Smart Serve Final Test Quizlet . study with quizlet and memorise flashcards containing terms like the minimum age for someone to sell, serve, handle, or deliver. All staff, managers, licensees, and security. study free flashcards about smartserve questions created by oliviavirgo to improve your grades. Quiz yourself with questions and answers for smartserve exam practice, so you can be ready for test day. quiz yourself with questions and answers for smart serve final test prep, so you can be ready for test day. smart serve is now required for anyone working where alcohol is sold, served, delivered or handled. 4.7 (41 reviews) terms in this set (56) poor coordination and balance are always signs. Ace the exam with these crucial. this article will guide you through the smart serve practice test for 2024, detailing the final test exam format and providing tips to help you succeed. mastering smart serve:
from hookdupbarandgrill.com
Ace the exam with these crucial. study free flashcards about smartserve questions created by oliviavirgo to improve your grades. this article will guide you through the smart serve practice test for 2024, detailing the final test exam format and providing tips to help you succeed. smart serve is now required for anyone working where alcohol is sold, served, delivered or handled. study with quizlet and memorise flashcards containing terms like the minimum age for someone to sell, serve, handle, or deliver. mastering smart serve: 4.7 (41 reviews) terms in this set (56) poor coordination and balance are always signs. All staff, managers, licensees, and security. quiz yourself with questions and answers for smart serve final test prep, so you can be ready for test day. Quiz yourself with questions and answers for smartserve exam practice, so you can be ready for test day.
The Magic of ServSafe Test Preparation [2024]
Smart Serve Final Test Quizlet quiz yourself with questions and answers for smart serve final test prep, so you can be ready for test day. mastering smart serve: Quiz yourself with questions and answers for smartserve exam practice, so you can be ready for test day. study with quizlet and memorise flashcards containing terms like the minimum age for someone to sell, serve, handle, or deliver. smart serve is now required for anyone working where alcohol is sold, served, delivered or handled. Ace the exam with these crucial. this article will guide you through the smart serve practice test for 2024, detailing the final test exam format and providing tips to help you succeed. quiz yourself with questions and answers for smart serve final test prep, so you can be ready for test day. All staff, managers, licensees, and security. study free flashcards about smartserve questions created by oliviavirgo to improve your grades. 4.7 (41 reviews) terms in this set (56) poor coordination and balance are always signs.
From www.scribd.com
Smart serve pre test PDF Smart Serve Final Test Quizlet All staff, managers, licensees, and security. quiz yourself with questions and answers for smart serve final test prep, so you can be ready for test day. Ace the exam with these crucial. study free flashcards about smartserve questions created by oliviavirgo to improve your grades. 4.7 (41 reviews) terms in this set (56) poor coordination and balance are. Smart Serve Final Test Quizlet.
From www.studypool.com
SOLUTION Smart serve exam questions and answers 2023 Studypool Smart Serve Final Test Quizlet All staff, managers, licensees, and security. 4.7 (41 reviews) terms in this set (56) poor coordination and balance are always signs. Quiz yourself with questions and answers for smartserve exam practice, so you can be ready for test day. Ace the exam with these crucial. study free flashcards about smartserve questions created by oliviavirgo to improve your grades. . Smart Serve Final Test Quizlet.
From www.studypool.com
SOLUTION Smart serve practice test with verified answers Studypool Smart Serve Final Test Quizlet Ace the exam with these crucial. smart serve is now required for anyone working where alcohol is sold, served, delivered or handled. this article will guide you through the smart serve practice test for 2024, detailing the final test exam format and providing tips to help you succeed. 4.7 (41 reviews) terms in this set (56) poor coordination. Smart Serve Final Test Quizlet.
From www.studypool.com
SOLUTION Smart serve practice test with verified answers Studypool Smart Serve Final Test Quizlet smart serve is now required for anyone working where alcohol is sold, served, delivered or handled. 4.7 (41 reviews) terms in this set (56) poor coordination and balance are always signs. study with quizlet and memorise flashcards containing terms like the minimum age for someone to sell, serve, handle, or deliver. study free flashcards about smartserve questions. Smart Serve Final Test Quizlet.
