Fixed Input Economics Definition . In the pizza example, the building is a fixed input. The restaurant owner signs a lease and is stuck in the building. Fixed inputs are those that can’t easily be increased or decreased in a short period of time. In the pizza example, the building is a fixed input. A fixed input is a factor of production that cannot be changed in the short run, such as the size of a factory or the number of machines. In the pizza example, the building is a fixed input. Fixed inputs are those that can’t easily be increased or decreased in a short period of time. Once the entrepreneur signs the lease, he or she is stuck in. Fixed inputs refer to the factors of production that cannot be easily or quickly changed in the short run. Fixed inputs are those that can’t easily be increased or decreased in a short period of time. An input in the production of goods and services that does not change in the short run. Examples of fixed inputs include. Fixed inputs incur costs that must be paid regardless of the level of output, known as fixed costs. In the pizza example, the building is a fixed input. A fixed input should be.
from www.chegg.com
Examples of fixed inputs include. These inputs, such as machinery, equipment, and. A fixed input is a factor of production that cannot be changed in the short run, such as the size of a factory or the number of machines. In the pizza example, the building is a fixed input. Fixed inputs are those that can’t easily be increased or decreased in a short period of time. In the pizza example, the building is a fixed input. In the pizza example, the building is a fixed input. Fixed inputs are those that can’t easily be increased or decreased in a short period of time. Fixed inputs are those that can’t easily be increased or decreased in a short period of time. Fixed inputs are those that can’t easily be increased or decreased in a short period of time.
Solved Question 13The market value of the inputs a firm uses
Fixed Input Economics Definition An input in the production of goods and services that does not change in the short run. In the pizza example, the building is a fixed input. Fixed inputs are those that can’t easily be increased or decreased in a short period of time. Fixed inputs are those that can’t easily be increased or decreased in a short period of time. A fixed input should be. In the pizza example, the building is a fixed input. These inputs, such as machinery, equipment, and. Fixed inputs incur costs that must be paid regardless of the level of output, known as fixed costs. Fixed inputs are those that can’t easily be increased or decreased in a short period of time. In the pizza example, the building is a fixed input. Once the entrepreneur signs the lease, he or she is stuck in. Fixed inputs refer to the factors of production that cannot be easily or quickly changed in the short run. In the pizza example, the building is a fixed input. The restaurant owner signs a lease and is stuck in the building. Examples of fixed inputs include. An input in the production of goods and services that does not change in the short run.
From loegppfac.blob.core.windows.net
What Does Cost Mean In Economics And Factors Which Affect The Fixed Input Economics Definition Fixed inputs are those that can’t easily be increased or decreased in a short period of time. Fixed inputs are those that can’t easily be increased or decreased in a short period of time. Fixed inputs incur costs that must be paid regardless of the level of output, known as fixed costs. Fixed inputs refer to the factors of production. Fixed Input Economics Definition.
From seonegativo.com
Running Economy Definition Fixed Input Economics Definition An input in the production of goods and services that does not change in the short run. Once the entrepreneur signs the lease, he or she is stuck in. Fixed inputs are those that can’t easily be increased or decreased in a short period of time. In the pizza example, the building is a fixed input. Fixed inputs refer to. Fixed Input Economics Definition.
From www.chegg.com
Solved Economic decision making problems can fall into which Fixed Input Economics Definition In the pizza example, the building is a fixed input. In the pizza example, the building is a fixed input. Fixed inputs are those that can’t easily be increased or decreased in a short period of time. These inputs, such as machinery, equipment, and. Fixed inputs incur costs that must be paid regardless of the level of output, known as. Fixed Input Economics Definition.
From www.slideserve.com
PPT Production Economics PowerPoint Presentation ID5709446 Fixed Input Economics Definition A fixed input should be. In the pizza example, the building is a fixed input. In the pizza example, the building is a fixed input. In the pizza example, the building is a fixed input. Fixed inputs incur costs that must be paid regardless of the level of output, known as fixed costs. Once the entrepreneur signs the lease, he. Fixed Input Economics Definition.
From www.chegg.com
Solved A characteristic of the long run isq,there are both Fixed Input Economics Definition A fixed input should be. Examples of fixed inputs include. In the pizza example, the building is a fixed input. In the pizza example, the building is a fixed input. The restaurant owner signs a lease and is stuck in the building. Fixed inputs incur costs that must be paid regardless of the level of output, known as fixed costs.. Fixed Input Economics Definition.
