How Long Is A New York Judgment Good For . A judgment in new york is generally enforceable for 20 years from the date it was entered. In new york state, money judgments are valid for 20 years. In new york, creditors can attempt to collect on judgments and judgment liens for up to 20 years total. New york state judgments are valid for 20 years. A judgment can act as a lien on real property for ten years which may be extended for an additional term if you to take affirmative action. Although a new york money judgment is enforceable for 20 years (see cplr 211 (b)), a real property lien resulting from the. If you have just discovered that a judgment was entered against you, don’t wait, judgments can last up to 20 years in ny state. Money judgments recorded in the county in. Judgments in new york act as a lien on real property in the county where the judgment.
from www.uslegalforms.com
Money judgments recorded in the county in. A judgment can act as a lien on real property for ten years which may be extended for an additional term if you to take affirmative action. New york state judgments are valid for 20 years. Although a new york money judgment is enforceable for 20 years (see cplr 211 (b)), a real property lien resulting from the. In new york, creditors can attempt to collect on judgments and judgment liens for up to 20 years total. If you have just discovered that a judgment was entered against you, don’t wait, judgments can last up to 20 years in ny state. Judgments in new york act as a lien on real property in the county where the judgment. In new york state, money judgments are valid for 20 years. A judgment in new york is generally enforceable for 20 years from the date it was entered.
New York Satisfaction of Judgment Satisfaction Of Judgment New York
How Long Is A New York Judgment Good For New york state judgments are valid for 20 years. In new york state, money judgments are valid for 20 years. Judgments in new york act as a lien on real property in the county where the judgment. In new york, creditors can attempt to collect on judgments and judgment liens for up to 20 years total. A judgment can act as a lien on real property for ten years which may be extended for an additional term if you to take affirmative action. A judgment in new york is generally enforceable for 20 years from the date it was entered. If you have just discovered that a judgment was entered against you, don’t wait, judgments can last up to 20 years in ny state. New york state judgments are valid for 20 years. Money judgments recorded in the county in. Although a new york money judgment is enforceable for 20 years (see cplr 211 (b)), a real property lien resulting from the.
From www.templateroller.com
New York Default Judgment an Judgment of Foreclosure and Sale Fill How Long Is A New York Judgment Good For Money judgments recorded in the county in. In new york state, money judgments are valid for 20 years. A judgment can act as a lien on real property for ten years which may be extended for an additional term if you to take affirmative action. Judgments in new york act as a lien on real property in the county where. How Long Is A New York Judgment Good For.
From www.uslegalforms.com
Queens New York Satisfaction of Judgment Satisfaction Judgment Court How Long Is A New York Judgment Good For In new york state, money judgments are valid for 20 years. Judgments in new york act as a lien on real property in the county where the judgment. If you have just discovered that a judgment was entered against you, don’t wait, judgments can last up to 20 years in ny state. A judgment in new york is generally enforceable. How Long Is A New York Judgment Good For.
From www.uslegalforms.com
New York Judgment of Default New York Judgment Default US Legal Forms How Long Is A New York Judgment Good For Judgments in new york act as a lien on real property in the county where the judgment. In new york, creditors can attempt to collect on judgments and judgment liens for up to 20 years total. New york state judgments are valid for 20 years. If you have just discovered that a judgment was entered against you, don’t wait, judgments. How Long Is A New York Judgment Good For.
From www.self.inc
What Is an Outstanding Judgment and How Does It Work? Self. Credit How Long Is A New York Judgment Good For In new york, creditors can attempt to collect on judgments and judgment liens for up to 20 years total. If you have just discovered that a judgment was entered against you, don’t wait, judgments can last up to 20 years in ny state. Judgments in new york act as a lien on real property in the county where the judgment.. How Long Is A New York Judgment Good For.
From www.uslegalforms.com
Money Judgment New York Form Fill and Sign Printable Template Online How Long Is A New York Judgment Good For In new york, creditors can attempt to collect on judgments and judgment liens for up to 20 years total. If you have just discovered that a judgment was entered against you, don’t wait, judgments can last up to 20 years in ny state. Judgments in new york act as a lien on real property in the county where the judgment.. How Long Is A New York Judgment Good For.
From www.uslegalforms.com
Yonkers New York Affidavit and Confession of Judgment on Bail Bond How Long Is A New York Judgment Good For Although a new york money judgment is enforceable for 20 years (see cplr 211 (b)), a real property lien resulting from the. In new york, creditors can attempt to collect on judgments and judgment liens for up to 20 years total. Money judgments recorded in the county in. In new york state, money judgments are valid for 20 years. A. How Long Is A New York Judgment Good For.
