Human Resources Contract . Our free downloadable hr contract templates empower businesses to establish clear terms, streamline partnerships, and present professional proposals. Our hr services contract agreement template covers all the essential aspects of a contract between hr professionals or firms and their. To achieve this, hr professionals. Human resources (hr) revolves around building a strong and successful workforce. Hr contracts are legal agreements used by people and talent teams to create, or update, terms of employment. Human resource contracts are agreements between workers and their employers that outline the terms of a working. Once signed by both the employer and employee,. The key lies in clm software.
from www.template.net
Our free downloadable hr contract templates empower businesses to establish clear terms, streamline partnerships, and present professional proposals. Human resources (hr) revolves around building a strong and successful workforce. Hr contracts are legal agreements used by people and talent teams to create, or update, terms of employment. To achieve this, hr professionals. Our hr services contract agreement template covers all the essential aspects of a contract between hr professionals or firms and their. Human resource contracts are agreements between workers and their employers that outline the terms of a working. Once signed by both the employer and employee,. The key lies in clm software.
8+ FREE HR Contract Templates Sample Word, Google Docs Example Format
Human Resources Contract Our hr services contract agreement template covers all the essential aspects of a contract between hr professionals or firms and their. Once signed by both the employer and employee,. Hr contracts are legal agreements used by people and talent teams to create, or update, terms of employment. To achieve this, hr professionals. Our free downloadable hr contract templates empower businesses to establish clear terms, streamline partnerships, and present professional proposals. Human resources (hr) revolves around building a strong and successful workforce. Our hr services contract agreement template covers all the essential aspects of a contract between hr professionals or firms and their. Human resource contracts are agreements between workers and their employers that outline the terms of a working. The key lies in clm software.
From www.rocketlawyer.com
Free Human Resources Contract Make & Sign Rocket Lawyer Human Resources Contract Once signed by both the employer and employee,. Human resource contracts are agreements between workers and their employers that outline the terms of a working. Our free downloadable hr contract templates empower businesses to establish clear terms, streamline partnerships, and present professional proposals. Human resources (hr) revolves around building a strong and successful workforce. To achieve this, hr professionals. Our. Human Resources Contract.
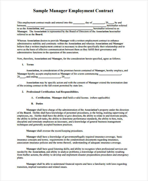
From old.sermitsiaq.ag
Hr Consultant Contract Template Human Resources Contract Our free downloadable hr contract templates empower businesses to establish clear terms, streamline partnerships, and present professional proposals. Our hr services contract agreement template covers all the essential aspects of a contract between hr professionals or firms and their. Once signed by both the employer and employee,. To achieve this, hr professionals. Hr contracts are legal agreements used by people. Human Resources Contract.
From www.allbusinesstemplates.com
Kostenloses HR Service Level Agreement Human Resources Contract Human resources (hr) revolves around building a strong and successful workforce. Hr contracts are legal agreements used by people and talent teams to create, or update, terms of employment. Human resource contracts are agreements between workers and their employers that outline the terms of a working. To achieve this, hr professionals. Once signed by both the employer and employee,. The. Human Resources Contract.
From discovermybusiness.co
Contract Template for Human Resources DiscoverMyBusiness Human Resources Contract Once signed by both the employer and employee,. Human resource contracts are agreements between workers and their employers that outline the terms of a working. Hr contracts are legal agreements used by people and talent teams to create, or update, terms of employment. Our hr services contract agreement template covers all the essential aspects of a contract between hr professionals. Human Resources Contract.
From template.mapadapalavra.ba.gov.br
Human Resources Service Agreement Template Human Resources Contract Our hr services contract agreement template covers all the essential aspects of a contract between hr professionals or firms and their. Once signed by both the employer and employee,. Human resource contracts are agreements between workers and their employers that outline the terms of a working. Human resources (hr) revolves around building a strong and successful workforce. To achieve this,. Human Resources Contract.
From www.sampletemplates.com
FREE 5+ HR Contract Samples & Templates in PDF MS Word Google Docs Human Resources Contract Human resources (hr) revolves around building a strong and successful workforce. Our hr services contract agreement template covers all the essential aspects of a contract between hr professionals or firms and their. Hr contracts are legal agreements used by people and talent teams to create, or update, terms of employment. Human resource contracts are agreements between workers and their employers. Human Resources Contract.
