministry of health, nutrition & indigenous medicine sri lanka has released the efficiency bar eb examination results for grade ii. A) e bar answer booklet for medical officers. The ministry of health, sri lanka, has. Health Ministry E Bar Examination.
From www.ais-cpa.com
Bar Exam Scoring How is the Bar Exam Scored? Health Ministry E Bar Examination Efficiency bar examination for public health midwives belonging to the paramedical service who are in seg. Ii “b”/ grade iii and on the. Study material for ebar examination : A) e bar answer booklet for medical officers. The ministry of health, nutrition & indigenous medicine sri lanka has released the efficiency bar eb examination results for grade ii. B) ebar. Health Ministry E Bar Examination.
From governmentjobs.lk
The Efficiency Bar Examination for the Officers in Class 2 of the Sri Health Ministry E Bar Examination Ii b/grade iii and on the salary scale. The ministry of health is the. Study material for ebar examination : Ii “b”/ grade iii and on the. Efficiency bar examination for public health midwives belonging to the paramedical service who are in seg. A) e bar answer booklet for medical officers. The ministry of health, nutrition & indigenous medicine sri. Health Ministry E Bar Examination.
From www.nurselk.com
Efficiency Bar Examination for Grade III Nursing Officers in the Health Ministry E Bar Examination The ministry of health is the. The ministry of health, sri lanka has unveiled the results for the efficiency bar examination (eb exam 2023 grade 2) conducted for grade ii nursing officers in the sri lankan nursing service. B) ebar question booklet for medical officers. Efficiency bar examination for public health midwives belonging to the paramedical service who are in. Health Ministry E Bar Examination.
From www.nurselk.com
Efficiency Bar Examination for Grade II Nursing Officers in the Nursing Health Ministry E Bar Examination Efficiency bar examination for public health midwives belonging to the paramedical service who are in seg. Ii “b”/ grade iii and on the. The ministry of health, nutrition & indigenous medicine sri lanka has released the efficiency bar eb examination results for grade ii. The ministry of health, sri lanka has unveiled the results for the efficiency bar examination (eb. Health Ministry E Bar Examination.
From www.nurselk.com
Efficiency Bar Examination for Grade I Nursing Offices Health Ministry E Bar Examination The ministry of health, sri lanka has unveiled the results for the efficiency bar examination (eb exam 2023 grade 2) conducted for grade ii nursing officers in the sri lankan nursing service. The ministry of health is the. Ii “b”/ grade iii and on the. The ministry of health, sri lanka, has officially announced the schedule for the efficiency bar. Health Ministry E Bar Examination.
From www.onlinejobs.lk
Second Efficiency Bar Examination for Management Assistant Service Health Ministry E Bar Examination The ministry of health is the. Study material for ebar examination : The ministry of health, nutrition & indigenous medicine sri lanka has released the efficiency bar eb examination results for grade ii. B) ebar question booklet for medical officers. Efficiency bar examination for public health midwives belonging to the paramedical service who are in seg. Efficiency bar examination for. Health Ministry E Bar Examination.
From www.nurselk.com
Efficiency Bar Examination for Grade III Nursing Officers in the Health Ministry E Bar Examination The ministry of health is the. The ministry of health, nutrition & indigenous medicine sri lanka has released the efficiency bar eb examination results for grade ii. Efficiency bar examination for public health midwives belonging to the paramedical service who are in seg. Efficiency bar examination for public health midwives belonging to the paramedical service who are in seg. Ii. Health Ministry E Bar Examination.
From www.hindustantimes.com
AIBE 17 BCI to begin registration for All India Bar Examination today Health Ministry E Bar Examination The ministry of health, sri lanka, has officially announced the schedule for the efficiency bar examination 2023 for grade ii nursing officers (eb exam 2023 grade 2). B) ebar question booklet for medical officers. Efficiency bar examination for public health midwives belonging to the paramedical service who are in seg. The ministry of health, nutrition & indigenous medicine sri lanka. Health Ministry E Bar Examination.
From www.nurselk.com
Efficiency Bar Examination for Grade III Nursing Officers in the Health Ministry E Bar Examination The ministry of health is the. The ministry of health, nutrition & indigenous medicine sri lanka has released the efficiency bar eb examination results for grade ii. The ministry of health, sri lanka has unveiled the results for the efficiency bar examination (eb exam 2023 grade 2) conducted for grade ii nursing officers in the sri lankan nursing service. Study. Health Ministry E Bar Examination.