From www.templateroller.com
Oneida County, New York Judgment of Foreclosure and Sale Fill Out How Long Is A New York Judgment Good For In new york, creditors can attempt to collect on judgments and judgment liens for up to 20 years total. If you have just discovered that a judgment was entered against you, don’t wait, judgments can last up to 20 years in ny state. Although a new york money judgment is enforceable for 20 years (see cplr 211 (b)), a real. How Long Is A New York Judgment Good For.
From www.uslegalforms.com
New York Judgment of Default New York Judgment Default US Legal Forms How Long Is A New York Judgment Good For In new york, creditors can attempt to collect on judgments and judgment liens for up to 20 years total. If you have just discovered that a judgment was entered against you, don’t wait, judgments can last up to 20 years in ny state. Money judgments recorded in the county in. New york state judgments are valid for 20 years. A. How Long Is A New York Judgment Good For.
From nahoumlaw.com
What is a New York Transcript of Judgment? The Law Offices of Robert How Long Is A New York Judgment Good For Money judgments recorded in the county in. Although a new york money judgment is enforceable for 20 years (see cplr 211 (b)), a real property lien resulting from the. A judgment can act as a lien on real property for ten years which may be extended for an additional term if you to take affirmative action. If you have just. How Long Is A New York Judgment Good For.
From www.pdffiller.com
new york judgment Doc Template pdfFiller How Long Is A New York Judgment Good For In new york, creditors can attempt to collect on judgments and judgment liens for up to 20 years total. If you have just discovered that a judgment was entered against you, don’t wait, judgments can last up to 20 years in ny state. A judgment in new york is generally enforceable for 20 years from the date it was entered.. How Long Is A New York Judgment Good For.
From www.uslegalforms.com
New York Satisfaction of Judgment Satisfaction Of Judgment New York How Long Is A New York Judgment Good For In new york state, money judgments are valid for 20 years. In new york, creditors can attempt to collect on judgments and judgment liens for up to 20 years total. A judgment can act as a lien on real property for ten years which may be extended for an additional term if you to take affirmative action. Although a new. How Long Is A New York Judgment Good For.
From www.uslegalforms.com
New York Satisfaction of Judgment Satisfaction Of Judgment New York How Long Is A New York Judgment Good For Judgments in new york act as a lien on real property in the county where the judgment. In new york, creditors can attempt to collect on judgments and judgment liens for up to 20 years total. If you have just discovered that a judgment was entered against you, don’t wait, judgments can last up to 20 years in ny state.. How Long Is A New York Judgment Good For.
From www.uslegalforms.com
Rochester New York Satisfaction of Judgment Satisfaction Of Judgment How Long Is A New York Judgment Good For If you have just discovered that a judgment was entered against you, don’t wait, judgments can last up to 20 years in ny state. Money judgments recorded in the county in. Judgments in new york act as a lien on real property in the county where the judgment. A judgment can act as a lien on real property for ten. How Long Is A New York Judgment Good For.
From www.blumberg.com
Blumberg New York Judgment Forms for Default Judgment How Long Is A New York Judgment Good For A judgment can act as a lien on real property for ten years which may be extended for an additional term if you to take affirmative action. Money judgments recorded in the county in. Although a new york money judgment is enforceable for 20 years (see cplr 211 (b)), a real property lien resulting from the. In new york, creditors. How Long Is A New York Judgment Good For.
From www.romanolaw.com
Confession of Judgment in New York Romano Law How Long Is A New York Judgment Good For Although a new york money judgment is enforceable for 20 years (see cplr 211 (b)), a real property lien resulting from the. A judgment in new york is generally enforceable for 20 years from the date it was entered. A judgment can act as a lien on real property for ten years which may be extended for an additional term. How Long Is A New York Judgment Good For.