From tutore.org
Human Resources Service Agreement Template Master of Human Resources Contract Once signed by both the employer and employee,. Hr contracts are legal agreements used by people and talent teams to create, or update, terms of employment. Our free downloadable hr contract templates empower businesses to establish clear terms, streamline partnerships, and present professional proposals. To achieve this, hr professionals. The key lies in clm software. Our hr services contract agreement. Human Resources Contract.
From www.onrec.com
Top 5 for successful human resources management Onrec Human Resources Contract Human resources (hr) revolves around building a strong and successful workforce. The key lies in clm software. Once signed by both the employer and employee,. Hr contracts are legal agreements used by people and talent teams to create, or update, terms of employment. Our free downloadable hr contract templates empower businesses to establish clear terms, streamline partnerships, and present professional. Human Resources Contract.
From www.allbusinesstemplates.com
Human Resource Outsourcing Agreement Template Templates at Human Resources Contract Our free downloadable hr contract templates empower businesses to establish clear terms, streamline partnerships, and present professional proposals. Human resources (hr) revolves around building a strong and successful workforce. To achieve this, hr professionals. Once signed by both the employer and employee,. Our hr services contract agreement template covers all the essential aspects of a contract between hr professionals or. Human Resources Contract.
From www.proposalkit.com
Human Resources Legal Contract Pack Software and Templates Human Resources Contract To achieve this, hr professionals. The key lies in clm software. Hr contracts are legal agreements used by people and talent teams to create, or update, terms of employment. Human resources (hr) revolves around building a strong and successful workforce. Our free downloadable hr contract templates empower businesses to establish clear terms, streamline partnerships, and present professional proposals. Once signed. Human Resources Contract.
From www.proposalkit.com
Human Resources Guide Update Addendum 3 Easy Steps Human Resources Contract Hr contracts are legal agreements used by people and talent teams to create, or update, terms of employment. Once signed by both the employer and employee,. Human resources (hr) revolves around building a strong and successful workforce. The key lies in clm software. Our free downloadable hr contract templates empower businesses to establish clear terms, streamline partnerships, and present professional. Human Resources Contract.
From thegoodocs.com
Human Resources Contract Template In Google Docs Human Resources Contract The key lies in clm software. Our hr services contract agreement template covers all the essential aspects of a contract between hr professionals or firms and their. To achieve this, hr professionals. Hr contracts are legal agreements used by people and talent teams to create, or update, terms of employment. Our free downloadable hr contract templates empower businesses to establish. Human Resources Contract.
From www.proposalkit.com
Human Resources Legal Contract Pack Software and Templates Human Resources Contract Hr contracts are legal agreements used by people and talent teams to create, or update, terms of employment. Human resources (hr) revolves around building a strong and successful workforce. Our free downloadable hr contract templates empower businesses to establish clear terms, streamline partnerships, and present professional proposals. Human resource contracts are agreements between workers and their employers that outline the. Human Resources Contract.
From www.sampletemplates.com
FREE 5+ HR Contract Samples & Templates in PDF MS Word Google Docs Human Resources Contract Our hr services contract agreement template covers all the essential aspects of a contract between hr professionals or firms and their. Once signed by both the employer and employee,. Hr contracts are legal agreements used by people and talent teams to create, or update, terms of employment. Human resource contracts are agreements between workers and their employers that outline the. Human Resources Contract.
From create.innerchildfun.com
Human Resources Service Agreement Template Human Resources Contract Our free downloadable hr contract templates empower businesses to establish clear terms, streamline partnerships, and present professional proposals. Hr contracts are legal agreements used by people and talent teams to create, or update, terms of employment. Once signed by both the employer and employee,. Human resources (hr) revolves around building a strong and successful workforce. Human resource contracts are agreements. Human Resources Contract.
