Is Current Measured In Volts . The ammeter is in series with. Voltage is measured in volts, current is measured in amps and. It can be likened to the pressure in a. Measured in volts (v), voltage serves as the driving factor behind the flow of current. You need to know how to measure the current that flows through a component in a circuit and the voltage across it. The three most basic units in electricity are voltage (v), current (i, uppercase i) and resistance (r). This difference in charge between the two points is called voltage. One point has more charge than another. It is measured in volts, which,. Voltage is the measure of electric potential energy per unit charge, while current is the flow of electric charge through a circuit. Voltage difference and electric current are two of the most important concepts in electronics, so learning the.
from www.chegg.com
One point has more charge than another. Measured in volts (v), voltage serves as the driving factor behind the flow of current. Voltage is the measure of electric potential energy per unit charge, while current is the flow of electric charge through a circuit. It can be likened to the pressure in a. The three most basic units in electricity are voltage (v), current (i, uppercase i) and resistance (r). Voltage difference and electric current are two of the most important concepts in electronics, so learning the. It is measured in volts, which,. Voltage is measured in volts, current is measured in amps and. This difference in charge between the two points is called voltage. You need to know how to measure the current that flows through a component in a circuit and the voltage across it.
Solved 1. A current of 1 mA is sent through a silicon diode.
Is Current Measured In Volts Voltage is the measure of electric potential energy per unit charge, while current is the flow of electric charge through a circuit. The ammeter is in series with. Measured in volts (v), voltage serves as the driving factor behind the flow of current. It can be likened to the pressure in a. You need to know how to measure the current that flows through a component in a circuit and the voltage across it. Voltage difference and electric current are two of the most important concepts in electronics, so learning the. Voltage is the measure of electric potential energy per unit charge, while current is the flow of electric charge through a circuit. This difference in charge between the two points is called voltage. It is measured in volts, which,. One point has more charge than another. The three most basic units in electricity are voltage (v), current (i, uppercase i) and resistance (r). Voltage is measured in volts, current is measured in amps and.
From www.chegg.com
Solved 1. A current of 1 mA is sent through a silicon diode. Is Current Measured In Volts This difference in charge between the two points is called voltage. The ammeter is in series with. Voltage is measured in volts, current is measured in amps and. It can be likened to the pressure in a. The three most basic units in electricity are voltage (v), current (i, uppercase i) and resistance (r). One point has more charge than. Is Current Measured In Volts.
From www.aemind.com
What is Current How is Electric Current Measured in Circuits Is Current Measured In Volts Measured in volts (v), voltage serves as the driving factor behind the flow of current. This difference in charge between the two points is called voltage. Voltage is the measure of electric potential energy per unit charge, while current is the flow of electric charge through a circuit. It is measured in volts, which,. You need to know how to. Is Current Measured In Volts.
From www.angi.com
Amps vs. Volts What's the Difference? Is Current Measured In Volts It is measured in volts, which,. This difference in charge between the two points is called voltage. Measured in volts (v), voltage serves as the driving factor behind the flow of current. Voltage difference and electric current are two of the most important concepts in electronics, so learning the. The three most basic units in electricity are voltage (v), current. Is Current Measured In Volts.
From studylib.net
What is current measured in Is Current Measured In Volts It is measured in volts, which,. The ammeter is in series with. It can be likened to the pressure in a. One point has more charge than another. This difference in charge between the two points is called voltage. Voltage difference and electric current are two of the most important concepts in electronics, so learning the. Measured in volts (v),. Is Current Measured In Volts.
From www.electricity-magnetism.org
How is voltage measured? Is Current Measured In Volts One point has more charge than another. The three most basic units in electricity are voltage (v), current (i, uppercase i) and resistance (r). Voltage is measured in volts, current is measured in amps and. The ammeter is in series with. It can be likened to the pressure in a. Voltage is the measure of electric potential energy per unit. Is Current Measured In Volts.
