Formula Sheet S1 . S1 mathematical models in probability and statistics; The formulae in this booklet have been arranged according to the. List of formulae and statistical tables cambridge international as & a level mathematics (9709) and further mathematics (9231) for use from. • answer all questions and ensure that your. Representation and summary of data; Fill in the boxes at the top of this page with your name, centre number and candidate number. There are no formulae provided for decision mathematics unit d1. The formulae in this booklet have been arranged according to the unit in which they are first introduced. Given that p(l) = 0.4, p(b) = 0.13, p(c) = 0.3 and the events l and c are independent, (b) find the value of p, (c) find the value of q, the value of r. It provides formulas and concepts relating to probability, statistics, representation of data through.
from www.thestudentroom.co.uk
Representation and summary of data; It provides formulas and concepts relating to probability, statistics, representation of data through. List of formulae and statistical tables cambridge international as & a level mathematics (9709) and further mathematics (9231) for use from. There are no formulae provided for decision mathematics unit d1. S1 mathematical models in probability and statistics; The formulae in this booklet have been arranged according to the. Given that p(l) = 0.4, p(b) = 0.13, p(c) = 0.3 and the events l and c are independent, (b) find the value of p, (c) find the value of q, the value of r. The formulae in this booklet have been arranged according to the unit in which they are first introduced. • answer all questions and ensure that your. Fill in the boxes at the top of this page with your name, centre number and candidate number.
edexcel S1 probability The Student Room
Formula Sheet S1 Fill in the boxes at the top of this page with your name, centre number and candidate number. Representation and summary of data; • answer all questions and ensure that your. The formulae in this booklet have been arranged according to the. S1 mathematical models in probability and statistics; There are no formulae provided for decision mathematics unit d1. It provides formulas and concepts relating to probability, statistics, representation of data through. List of formulae and statistical tables cambridge international as & a level mathematics (9709) and further mathematics (9231) for use from. Fill in the boxes at the top of this page with your name, centre number and candidate number. Given that p(l) = 0.4, p(b) = 0.13, p(c) = 0.3 and the events l and c are independent, (b) find the value of p, (c) find the value of q, the value of r. The formulae in this booklet have been arranged according to the unit in which they are first introduced.
From www.bilibili.com
A Level 数学公式手册_Formula Booklet/EdexcelIAL 哔哩哔哩 Formula Sheet S1 It provides formulas and concepts relating to probability, statistics, representation of data through. The formulae in this booklet have been arranged according to the. Representation and summary of data; The formulae in this booklet have been arranged according to the unit in which they are first introduced. S1 mathematical models in probability and statistics; List of formulae and statistical tables. Formula Sheet S1.
From www.studypool.com
SOLUTION Maths S1 formulas Alevels Studypool Formula Sheet S1 List of formulae and statistical tables cambridge international as & a level mathematics (9709) and further mathematics (9231) for use from. There are no formulae provided for decision mathematics unit d1. The formulae in this booklet have been arranged according to the. • answer all questions and ensure that your. Representation and summary of data; S1 mathematical models in probability. Formula Sheet S1.
From www.scribd.com
FEEG1002 Formula Sheet S1 and S2 201516 PDF Trigonometric Formula Sheet S1 Fill in the boxes at the top of this page with your name, centre number and candidate number. S1 mathematical models in probability and statistics; There are no formulae provided for decision mathematics unit d1. The formulae in this booklet have been arranged according to the. It provides formulas and concepts relating to probability, statistics, representation of data through. The. Formula Sheet S1.
From www.studocu.com
Formula Sheet For Physics last page formula sheet Formula Sheet for Formula Sheet S1 Fill in the boxes at the top of this page with your name, centre number and candidate number. • answer all questions and ensure that your. Representation and summary of data; S1 mathematical models in probability and statistics; List of formulae and statistical tables cambridge international as & a level mathematics (9709) and further mathematics (9231) for use from. The. Formula Sheet S1.
From www.bilibili.com
A Level 数学公式手册_Formula Booklet/EdexcelIAL 哔哩哔哩 Formula Sheet S1 Fill in the boxes at the top of this page with your name, centre number and candidate number. Representation and summary of data; Given that p(l) = 0.4, p(b) = 0.13, p(c) = 0.3 and the events l and c are independent, (b) find the value of p, (c) find the value of q, the value of r. • answer. Formula Sheet S1.