From www.rocketlawyer.com
Human Resources Contract HR Contract Agreement (Form With Sample) Human Resources Contract To achieve this, hr professionals. Our hr services contract agreement template covers all the essential aspects of a contract between hr professionals or firms and their. Once signed by both the employer and employee,. Human resource contracts are agreements between workers and their employers that outline the terms of a working. Hr contracts are legal agreements used by people and. Human Resources Contract.
From www.sampletemplates.com
FREE 12+ HR Agreement Samples & Templates in PDF MS Word Google Human Resources Contract Our free downloadable hr contract templates empower businesses to establish clear terms, streamline partnerships, and present professional proposals. Once signed by both the employer and employee,. Hr contracts are legal agreements used by people and talent teams to create, or update, terms of employment. Our hr services contract agreement template covers all the essential aspects of a contract between hr. Human Resources Contract.
From www.sampletemplates.com
FREE 11+ Sample HR Proposals in MS Word PDF Pages Google Docs Human Resources Contract The key lies in clm software. Our free downloadable hr contract templates empower businesses to establish clear terms, streamline partnerships, and present professional proposals. Our hr services contract agreement template covers all the essential aspects of a contract between hr professionals or firms and their. Hr contracts are legal agreements used by people and talent teams to create, or update,. Human Resources Contract.
From www.sampletemplates.com
FREE 5+ HR Contract Samples & Templates in PDF MS Word Google Docs Human Resources Contract Our free downloadable hr contract templates empower businesses to establish clear terms, streamline partnerships, and present professional proposals. To achieve this, hr professionals. The key lies in clm software. Human resources (hr) revolves around building a strong and successful workforce. Hr contracts are legal agreements used by people and talent teams to create, or update, terms of employment. Once signed. Human Resources Contract.
From www.template.net
8+ FREE HR Contract Templates Sample Word, Google Docs Example Format Human Resources Contract Human resource contracts are agreements between workers and their employers that outline the terms of a working. Human resources (hr) revolves around building a strong and successful workforce. Hr contracts are legal agreements used by people and talent teams to create, or update, terms of employment. Once signed by both the employer and employee,. The key lies in clm software.. Human Resources Contract.
From esign.com
Free Human Resources (HR) Consulting Agreement Template PDF Word Human Resources Contract Our hr services contract agreement template covers all the essential aspects of a contract between hr professionals or firms and their. Human resources (hr) revolves around building a strong and successful workforce. Hr contracts are legal agreements used by people and talent teams to create, or update, terms of employment. To achieve this, hr professionals. Our free downloadable hr contract. Human Resources Contract.
From www.template.net
8+ FREE HR Contract Templates Sample Word, Google Docs Example Format Human Resources Contract Human resources (hr) revolves around building a strong and successful workforce. Hr contracts are legal agreements used by people and talent teams to create, or update, terms of employment. To achieve this, hr professionals. The key lies in clm software. Human resource contracts are agreements between workers and their employers that outline the terms of a working. Our free downloadable. Human Resources Contract.
From eforms.com
Free Human Resources (HR) Consultant Agreement Template PDF Word Human Resources Contract Our free downloadable hr contract templates empower businesses to establish clear terms, streamline partnerships, and present professional proposals. To achieve this, hr professionals. Once signed by both the employer and employee,. The key lies in clm software. Human resource contracts are agreements between workers and their employers that outline the terms of a working. Human resources (hr) revolves around building. Human Resources Contract.
From www.examples.com
HR Contract 8+ Examples, Format, How to Develop, Pdf Human Resources Contract Hr contracts are legal agreements used by people and talent teams to create, or update, terms of employment. To achieve this, hr professionals. The key lies in clm software. Human resource contracts are agreements between workers and their employers that outline the terms of a working. Our hr services contract agreement template covers all the essential aspects of a contract. Human Resources Contract.
From www.examples.com
HR Contract 8+ Examples, Format, How to Develop, Pdf Human Resources Contract To achieve this, hr professionals. Once signed by both the employer and employee,. The key lies in clm software. Our hr services contract agreement template covers all the essential aspects of a contract between hr professionals or firms and their. Our free downloadable hr contract templates empower businesses to establish clear terms, streamline partnerships, and present professional proposals. Human resources. Human Resources Contract.