From w20.b2m.cz
Conversão De Volts Para Watts EDUCA Is Current Measured In Volts Voltage difference and electric current are two of the most important concepts in electronics, so learning the. The ammeter is in series with. Voltage is measured in volts, current is measured in amps and. The three most basic units in electricity are voltage (v), current (i, uppercase i) and resistance (r). Measured in volts (v), voltage serves as the driving. Is Current Measured In Volts.
From twyfordy11physics.blogspot.com
Y11 Additional GCSE Physics Measuring Electric Current Is Current Measured In Volts It can be likened to the pressure in a. The three most basic units in electricity are voltage (v), current (i, uppercase i) and resistance (r). The ammeter is in series with. This difference in charge between the two points is called voltage. Voltage difference and electric current are two of the most important concepts in electronics, so learning the.. Is Current Measured In Volts.
From dengarden.com
How to Understand Electricity Volts, Amps and Watts Explained on Is Current Measured In Volts It can be likened to the pressure in a. The three most basic units in electricity are voltage (v), current (i, uppercase i) and resistance (r). Measured in volts (v), voltage serves as the driving factor behind the flow of current. Voltage is measured in volts, current is measured in amps and. It is measured in volts, which,. You need. Is Current Measured In Volts.
From abigayle-kvincent.blogspot.com
Is Current Measured in Series or Parallel Is Current Measured In Volts It can be likened to the pressure in a. It is measured in volts, which,. You need to know how to measure the current that flows through a component in a circuit and the voltage across it. Voltage difference and electric current are two of the most important concepts in electronics, so learning the. Measured in volts (v), voltage serves. Is Current Measured In Volts.
From www.carboncollective.co
Kilovolt (KV) What It Is, How It Works, & Its Applications Is Current Measured In Volts Voltage is measured in volts, current is measured in amps and. You need to know how to measure the current that flows through a component in a circuit and the voltage across it. Voltage difference and electric current are two of the most important concepts in electronics, so learning the. One point has more charge than another. This difference in. Is Current Measured In Volts.
From slideplayer.com
Today we are going to look at Current Measured in “Amperes” or “Amps Is Current Measured In Volts The ammeter is in series with. It is measured in volts, which,. This difference in charge between the two points is called voltage. Voltage is measured in volts, current is measured in amps and. It can be likened to the pressure in a. One point has more charge than another. The three most basic units in electricity are voltage (v),. Is Current Measured In Volts.
From www.alamy.com
Voltmeter dial. Dial of an old voltmeter designed to measure 020 volts Is Current Measured In Volts Voltage difference and electric current are two of the most important concepts in electronics, so learning the. Voltage is the measure of electric potential energy per unit charge, while current is the flow of electric charge through a circuit. You need to know how to measure the current that flows through a component in a circuit and the voltage across. Is Current Measured In Volts.
From www.bartleby.com
Answered Current is measured in Volts Amps Ohms bartleby Is Current Measured In Volts Voltage is measured in volts, current is measured in amps and. It is measured in volts, which,. Voltage is the measure of electric potential energy per unit charge, while current is the flow of electric charge through a circuit. The ammeter is in series with. One point has more charge than another. You need to know how to measure the. Is Current Measured In Volts.
From fowlerelectricnv.com
The Difference Between Volts and Amps Fowler Electric Is Current Measured In Volts It can be likened to the pressure in a. One point has more charge than another. This difference in charge between the two points is called voltage. The ammeter is in series with. Voltage difference and electric current are two of the most important concepts in electronics, so learning the. It is measured in volts, which,. Measured in volts (v),. Is Current Measured In Volts.
From www.sliderbase.com
Measuring voltage Is Current Measured In Volts It can be likened to the pressure in a. Voltage difference and electric current are two of the most important concepts in electronics, so learning the. The ammeter is in series with. Measured in volts (v), voltage serves as the driving factor behind the flow of current. One point has more charge than another. It is measured in volts, which,.. Is Current Measured In Volts.