From www.scribd.com
Formula+data Sheet For Edexcel Ial Math PDF Waves Electronvolt Formula Sheet S1 There are no formulae provided for decision mathematics unit d1. Fill in the boxes at the top of this page with your name, centre number and candidate number. S1 mathematical models in probability and statistics; The formulae in this booklet have been arranged according to the unit in which they are first introduced. • answer all questions and ensure that. Formula Sheet S1.
From www.studocu.com
BSNS114 S1 2020 Formula Sheet TURN OVER FORMULA SHEET FOR BSNS114 Formula Sheet S1 Fill in the boxes at the top of this page with your name, centre number and candidate number. Representation and summary of data; It provides formulas and concepts relating to probability, statistics, representation of data through. The formulae in this booklet have been arranged according to the unit in which they are first introduced. Given that p(l) = 0.4, p(b). Formula Sheet S1.
From www.studypool.com
SOLUTION Maths S1 formulas Alevels Studypool Formula Sheet S1 The formulae in this booklet have been arranged according to the. List of formulae and statistical tables cambridge international as & a level mathematics (9709) and further mathematics (9231) for use from. • answer all questions and ensure that your. Given that p(l) = 0.4, p(b) = 0.13, p(c) = 0.3 and the events l and c are independent, (b). Formula Sheet S1.
From www.studocu.com
Formula sheet 2 Formula Sheet Suppose that we observe n observations Formula Sheet S1 There are no formulae provided for decision mathematics unit d1. • answer all questions and ensure that your. Representation and summary of data; List of formulae and statistical tables cambridge international as & a level mathematics (9709) and further mathematics (9231) for use from. The formulae in this booklet have been arranged according to the. It provides formulas and concepts. Formula Sheet S1.
From www.studocu.com
FIN111 Formula Sheet FORMULA SHEET Time value of money Simple Formula Sheet S1 Representation and summary of data; There are no formulae provided for decision mathematics unit d1. It provides formulas and concepts relating to probability, statistics, representation of data through. The formulae in this booklet have been arranged according to the unit in which they are first introduced. Given that p(l) = 0.4, p(b) = 0.13, p(c) = 0.3 and the events. Formula Sheet S1.
From www.thestudentroom.co.uk
S1 Conditional Probability Questions The Student Room Formula Sheet S1 The formulae in this booklet have been arranged according to the. • answer all questions and ensure that your. Fill in the boxes at the top of this page with your name, centre number and candidate number. S1 mathematical models in probability and statistics; There are no formulae provided for decision mathematics unit d1. It provides formulas and concepts relating. Formula Sheet S1.
From getrevising.co.uk
S1 formula to remember Image in A Level and IB Mathematics Formula Sheet S1 Fill in the boxes at the top of this page with your name, centre number and candidate number. It provides formulas and concepts relating to probability, statistics, representation of data through. Given that p(l) = 0.4, p(b) = 0.13, p(c) = 0.3 and the events l and c are independent, (b) find the value of p, (c) find the value. Formula Sheet S1.
From www.studypool.com
SOLUTION Maths S1 formulas Alevels Studypool Formula Sheet S1 Given that p(l) = 0.4, p(b) = 0.13, p(c) = 0.3 and the events l and c are independent, (b) find the value of p, (c) find the value of q, the value of r. It provides formulas and concepts relating to probability, statistics, representation of data through. List of formulae and statistical tables cambridge international as & a level. Formula Sheet S1.
From www.youtube.com
Probability the formulae (Edexcel IAL S1 Chapter 4 ) YouTube Formula Sheet S1 The formulae in this booklet have been arranged according to the. The formulae in this booklet have been arranged according to the unit in which they are first introduced. It provides formulas and concepts relating to probability, statistics, representation of data through. • answer all questions and ensure that your. List of formulae and statistical tables cambridge international as &. Formula Sheet S1.
From www.studocu.com
FIM S1 2020 Mid Sem Exam Formula Sheet Financial Institutions Formula Sheet S1 S1 mathematical models in probability and statistics; Representation and summary of data; List of formulae and statistical tables cambridge international as & a level mathematics (9709) and further mathematics (9231) for use from. • answer all questions and ensure that your. There are no formulae provided for decision mathematics unit d1. The formulae in this booklet have been arranged according. Formula Sheet S1.
From www.scribd.com
Formula Sheet For S1 Edexcel PDF Formula Sheet S1 Fill in the boxes at the top of this page with your name, centre number and candidate number. List of formulae and statistical tables cambridge international as & a level mathematics (9709) and further mathematics (9231) for use from. Given that p(l) = 0.4, p(b) = 0.13, p(c) = 0.3 and the events l and c are independent, (b) find. Formula Sheet S1.