From www.youtube.com
3,992 of 9,183 pass 2022 Bar exam INQToday YouTube Health Ministry E Bar Examination Efficiency bar examination for public health midwives belonging to the paramedical service who are in seg. B) ebar question booklet for medical officers. The ministry of health, sri lanka has unveiled the results for the efficiency bar examination (eb exam 2023 grade 2) conducted for grade ii nursing officers in the sri lankan nursing service. A) e bar answer booklet. Health Ministry E Bar Examination.
From www.rappler.com
FULL LIST 2022 Bar Exams passers Health Ministry E Bar Examination B) ebar question booklet for medical officers. Study material for ebar examination : The ministry of health, nutrition & indigenous medicine sri lanka has released the efficiency bar eb examination results for grade ii. The ministry of health is the. Efficiency bar examination for public health midwives belonging to the paramedical service who are in seg. Ii b/grade iii and. Health Ministry E Bar Examination.
From www.nurselk.com
Efficiency Bar Examination for Grade III Nursing Officers in the Health Ministry E Bar Examination A) e bar answer booklet for medical officers. Ii b/grade iii and on the salary scale. The ministry of health is the. Study material for ebar examination : The ministry of health, nutrition & indigenous medicine sri lanka has released the efficiency bar eb examination results for grade ii. Ii “b”/ grade iii and on the. The ministry of health,. Health Ministry E Bar Examination.
From www.gazette.lk
Primary SemiTechnical Officers Third Efficiency Bar Examinations Health Ministry E Bar Examination A) e bar answer booklet for medical officers. Ii b/grade iii and on the salary scale. The ministry of health, sri lanka has unveiled the results for the efficiency bar examination (eb exam 2023 grade 2) conducted for grade ii nursing officers in the sri lankan nursing service. The ministry of health is the. The ministry of health, nutrition &. Health Ministry E Bar Examination.
From www.ceylonlanka.info
Efficiency Bar Examination for Grade III Nursing Officers in the Health Ministry E Bar Examination The ministry of health, sri lanka has unveiled the results for the efficiency bar examination (eb exam 2023 grade 2) conducted for grade ii nursing officers in the sri lankan nursing service. The ministry of health, nutrition & indigenous medicine sri lanka has released the efficiency bar eb examination results for grade ii. A) e bar answer booklet for medical. Health Ministry E Bar Examination.
From www.nurselk.com
Efficiency Bar Examination for Grade III Nursing Officers in the Health Ministry E Bar Examination The ministry of health is the. Study material for ebar examination : Ii “b”/ grade iii and on the. The ministry of health, sri lanka has unveiled the results for the efficiency bar examination (eb exam 2023 grade 2) conducted for grade ii nursing officers in the sri lankan nursing service. B) ebar question booklet for medical officers. Efficiency bar. Health Ministry E Bar Examination.
From www.gazette.lk
Efficiency Bar (EB) Examination Application for Officers in Grade I of Health Ministry E Bar Examination Efficiency bar examination for public health midwives belonging to the paramedical service who are in seg. B) ebar question booklet for medical officers. The ministry of health, sri lanka, has officially announced the schedule for the efficiency bar examination 2023 for grade ii nursing officers (eb exam 2023 grade 2). The ministry of health is the. Ii “b”/ grade iii. Health Ministry E Bar Examination.
From www.nurselk.com
Efficiency Bar Examination for Grade III Nursing Officers in the Health Ministry E Bar Examination Efficiency bar examination for public health midwives belonging to the paramedical service who are in seg. Study material for ebar examination : The ministry of health, sri lanka has unveiled the results for the efficiency bar examination (eb exam 2023 grade 2) conducted for grade ii nursing officers in the sri lankan nursing service. The ministry of health is the.. Health Ministry E Bar Examination.
From www.jagran.com
All India Bar Examination 2020 ऑल इंडिया बार परीक्षा की आंसरकी जल्द Health Ministry E Bar Examination A) e bar answer booklet for medical officers. Study material for ebar examination : The ministry of health, nutrition & indigenous medicine sri lanka has released the efficiency bar eb examination results for grade ii. Ii “b”/ grade iii and on the. The ministry of health, sri lanka, has officially announced the schedule for the efficiency bar examination 2023 for. Health Ministry E Bar Examination.
From www.nurselk.com
EB Results for Grade II Nursing Officers Health Ministry E Bar Examination A) e bar answer booklet for medical officers. The ministry of health, sri lanka, has officially announced the schedule for the efficiency bar examination 2023 for grade ii nursing officers (eb exam 2023 grade 2). Ii “b”/ grade iii and on the. Efficiency bar examination for public health midwives belonging to the paramedical service who are in seg. Efficiency bar. Health Ministry E Bar Examination.