From slideplayer.com
Video ppt download Is Current Measured In Volts It is measured in volts, which,. The three most basic units in electricity are voltage (v), current (i, uppercase i) and resistance (r). One point has more charge than another. Voltage difference and electric current are two of the most important concepts in electronics, so learning the. The ammeter is in series with. Voltage is measured in volts, current is. Is Current Measured In Volts.
From renewabletechy.com
What Is Power And Voltage? Renewable Tech Is Current Measured In Volts The three most basic units in electricity are voltage (v), current (i, uppercase i) and resistance (r). Voltage is the measure of electric potential energy per unit charge, while current is the flow of electric charge through a circuit. This difference in charge between the two points is called voltage. Voltage difference and electric current are two of the most. Is Current Measured In Volts.
From quizrapturised.z4.web.core.windows.net
Current Measured In Amps Is Current Measured In Volts One point has more charge than another. Measured in volts (v), voltage serves as the driving factor behind the flow of current. You need to know how to measure the current that flows through a component in a circuit and the voltage across it. This difference in charge between the two points is called voltage. Voltage is the measure of. Is Current Measured In Volts.
From diagramliboriginariosmb1.z13.web.core.windows.net
Electric Current And Ohm's Law Is Current Measured In Volts Voltage is measured in volts, current is measured in amps and. The three most basic units in electricity are voltage (v), current (i, uppercase i) and resistance (r). This difference in charge between the two points is called voltage. Measured in volts (v), voltage serves as the driving factor behind the flow of current. It can be likened to the. Is Current Measured In Volts.
From www.numerade.com
SOLVED Question3 When a battery is connected in an electrical Is Current Measured In Volts One point has more charge than another. The ammeter is in series with. Voltage is the measure of electric potential energy per unit charge, while current is the flow of electric charge through a circuit. This difference in charge between the two points is called voltage. Voltage difference and electric current are two of the most important concepts in electronics,. Is Current Measured In Volts.
From www.numerade.com
SOLVED The formula for the power output of a battery is P = VI RI Is Current Measured In Volts The ammeter is in series with. It is measured in volts, which,. Voltage difference and electric current are two of the most important concepts in electronics, so learning the. Voltage is measured in volts, current is measured in amps and. Measured in volts (v), voltage serves as the driving factor behind the flow of current. This difference in charge between. Is Current Measured In Volts.
From electricalengineeringmcq.com
Voltage is measured in Basic Electrical Engineering MCQ36 Is Current Measured In Volts It is measured in volts, which,. You need to know how to measure the current that flows through a component in a circuit and the voltage across it. It can be likened to the pressure in a. The ammeter is in series with. This difference in charge between the two points is called voltage. Voltage is measured in volts, current. Is Current Measured In Volts.
From slideplayer.com
The Electronic Computer Age ppt download Is Current Measured In Volts Voltage is the measure of electric potential energy per unit charge, while current is the flow of electric charge through a circuit. One point has more charge than another. Voltage difference and electric current are two of the most important concepts in electronics, so learning the. It is measured in volts, which,. This difference in charge between the two points. Is Current Measured In Volts.
From www.chegg.com
Solved (a) The potential difference pd (measured in volts, Is Current Measured In Volts One point has more charge than another. The ammeter is in series with. Voltage is measured in volts, current is measured in amps and. Voltage difference and electric current are two of the most important concepts in electronics, so learning the. You need to know how to measure the current that flows through a component in a circuit and the. Is Current Measured In Volts.
From studylib.net
MEASURING VOLTS Is Current Measured In Volts Measured in volts (v), voltage serves as the driving factor behind the flow of current. You need to know how to measure the current that flows through a component in a circuit and the voltage across it. The three most basic units in electricity are voltage (v), current (i, uppercase i) and resistance (r). Voltage difference and electric current are. Is Current Measured In Volts.