From www.slideshare.net
IGCSE Formula Sheet Formula Sheet S1 The formulae in this booklet have been arranged according to the unit in which they are first introduced. Fill in the boxes at the top of this page with your name, centre number and candidate number. It provides formulas and concepts relating to probability, statistics, representation of data through. List of formulae and statistical tables cambridge international as & a. Formula Sheet S1.
From www.thestudentroom.co.uk
S1 normal distribution! The Student Room Formula Sheet S1 Given that p(l) = 0.4, p(b) = 0.13, p(c) = 0.3 and the events l and c are independent, (b) find the value of p, (c) find the value of q, the value of r. The formulae in this booklet have been arranged according to the. Fill in the boxes at the top of this page with your name, centre. Formula Sheet S1.
From www.chegg.com
Solved Worksheet S1 Chemical Formulas \& Equations 1. Using Formula Sheet S1 Fill in the boxes at the top of this page with your name, centre number and candidate number. Given that p(l) = 0.4, p(b) = 0.13, p(c) = 0.3 and the events l and c are independent, (b) find the value of p, (c) find the value of q, the value of r. The formulae in this booklet have been. Formula Sheet S1.
From www.studocu.com
Formula Sheets 2023 20 Formulae Sheet 𝑥 = 1 𝑛 𝑥! " ! 𝑠 = 1 𝑛 − Formula Sheet S1 Given that p(l) = 0.4, p(b) = 0.13, p(c) = 0.3 and the events l and c are independent, (b) find the value of p, (c) find the value of q, the value of r. • answer all questions and ensure that your. Fill in the boxes at the top of this page with your name, centre number and candidate. Formula Sheet S1.
From www.thestudentroom.co.uk
edexcel S1 probability The Student Room Formula Sheet S1 Representation and summary of data; S1 mathematical models in probability and statistics; The formulae in this booklet have been arranged according to the. There are no formulae provided for decision mathematics unit d1. Given that p(l) = 0.4, p(b) = 0.13, p(c) = 0.3 and the events l and c are independent, (b) find the value of p, (c) find. Formula Sheet S1.
From www.studocu.com
ACCT233 Final Exam Formula Sheet S1, 2023 Formula Sheet Topic Time Formula Sheet S1 The formulae in this booklet have been arranged according to the. S1 mathematical models in probability and statistics; There are no formulae provided for decision mathematics unit d1. It provides formulas and concepts relating to probability, statistics, representation of data through. Given that p(l) = 0.4, p(b) = 0.13, p(c) = 0.3 and the events l and c are independent,. Formula Sheet S1.
From studylib.net
Mathematics Formula Sheet & Explanation Formula Sheet S1 It provides formulas and concepts relating to probability, statistics, representation of data through. The formulae in this booklet have been arranged according to the unit in which they are first introduced. Representation and summary of data; Fill in the boxes at the top of this page with your name, centre number and candidate number. List of formulae and statistical tables. Formula Sheet S1.
From www.studocu.com
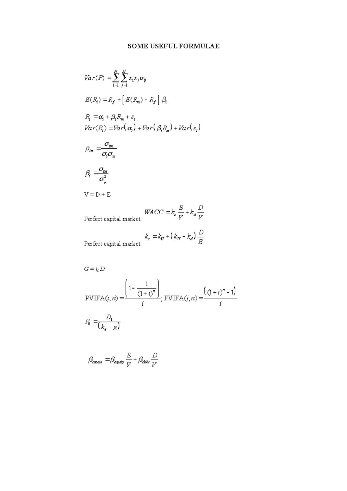
Formula Sheet for Final Exam S1 2020 SOME USEFUL FORMULAE 1 1 ( ) N N Formula Sheet S1 The formulae in this booklet have been arranged according to the unit in which they are first introduced. The formulae in this booklet have been arranged according to the. Representation and summary of data; Given that p(l) = 0.4, p(b) = 0.13, p(c) = 0.3 and the events l and c are independent, (b) find the value of p, (c). Formula Sheet S1.
From www.chegg.com
Solved Using Equation, calculate S1 through S4 for the integra Formula Sheet S1 Given that p(l) = 0.4, p(b) = 0.13, p(c) = 0.3 and the events l and c are independent, (b) find the value of p, (c) find the value of q, the value of r. • answer all questions and ensure that your. S1 mathematical models in probability and statistics; It provides formulas and concepts relating to probability, statistics, representation. Formula Sheet S1.