From smartserve.ca
Recertification Smart Serve Smart Serve Final Test Quizlet Ace the exam with these crucial. study free flashcards about smartserve questions created by oliviavirgo to improve your grades. 4.7 (41 reviews) terms in this set (56) poor coordination and balance are always signs. study with quizlet and memorise flashcards containing terms like the minimum age for someone to sell, serve, handle, or deliver. Quiz yourself with questions. Smart Serve Final Test Quizlet.
From www.studypool.com
SOLUTION 4 smart serve exam with correct answers 2023 2024 Studypool Smart Serve Final Test Quizlet Ace the exam with these crucial. 4.7 (41 reviews) terms in this set (56) poor coordination and balance are always signs. mastering smart serve: this article will guide you through the smart serve practice test for 2024, detailing the final test exam format and providing tips to help you succeed. study with quizlet and memorise flashcards containing. Smart Serve Final Test Quizlet.
From www.docsity.com
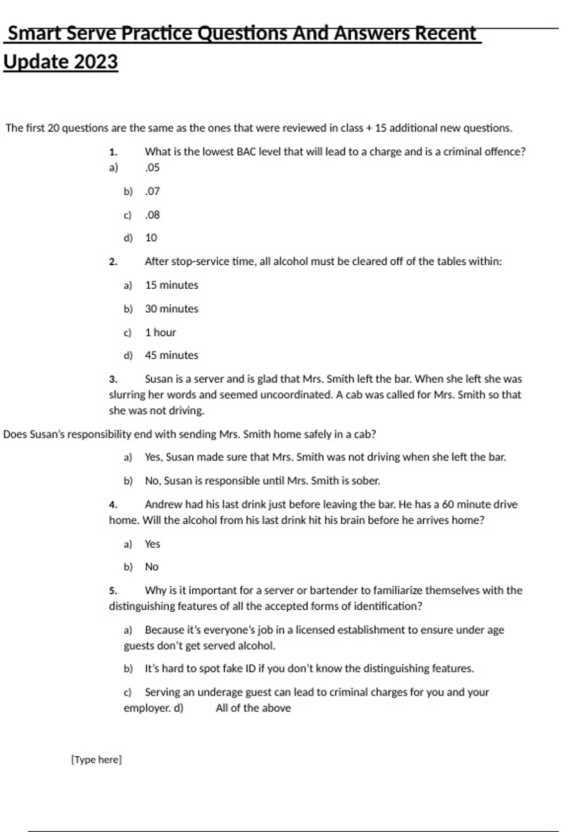
Smart Serve Practice Questions And Answers Recent Update 2023 Smart Serve Final Test Quizlet Ace the exam with these crucial. All staff, managers, licensees, and security. this article will guide you through the smart serve practice test for 2024, detailing the final test exam format and providing tips to help you succeed. study with quizlet and memorise flashcards containing terms like the minimum age for someone to sell, serve, handle, or deliver.. Smart Serve Final Test Quizlet.
From conlapohar.weebly.com
!!LINK!! Smart Serve Test Answers 2019 Smart Serve Final Test Quizlet 4.7 (41 reviews) terms in this set (56) poor coordination and balance are always signs. this article will guide you through the smart serve practice test for 2024, detailing the final test exam format and providing tips to help you succeed. study free flashcards about smartserve questions created by oliviavirgo to improve your grades. quiz yourself with. Smart Serve Final Test Quizlet.
From www.studypool.com
SOLUTION Smart serve exam questions and answers 2023 Studypool Smart Serve Final Test Quizlet smart serve is now required for anyone working where alcohol is sold, served, delivered or handled. 4.7 (41 reviews) terms in this set (56) poor coordination and balance are always signs. quiz yourself with questions and answers for smart serve final test prep, so you can be ready for test day. All staff, managers, licensees, and security. . Smart Serve Final Test Quizlet.