From www.numerade.com
SOLVED Ohm's law V = IR describes the relationship between the voltage Is Current Measured In Volts You need to know how to measure the current that flows through a component in a circuit and the voltage across it. The ammeter is in series with. Voltage difference and electric current are two of the most important concepts in electronics, so learning the. It can be likened to the pressure in a. Measured in volts (v), voltage serves. Is Current Measured In Volts.
From slideplayer.com
Electrical Concepts & Components ppt download Is Current Measured In Volts Voltage is the measure of electric potential energy per unit charge, while current is the flow of electric charge through a circuit. It is measured in volts, which,. You need to know how to measure the current that flows through a component in a circuit and the voltage across it. The ammeter is in series with. This difference in charge. Is Current Measured In Volts.
From electricalmag.com
Amps Vs Volt? What's the Difference ElectricalMag Is Current Measured In Volts It is measured in volts, which,. The three most basic units in electricity are voltage (v), current (i, uppercase i) and resistance (r). Voltage is the measure of electric potential energy per unit charge, while current is the flow of electric charge through a circuit. You need to know how to measure the current that flows through a component in. Is Current Measured In Volts.
From electricalengineeringmcq.com
Electric Current is measured in Basic Electrical Engineering MCQ37 Is Current Measured In Volts Voltage is the measure of electric potential energy per unit charge, while current is the flow of electric charge through a circuit. This difference in charge between the two points is called voltage. It is measured in volts, which,. It can be likened to the pressure in a. Measured in volts (v), voltage serves as the driving factor behind the. Is Current Measured In Volts.
From www.algebra.com
SOLUTION the electric current I(in amperes passing through the Is Current Measured In Volts It can be likened to the pressure in a. Voltage is the measure of electric potential energy per unit charge, while current is the flow of electric charge through a circuit. The three most basic units in electricity are voltage (v), current (i, uppercase i) and resistance (r). Measured in volts (v), voltage serves as the driving factor behind the. Is Current Measured In Volts.
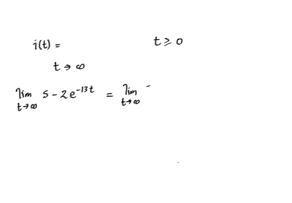
From www.numerade.com
SOLVED The current measured in amps in a certain electronic circuit Is Current Measured In Volts It is measured in volts, which,. It can be likened to the pressure in a. You need to know how to measure the current that flows through a component in a circuit and the voltage across it. This difference in charge between the two points is called voltage. Voltage difference and electric current are two of the most important concepts. Is Current Measured In Volts.
From slideplayer.com
ByJayli, Natalie, Evan, Daniel, Declan, Luke ppt download Is Current Measured In Volts Measured in volts (v), voltage serves as the driving factor behind the flow of current. It is measured in volts, which,. You need to know how to measure the current that flows through a component in a circuit and the voltage across it. The ammeter is in series with. It can be likened to the pressure in a. Voltage is. Is Current Measured In Volts.
From www.numerade.com
SOLVEDAlternating Current The voltage of an alternating current can be Is Current Measured In Volts The three most basic units in electricity are voltage (v), current (i, uppercase i) and resistance (r). You need to know how to measure the current that flows through a component in a circuit and the voltage across it. It can be likened to the pressure in a. Voltage is the measure of electric potential energy per unit charge, while. Is Current Measured In Volts.
From www.electrical4u.net
How to Measure Voltage and Current Electrical4u Is Current Measured In Volts You need to know how to measure the current that flows through a component in a circuit and the voltage across it. Voltage difference and electric current are two of the most important concepts in electronics, so learning the. Measured in volts (v), voltage serves as the driving factor behind the flow of current. The three most basic units in. Is Current Measured In Volts.
From electricalengineeringmcq.com
Electric Current is measured in Basic Electrical Engineering MCQ37 Is Current Measured In Volts Voltage difference and electric current are two of the most important concepts in electronics, so learning the. Voltage is the measure of electric potential energy per unit charge, while current is the flow of electric charge through a circuit. One point has more charge than another. Measured in volts (v), voltage serves as the driving factor behind the flow of. Is Current Measured In Volts.