From www.gazette.lk
Results Released EB Examination for Dental Technicians Class II Health Ministry E Bar Examination Efficiency bar examination for public health midwives belonging to the paramedical service who are in seg. The ministry of health, sri lanka, has officially announced the schedule for the efficiency bar examination 2023 for grade ii nursing officers (eb exam 2023 grade 2). The ministry of health is the. Ii “b”/ grade iii and on the. Efficiency bar examination for. Health Ministry E Bar Examination.
From educ.upd.edu.ph
Office of the College Secretary Memo on Bar Examination in UP Diliman Health Ministry E Bar Examination The ministry of health, nutrition & indigenous medicine sri lanka has released the efficiency bar eb examination results for grade ii. The ministry of health, sri lanka has unveiled the results for the efficiency bar examination (eb exam 2023 grade 2) conducted for grade ii nursing officers in the sri lankan nursing service. A) e bar answer booklet for medical. Health Ministry E Bar Examination.
From www.gazette.lk
Second Efficency Bar Examination for Electrician Results Ministry of Health Ministry E Bar Examination Study material for ebar examination : A) e bar answer booklet for medical officers. The ministry of health is the. The ministry of health, sri lanka, has officially announced the schedule for the efficiency bar examination 2023 for grade ii nursing officers (eb exam 2023 grade 2). The ministry of health, nutrition & indigenous medicine sri lanka has released the. Health Ministry E Bar Examination.
From boardexams.ph
BAR EXAM RESULTS 2023 Philippine Bar Examination List of Passers Health Ministry E Bar Examination B) ebar question booklet for medical officers. A) e bar answer booklet for medical officers. The ministry of health is the. Study material for ebar examination : Ii b/grade iii and on the salary scale. The ministry of health, sri lanka, has officially announced the schedule for the efficiency bar examination 2023 for grade ii nursing officers (eb exam 2023. Health Ministry E Bar Examination.
From www.nurselk.com
Efficiency Bar Examination for Grade II Nursing Officers in the Nursing Health Ministry E Bar Examination A) e bar answer booklet for medical officers. The ministry of health is the. The ministry of health, sri lanka has unveiled the results for the efficiency bar examination (eb exam 2023 grade 2) conducted for grade ii nursing officers in the sri lankan nursing service. Efficiency bar examination for public health midwives belonging to the paramedical service who are. Health Ministry E Bar Examination.
From www.scribd.com
Philippine Bar Examination PDF Philippines Virtue Health Ministry E Bar Examination Efficiency bar examination for public health midwives belonging to the paramedical service who are in seg. Ii “b”/ grade iii and on the. The ministry of health, sri lanka, has officially announced the schedule for the efficiency bar examination 2023 for grade ii nursing officers (eb exam 2023 grade 2). Efficiency bar examination for public health midwives belonging to the. Health Ministry E Bar Examination.
From www.youtube.com
Results of the 2023 Bar Examinations YouTube Health Ministry E Bar Examination The ministry of health, nutrition & indigenous medicine sri lanka has released the efficiency bar eb examination results for grade ii. The ministry of health, sri lanka has unveiled the results for the efficiency bar examination (eb exam 2023 grade 2) conducted for grade ii nursing officers in the sri lankan nursing service. A) e bar answer booklet for medical. Health Ministry E Bar Examination.
From www.nurselk.com
Efficency Bar Examination for Grade I Nursing Officers in the Nursing Health Ministry E Bar Examination B) ebar question booklet for medical officers. Efficiency bar examination for public health midwives belonging to the paramedical service who are in seg. The ministry of health, sri lanka, has officially announced the schedule for the efficiency bar examination 2023 for grade ii nursing officers (eb exam 2023 grade 2). The ministry of health, sri lanka has unveiled the results. Health Ministry E Bar Examination.
From www.nurselk.com
Efficiency Bar Examination for Grade II Nursing Officers in the Nursing Health Ministry E Bar Examination B) ebar question booklet for medical officers. The ministry of health, sri lanka, has officially announced the schedule for the efficiency bar examination 2023 for grade ii nursing officers (eb exam 2023 grade 2). Study material for ebar examination : The ministry of health, sri lanka has unveiled the results for the efficiency bar examination (eb exam 2023 grade 2). Health Ministry E Bar Examination.
From www.rappler.com
Over 10,000 aspiring lawyers take 2023 Bar examinations Health Ministry E Bar Examination Ii b/grade iii and on the salary scale. Efficiency bar examination for public health midwives belonging to the paramedical service who are in seg. The ministry of health, sri lanka has unveiled the results for the efficiency bar examination (eb exam 2023 grade 2) conducted for grade ii nursing officers in the sri lankan nursing service. The ministry of health,. Health Ministry E Bar Examination.