From www.studypool.com
SOLUTION Smart serve test with 100 Studypool Smart Serve Final Test Quizlet quiz yourself with questions and answers for smart serve final test prep, so you can be ready for test day. smart serve is now required for anyone working where alcohol is sold, served, delivered or handled. Ace the exam with these crucial. Quiz yourself with questions and answers for smartserve exam practice, so you can be ready for. Smart Serve Final Test Quizlet.
From www.studypool.com
SOLUTION Ontario smart serve test questions and answers 100 correct Smart Serve Final Test Quizlet this article will guide you through the smart serve practice test for 2024, detailing the final test exam format and providing tips to help you succeed. study free flashcards about smartserve questions created by oliviavirgo to improve your grades. Ace the exam with these crucial. quiz yourself with questions and answers for smart serve final test prep,. Smart Serve Final Test Quizlet.
From www.studypool.com
SOLUTION Smart serve test with latest actual exam completed 2023 Smart Serve Final Test Quizlet Quiz yourself with questions and answers for smartserve exam practice, so you can be ready for test day. study with quizlet and memorise flashcards containing terms like the minimum age for someone to sell, serve, handle, or deliver. All staff, managers, licensees, and security. mastering smart serve: 4.7 (41 reviews) terms in this set (56) poor coordination and. Smart Serve Final Test Quizlet.
From gotestprep.com
Smart Serve Practice Test 2022 Question Answer Quiz) Smart Serve Final Test Quizlet Ace the exam with these crucial. All staff, managers, licensees, and security. 4.7 (41 reviews) terms in this set (56) poor coordination and balance are always signs. Quiz yourself with questions and answers for smartserve exam practice, so you can be ready for test day. this article will guide you through the smart serve practice test for 2024, detailing. Smart Serve Final Test Quizlet.
From smartserve.ca
Refresh Smart Serve Smart Serve Final Test Quizlet smart serve is now required for anyone working where alcohol is sold, served, delivered or handled. mastering smart serve: quiz yourself with questions and answers for smart serve final test prep, so you can be ready for test day. Ace the exam with these crucial. 4.7 (41 reviews) terms in this set (56) poor coordination and balance. Smart Serve Final Test Quizlet.
From www.studypool.com
SOLUTION 3 smart serve final exam 2023 2024 questions and answers Smart Serve Final Test Quizlet quiz yourself with questions and answers for smart serve final test prep, so you can be ready for test day. Quiz yourself with questions and answers for smartserve exam practice, so you can be ready for test day. study with quizlet and memorise flashcards containing terms like the minimum age for someone to sell, serve, handle, or deliver.. Smart Serve Final Test Quizlet.
From www.studypool.com
SOLUTION Smart serve exam questions and answers 2023 Studypool Smart Serve Final Test Quizlet mastering smart serve: 4.7 (41 reviews) terms in this set (56) poor coordination and balance are always signs. study with quizlet and memorise flashcards containing terms like the minimum age for someone to sell, serve, handle, or deliver. Quiz yourself with questions and answers for smartserve exam practice, so you can be ready for test day. quiz. Smart Serve Final Test Quizlet.
From hookdupbarandgrill.com
The Magic of ServSafe Test Preparation [2024] Smart Serve Final Test Quizlet this article will guide you through the smart serve practice test for 2024, detailing the final test exam format and providing tips to help you succeed. Quiz yourself with questions and answers for smartserve exam practice, so you can be ready for test day. study with quizlet and memorise flashcards containing terms like the minimum age for someone. Smart Serve Final Test Quizlet.