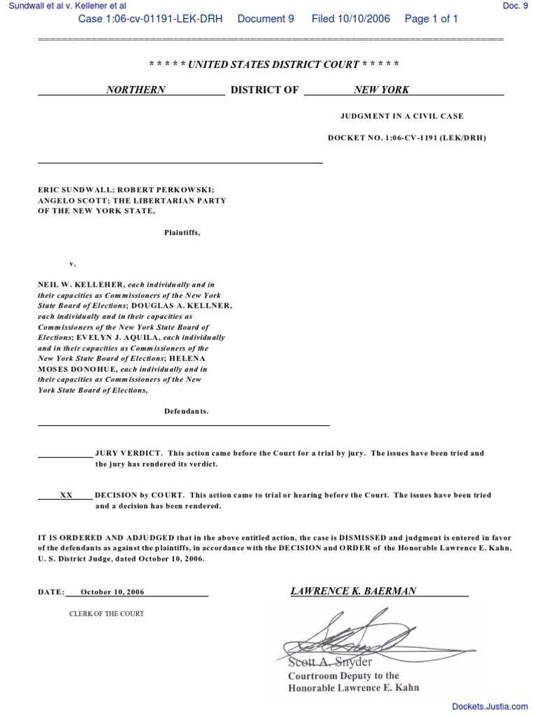
From www.scribd.com
United States District Court * * * * * Northern District Of New York How Long Is A New York Judgment Good For Money judgments recorded in the county in. In new york state, money judgments are valid for 20 years. A judgment can act as a lien on real property for ten years which may be extended for an additional term if you to take affirmative action. Judgments in new york act as a lien on real property in the county where. How Long Is A New York Judgment Good For.
From formspal.com
Ny Judgment Form ≡ Fill Out Printable PDF Forms Online How Long Is A New York Judgment Good For Although a new york money judgment is enforceable for 20 years (see cplr 211 (b)), a real property lien resulting from the. If you have just discovered that a judgment was entered against you, don’t wait, judgments can last up to 20 years in ny state. Money judgments recorded in the county in. In new york, creditors can attempt to. How Long Is A New York Judgment Good For.
From www.uslegalforms.com
New York Civil Judgment Order Judgment Order Pdf US Legal Forms How Long Is A New York Judgment Good For Judgments in new york act as a lien on real property in the county where the judgment. A judgment in new york is generally enforceable for 20 years from the date it was entered. Money judgments recorded in the county in. Although a new york money judgment is enforceable for 20 years (see cplr 211 (b)), a real property lien. How Long Is A New York Judgment Good For.
From formspal.com
Judgment New York Supreme Court PDF Form FormsPal How Long Is A New York Judgment Good For Money judgments recorded in the county in. A judgment in new york is generally enforceable for 20 years from the date it was entered. Judgments in new york act as a lien on real property in the county where the judgment. If you have just discovered that a judgment was entered against you, don’t wait, judgments can last up to. How Long Is A New York Judgment Good For.
From www.uslegalforms.com
New York Affidavit for Judgment by Confession US Legal Forms How Long Is A New York Judgment Good For New york state judgments are valid for 20 years. A judgment in new york is generally enforceable for 20 years from the date it was entered. If you have just discovered that a judgment was entered against you, don’t wait, judgments can last up to 20 years in ny state. In new york, creditors can attempt to collect on judgments. How Long Is A New York Judgment Good For.
From trellis.law
COUNTY COURT ORDER/JUDGMENT People Of The State Of New York v How Long Is A New York Judgment Good For Although a new york money judgment is enforceable for 20 years (see cplr 211 (b)), a real property lien resulting from the. Money judgments recorded in the county in. Judgments in new york act as a lien on real property in the county where the judgment. A judgment can act as a lien on real property for ten years which. How Long Is A New York Judgment Good For.
From www.uslegalforms.com
Kings New York Affidavit for Judgment by Confession for Money Due How Long Is A New York Judgment Good For New york state judgments are valid for 20 years. In new york, creditors can attempt to collect on judgments and judgment liens for up to 20 years total. Money judgments recorded in the county in. If you have just discovered that a judgment was entered against you, don’t wait, judgments can last up to 20 years in ny state. A. How Long Is A New York Judgment Good For.
From www.blumberg.com
Blumberg New York Judgment Forms How Long Is A New York Judgment Good For A judgment in new york is generally enforceable for 20 years from the date it was entered. Although a new york money judgment is enforceable for 20 years (see cplr 211 (b)), a real property lien resulting from the. A judgment can act as a lien on real property for ten years which may be extended for an additional term. How Long Is A New York Judgment Good For.
From www.uslegalforms.com
New York Civil Judgment Order Judgment Order Pdf US Legal Forms How Long Is A New York Judgment Good For New york state judgments are valid for 20 years. Although a new york money judgment is enforceable for 20 years (see cplr 211 (b)), a real property lien resulting from the. Money judgments recorded in the county in. A judgment in new york is generally enforceable for 20 years from the date it was entered. In new york, creditors can. How Long Is A New York Judgment Good For.