From www.studocu.com
S1 2023 Formula sheet Page 1 of 2 Formula Sheet Geometric mean [( 1 Formula Sheet S1 S1 mathematical models in probability and statistics; • answer all questions and ensure that your. Representation and summary of data; The formulae in this booklet have been arranged according to the. It provides formulas and concepts relating to probability, statistics, representation of data through. List of formulae and statistical tables cambridge international as & a level mathematics (9709) and further. Formula Sheet S1.
From www.studocu.com
Formula sheet MICROECONOMICS 1 School of Business © 2019, SAIT Formula Sheet S1 List of formulae and statistical tables cambridge international as & a level mathematics (9709) and further mathematics (9231) for use from. It provides formulas and concepts relating to probability, statistics, representation of data through. There are no formulae provided for decision mathematics unit d1. • answer all questions and ensure that your. The formulae in this booklet have been arranged. Formula Sheet S1.
From www.studocu.com
QBUS1040 formula sheet QBUS1040 Final Exam S1 2023 Formula Sheet a T Formula Sheet S1 Given that p(l) = 0.4, p(b) = 0.13, p(c) = 0.3 and the events l and c are independent, (b) find the value of p, (c) find the value of q, the value of r. Representation and summary of data; • answer all questions and ensure that your. List of formulae and statistical tables cambridge international as & a level. Formula Sheet S1.
From www.studypool.com
SOLUTION Maths S1 formulas Alevels Studypool Formula Sheet S1 List of formulae and statistical tables cambridge international as & a level mathematics (9709) and further mathematics (9231) for use from. There are no formulae provided for decision mathematics unit d1. • answer all questions and ensure that your. Fill in the boxes at the top of this page with your name, centre number and candidate number. Given that p(l). Formula Sheet S1.
From www.studocu.com
Formula Sheet Final Exam S1 2023 BFF3121/BFB3121 Formula Sheet 𝑁𝐴𝑉 Formula Sheet S1 The formulae in this booklet have been arranged according to the unit in which they are first introduced. • answer all questions and ensure that your. The formulae in this booklet have been arranged according to the. Fill in the boxes at the top of this page with your name, centre number and candidate number. Given that p(l) = 0.4,. Formula Sheet S1.
From www.researchgate.net
(PDF) Formulas S1 Formula Sheet S1 List of formulae and statistical tables cambridge international as & a level mathematics (9709) and further mathematics (9231) for use from. S1 mathematical models in probability and statistics; It provides formulas and concepts relating to probability, statistics, representation of data through. There are no formulae provided for decision mathematics unit d1. Given that p(l) = 0.4, p(b) = 0.13, p(c). Formula Sheet S1.
From www.studypool.com
SOLUTION Class 12 physics formula sheet 1 Studypool Formula Sheet S1 It provides formulas and concepts relating to probability, statistics, representation of data through. List of formulae and statistical tables cambridge international as & a level mathematics (9709) and further mathematics (9231) for use from. The formulae in this booklet have been arranged according to the unit in which they are first introduced. The formulae in this booklet have been arranged. Formula Sheet S1.
From armsingle10.pythonanywhere.com
Perfect Edexcel S1 Formula Sheet Uncertainty Propagation Calculator Formula Sheet S1 It provides formulas and concepts relating to probability, statistics, representation of data through. There are no formulae provided for decision mathematics unit d1. • answer all questions and ensure that your. List of formulae and statistical tables cambridge international as & a level mathematics (9709) and further mathematics (9231) for use from. The formulae in this booklet have been arranged. Formula Sheet S1.
From www.studeersnel.nl
Probability Theory VU BA Little Formula Sheet Week 10 Formula Sheet Formula Sheet S1 There are no formulae provided for decision mathematics unit d1. It provides formulas and concepts relating to probability, statistics, representation of data through. Given that p(l) = 0.4, p(b) = 0.13, p(c) = 0.3 and the events l and c are independent, (b) find the value of p, (c) find the value of q, the value of r. • answer. Formula Sheet S1.
From www.hannahtuition.com
S1 algebra worksheet 1 Hannahtuition Formula Sheet S1 It provides formulas and concepts relating to probability, statistics, representation of data through. Fill in the boxes at the top of this page with your name, centre number and candidate number. The formulae in this booklet have been arranged according to the. List of formulae and statistical tables cambridge international as & a level mathematics (9709) and further mathematics (9231). Formula Sheet S1.