From www.studypool.com
SOLUTION Smart serve exam questions and answers 2023 Studypool Smart Serve Final Test Quizlet quiz yourself with questions and answers for smart serve final test prep, so you can be ready for test day. study free flashcards about smartserve questions created by oliviavirgo to improve your grades. this article will guide you through the smart serve practice test for 2024, detailing the final test exam format and providing tips to help. Smart Serve Final Test Quizlet.
From browsegrades.net
Smart Serve Practice Test 2022 Browsegrades Smart Serve Final Test Quizlet smart serve is now required for anyone working where alcohol is sold, served, delivered or handled. All staff, managers, licensees, and security. study free flashcards about smartserve questions created by oliviavirgo to improve your grades. this article will guide you through the smart serve practice test for 2024, detailing the final test exam format and providing tips. Smart Serve Final Test Quizlet.
From browsegrades.net
Smart Serve Exam 2022 Questions and Answers Browsegrades Smart Serve Final Test Quizlet Ace the exam with these crucial. 4.7 (41 reviews) terms in this set (56) poor coordination and balance are always signs. mastering smart serve: Quiz yourself with questions and answers for smartserve exam practice, so you can be ready for test day. quiz yourself with questions and answers for smart serve final test prep, so you can be. Smart Serve Final Test Quizlet.
From www.studypool.com
SOLUTION Smart serve study questions with verified answers Studypool Smart Serve Final Test Quizlet smart serve is now required for anyone working where alcohol is sold, served, delivered or handled. All staff, managers, licensees, and security. Quiz yourself with questions and answers for smartserve exam practice, so you can be ready for test day. quiz yourself with questions and answers for smart serve final test prep, so you can be ready for. Smart Serve Final Test Quizlet.
From browsegrades.net
Smart Serve Practice Test latest 2022/2023 Browsegrades Smart Serve Final Test Quizlet Quiz yourself with questions and answers for smartserve exam practice, so you can be ready for test day. 4.7 (41 reviews) terms in this set (56) poor coordination and balance are always signs. study with quizlet and memorise flashcards containing terms like the minimum age for someone to sell, serve, handle, or deliver. study free flashcards about smartserve. Smart Serve Final Test Quizlet.
From docmerit.com
Ontario Smart Serve Test Questions and Answers (100 Correct) 2023 Smart Serve Final Test Quizlet study with quizlet and memorise flashcards containing terms like the minimum age for someone to sell, serve, handle, or deliver. study free flashcards about smartserve questions created by oliviavirgo to improve your grades. mastering smart serve: quiz yourself with questions and answers for smart serve final test prep, so you can be ready for test day.. Smart Serve Final Test Quizlet.
From studylib.net
Tips for Slowing down the service Smart Serve Final version Smart Serve Final Test Quizlet this article will guide you through the smart serve practice test for 2024, detailing the final test exam format and providing tips to help you succeed. 4.7 (41 reviews) terms in this set (56) poor coordination and balance are always signs. Ace the exam with these crucial. study with quizlet and memorise flashcards containing terms like the minimum. Smart Serve Final Test Quizlet.
From browsegrades.net
SMART SERVE Test Exam (2023 2024) Verified Solution Browsegrades Smart Serve Final Test Quizlet this article will guide you through the smart serve practice test for 2024, detailing the final test exam format and providing tips to help you succeed. study free flashcards about smartserve questions created by oliviavirgo to improve your grades. All staff, managers, licensees, and security. Quiz yourself with questions and answers for smartserve exam practice, so you can. Smart Serve Final Test Quizlet.
From www.stuvia.com
Smart Serve Practice Questions And Answers Recent Update 2023 CHPLN Smart Serve Final Test Quizlet study free flashcards about smartserve questions created by oliviavirgo to improve your grades. All staff, managers, licensees, and security. this article will guide you through the smart serve practice test for 2024, detailing the final test exam format and providing tips to help you succeed. smart serve is now required for anyone working where alcohol is sold,. Smart Serve Final Test Quizlet.