From www.slideteam.net
Agreement Terms For Human Resources Proposal Ppt Powerpoint Human Resources Contract To achieve this, hr professionals. Our free downloadable hr contract templates empower businesses to establish clear terms, streamline partnerships, and present professional proposals. Human resource contracts are agreements between workers and their employers that outline the terms of a working. The key lies in clm software. Our hr services contract agreement template covers all the essential aspects of a contract. Human Resources Contract.
From old.sermitsiaq.ag
Hr Consulting Agreement Template Human Resources Contract Hr contracts are legal agreements used by people and talent teams to create, or update, terms of employment. Our free downloadable hr contract templates empower businesses to establish clear terms, streamline partnerships, and present professional proposals. Human resources (hr) revolves around building a strong and successful workforce. Once signed by both the employer and employee,. Our hr services contract agreement. Human Resources Contract.
From www.sampletemplates.com
FREE 5+ HR Contract Samples & Templates in PDF MS Word Google Docs Human Resources Contract Once signed by both the employer and employee,. To achieve this, hr professionals. Hr contracts are legal agreements used by people and talent teams to create, or update, terms of employment. Human resources (hr) revolves around building a strong and successful workforce. Our free downloadable hr contract templates empower businesses to establish clear terms, streamline partnerships, and present professional proposals.. Human Resources Contract.
From www.examples.com
HR Contract 8+ Examples, Format, How to Develop, Pdf Human Resources Contract Human resources (hr) revolves around building a strong and successful workforce. Once signed by both the employer and employee,. Our free downloadable hr contract templates empower businesses to establish clear terms, streamline partnerships, and present professional proposals. To achieve this, hr professionals. The key lies in clm software. Our hr services contract agreement template covers all the essential aspects of. Human Resources Contract.
From discovermybusiness.co
Contract Template for Human Resources DiscoverMyBusiness Human Resources Contract The key lies in clm software. Human resources (hr) revolves around building a strong and successful workforce. Human resource contracts are agreements between workers and their employers that outline the terms of a working. Our hr services contract agreement template covers all the essential aspects of a contract between hr professionals or firms and their. Once signed by both the. Human Resources Contract.
From canadaletter3.blogspot.com
Hr Consultancy Agreement Letter Format Human Resources Contract The key lies in clm software. Once signed by both the employer and employee,. Hr contracts are legal agreements used by people and talent teams to create, or update, terms of employment. Human resources (hr) revolves around building a strong and successful workforce. Our free downloadable hr contract templates empower businesses to establish clear terms, streamline partnerships, and present professional. Human Resources Contract.
From ikase.us
Human Resources Consulting Proposal Template Human Resources Contract Our free downloadable hr contract templates empower businesses to establish clear terms, streamline partnerships, and present professional proposals. Human resource contracts are agreements between workers and their employers that outline the terms of a working. Our hr services contract agreement template covers all the essential aspects of a contract between hr professionals or firms and their. Once signed by both. Human Resources Contract.
From premiumdocuments.gumroad.com
Human Resources HR Consultant Agreement Human Resources Contract Human resource contracts are agreements between workers and their employers that outline the terms of a working. The key lies in clm software. Hr contracts are legal agreements used by people and talent teams to create, or update, terms of employment. Our hr services contract agreement template covers all the essential aspects of a contract between hr professionals or firms. Human Resources Contract.
From www.template.net
HR Agreement Template 7+ Free Word, PDF Format Download Human Resources Contract Our free downloadable hr contract templates empower businesses to establish clear terms, streamline partnerships, and present professional proposals. Hr contracts are legal agreements used by people and talent teams to create, or update, terms of employment. Human resources (hr) revolves around building a strong and successful workforce. Human resource contracts are agreements between workers and their employers that outline the. Human Resources Contract.
From www.orgcharting.com
Contract Management for Human Resources A Quick Guide with an Org Human Resources Contract Human resources (hr) revolves around building a strong and successful workforce. Our free downloadable hr contract templates empower businesses to establish clear terms, streamline partnerships, and present professional proposals. Our hr services contract agreement template covers all the essential aspects of a contract between hr professionals or firms and their. To achieve this, hr professionals. Human resource contracts are agreements. Human Resources Contract.