From www.uslegalforms.com
Money Judgment New York Form For Divorce US Legal Forms How Long Is A New York Judgment Good For In new york state, money judgments are valid for 20 years. In new york, creditors can attempt to collect on judgments and judgment liens for up to 20 years total. Money judgments recorded in the county in. Although a new york money judgment is enforceable for 20 years (see cplr 211 (b)), a real property lien resulting from the. If. How Long Is A New York Judgment Good For.
From www.uslegalforms.com
New York Judgment of Default New York Judgment Default US Legal Forms How Long Is A New York Judgment Good For New york state judgments are valid for 20 years. In new york, creditors can attempt to collect on judgments and judgment liens for up to 20 years total. Money judgments recorded in the county in. Although a new york money judgment is enforceable for 20 years (see cplr 211 (b)), a real property lien resulting from the. If you have. How Long Is A New York Judgment Good For.
From www.blumberg.com
Blumberg New York Judgment Forms for Default Judgment How Long Is A New York Judgment Good For A judgment can act as a lien on real property for ten years which may be extended for an additional term if you to take affirmative action. In new york state, money judgments are valid for 20 years. In new york, creditors can attempt to collect on judgments and judgment liens for up to 20 years total. A judgment in. How Long Is A New York Judgment Good For.
From www.uslegalforms.com
New York Notice of Judgment of Partition Sale Ny Notice Judgment US How Long Is A New York Judgment Good For New york state judgments are valid for 20 years. A judgment can act as a lien on real property for ten years which may be extended for an additional term if you to take affirmative action. A judgment in new york is generally enforceable for 20 years from the date it was entered. Money judgments recorded in the county in.. How Long Is A New York Judgment Good For.
From www.uslegalforms.com
New York Satisfaction of Judgment Satisfaction Of Judgment US Legal How Long Is A New York Judgment Good For Money judgments recorded in the county in. In new york, creditors can attempt to collect on judgments and judgment liens for up to 20 years total. Although a new york money judgment is enforceable for 20 years (see cplr 211 (b)), a real property lien resulting from the. New york state judgments are valid for 20 years. In new york. How Long Is A New York Judgment Good For.
From www.blumberg.com
Blumberg New York Judgment Forms for Default Judgment How Long Is A New York Judgment Good For Money judgments recorded in the county in. If you have just discovered that a judgment was entered against you, don’t wait, judgments can last up to 20 years in ny state. In new york state, money judgments are valid for 20 years. A judgment in new york is generally enforceable for 20 years from the date it was entered. A. How Long Is A New York Judgment Good For.
From www.uslegalforms.com
Suffolk New York Motion for Summary Judgment on Behalf of Defendant How Long Is A New York Judgment Good For New york state judgments are valid for 20 years. Judgments in new york act as a lien on real property in the county where the judgment. Money judgments recorded in the county in. In new york, creditors can attempt to collect on judgments and judgment liens for up to 20 years total. A judgment in new york is generally enforceable. How Long Is A New York Judgment Good For.
From denner-shop-test-web02.denner.ch
What Is A Summary Judgement In Court How Long Is A New York Judgment Good For A judgment in new york is generally enforceable for 20 years from the date it was entered. Although a new york money judgment is enforceable for 20 years (see cplr 211 (b)), a real property lien resulting from the. New york state judgments are valid for 20 years. Money judgments recorded in the county in. In new york state, money. How Long Is A New York Judgment Good For.
From www.uslegalforms.com
Bronx New York Judgment Affidavit US Legal Forms How Long Is A New York Judgment Good For Judgments in new york act as a lien on real property in the county where the judgment. In new york, creditors can attempt to collect on judgments and judgment liens for up to 20 years total. In new york state, money judgments are valid for 20 years. New york state judgments are valid for 20 years. A judgment in new. How Long Is A New York Judgment Good For.
From www.templateroller.com
New York Order of Reference and Default Judgment Fill Out, Sign How Long Is A New York Judgment Good For If you have just discovered that a judgment was entered against you, don’t wait, judgments can last up to 20 years in ny state. New york state judgments are valid for 20 years. Judgments in new york act as a lien on real property in the county where the judgment. A judgment in new york is generally enforceable for 20. How Long Is A New York Judgment Good For.
From www.uslegalforms.com
New York Amended Statement for Judgment New York Judgment US Legal How Long Is A New York Judgment Good For In new york, creditors can attempt to collect on judgments and judgment liens for up to 20 years total. New york state judgments are valid for 20 years. A judgment in new york is generally enforceable for 20 years from the date it was entered. If you have just discovered that a judgment was entered against you, don’t wait, judgments. How Long Is A New York Judgment Good For.