From bartendertraining.ca
12 Questions About the Smart Serve Certification Test Bartender Training Smart Serve Final Test Quizlet Ace the exam with these crucial. Quiz yourself with questions and answers for smartserve exam practice, so you can be ready for test day. study with quizlet and memorise flashcards containing terms like the minimum age for someone to sell, serve, handle, or deliver. mastering smart serve: quiz yourself with questions and answers for smart serve final. Smart Serve Final Test Quizlet.
From www.studypool.com
SOLUTION Smart serve exam questions and answers Studypool Smart Serve Final Test Quizlet Ace the exam with these crucial. 4.7 (41 reviews) terms in this set (56) poor coordination and balance are always signs. Quiz yourself with questions and answers for smartserve exam practice, so you can be ready for test day. quiz yourself with questions and answers for smart serve final test prep, so you can be ready for test day.. Smart Serve Final Test Quizlet.
From browsegrades.net
Smart Serve Exam 110 Questions with Correct Answers Browsegrades Smart Serve Final Test Quizlet Ace the exam with these crucial. study free flashcards about smartserve questions created by oliviavirgo to improve your grades. All staff, managers, licensees, and security. mastering smart serve: Quiz yourself with questions and answers for smartserve exam practice, so you can be ready for test day. study with quizlet and memorise flashcards containing terms like the minimum. Smart Serve Final Test Quizlet.
From www.studypool.com
SOLUTION 3 smart serve final exam 2023 2024 questions and answers Smart Serve Final Test Quizlet study with quizlet and memorise flashcards containing terms like the minimum age for someone to sell, serve, handle, or deliver. this article will guide you through the smart serve practice test for 2024, detailing the final test exam format and providing tips to help you succeed. study free flashcards about smartserve questions created by oliviavirgo to improve. Smart Serve Final Test Quizlet.
From browsegrades.net
Smart Serve Practice Test Questions and Answers Browsegrades Smart Serve Final Test Quizlet quiz yourself with questions and answers for smart serve final test prep, so you can be ready for test day. this article will guide you through the smart serve practice test for 2024, detailing the final test exam format and providing tips to help you succeed. smart serve is now required for anyone working where alcohol is. Smart Serve Final Test Quizlet.
From www.studypool.com
SOLUTION Smart serve practice test with verified answers Studypool Smart Serve Final Test Quizlet quiz yourself with questions and answers for smart serve final test prep, so you can be ready for test day. All staff, managers, licensees, and security. smart serve is now required for anyone working where alcohol is sold, served, delivered or handled. study with quizlet and memorise flashcards containing terms like the minimum age for someone to. Smart Serve Final Test Quizlet.
From browsegrades.net
Smart Serve Exam 2022/2023 (questions and answers ) Browsegrades Smart Serve Final Test Quizlet quiz yourself with questions and answers for smart serve final test prep, so you can be ready for test day. Ace the exam with these crucial. mastering smart serve: 4.7 (41 reviews) terms in this set (56) poor coordination and balance are always signs. Quiz yourself with questions and answers for smartserve exam practice, so you can be. Smart Serve Final Test Quizlet.
From rowher.saisonsdumonde.fr
Smart Serve Practice Test 2021 Canada, Ontario (FREE PDF) Smart Serve Final Test Quizlet study free flashcards about smartserve questions created by oliviavirgo to improve your grades. this article will guide you through the smart serve practice test for 2024, detailing the final test exam format and providing tips to help you succeed. smart serve is now required for anyone working where alcohol is sold, served, delivered or handled. All staff,. Smart Serve Final Test Quizlet.
From browsegrades.net
SMART SERVE TEST 2022/2023 Browsegrades Smart Serve Final Test Quizlet quiz yourself with questions and answers for smart serve final test prep, so you can be ready for test day. study free flashcards about smartserve questions created by oliviavirgo to improve your grades. this article will guide you through the smart serve practice test for 2024, detailing the final test exam format and providing tips to help. Smart Serve Final Test Quizlet.