From www.chegg.com
Solved Question 13The market value of the inputs a firm uses Fixed Input Economics Definition These inputs, such as machinery, equipment, and. Fixed inputs are those that can’t easily be increased or decreased in a short period of time. Once the entrepreneur signs the lease, he or she is stuck in. A fixed input is a factor of production that cannot be changed in the short run, such as the size of a factory or. Fixed Input Economics Definition.
From www.slideserve.com
PPT Production and Costs in the Short Run PowerPoint Presentation Fixed Input Economics Definition Fixed inputs refer to the factors of production that cannot be easily or quickly changed in the short run. Fixed inputs are those that can’t easily be increased or decreased in a short period of time. In the pizza example, the building is a fixed input. A fixed input is a factor of production that cannot be changed in the. Fixed Input Economics Definition.
From www.slideserve.com
PPT Economics Lecture 3 PowerPoint Presentation, free download ID Fixed Input Economics Definition Fixed inputs refer to the factors of production that cannot be easily or quickly changed in the short run. Fixed inputs are those that can’t easily be increased or decreased in a short period of time. A fixed input should be. Fixed inputs are those that can’t easily be increased or decreased in a short period of time. A fixed. Fixed Input Economics Definition.
From tutorstips.in
Production Function Meaning and Types In Hindi Tutorstips.in Fixed Input Economics Definition A fixed input is a factor of production that cannot be changed in the short run, such as the size of a factory or the number of machines. The restaurant owner signs a lease and is stuck in the building. Examples of fixed inputs include. In the pizza example, the building is a fixed input. Fixed inputs are those that. Fixed Input Economics Definition.
From www.chegg.com
Inputs Labor, Capital, Land Fixed Inputs Variable Fixed Input Economics Definition Examples of fixed inputs include. The restaurant owner signs a lease and is stuck in the building. These inputs, such as machinery, equipment, and. Fixed inputs refer to the factors of production that cannot be easily or quickly changed in the short run. A fixed input is a factor of production that cannot be changed in the short run, such. Fixed Input Economics Definition.
From www.ndsu.edu
mvpmic Fixed Input Economics Definition A fixed input is a factor of production that cannot be changed in the short run, such as the size of a factory or the number of machines. Fixed inputs refer to the factors of production that cannot be easily or quickly changed in the short run. Fixed inputs are those that can’t easily be increased or decreased in a. Fixed Input Economics Definition.
From www.investopedia.com
Efficiency What It Means in Economics, the Formula To Measure It Fixed Input Economics Definition Fixed inputs are those that can’t easily be increased or decreased in a short period of time. Examples of fixed inputs include. Once the entrepreneur signs the lease, he or she is stuck in. These inputs, such as machinery, equipment, and. Fixed inputs incur costs that must be paid regardless of the level of output, known as fixed costs. Fixed. Fixed Input Economics Definition.
From www.chegg.com
Solved When the outputs are fixed in engineering economic Fixed Input Economics Definition In the pizza example, the building is a fixed input. Fixed inputs are those that can’t easily be increased or decreased in a short period of time. An input in the production of goods and services that does not change in the short run. Fixed inputs are those that can’t easily be increased or decreased in a short period of. Fixed Input Economics Definition.
From www.thebalancesmb.com
Fixed and Variable Costs When Operating a Business Fixed Input Economics Definition Fixed inputs incur costs that must be paid regardless of the level of output, known as fixed costs. A fixed input is a factor of production that cannot be changed in the short run, such as the size of a factory or the number of machines. The restaurant owner signs a lease and is stuck in the building. In the. Fixed Input Economics Definition.
From www.youtube.com
How to Solve for Maximum Output from Total Product Function YouTube Fixed Input Economics Definition Once the entrepreneur signs the lease, he or she is stuck in. Fixed inputs are those that can’t easily be increased or decreased in a short period of time. In the pizza example, the building is a fixed input. Fixed inputs are those that can’t easily be increased or decreased in a short period of time. In the pizza example,. Fixed Input Economics Definition.
From www.numerade.com
The three economic criteria for choosing the best alternative are Fixed Input Economics Definition These inputs, such as machinery, equipment, and. Fixed inputs refer to the factors of production that cannot be easily or quickly changed in the short run. Fixed inputs are those that can’t easily be increased or decreased in a short period of time. Fixed inputs are those that can’t easily be increased or decreased in a short period of time.. Fixed Input Economics Definition.
From www.chegg.com
Inputs Labor, Capital, Land Fixed Inputs Variable Fixed Input Economics Definition Fixed inputs are those that can’t easily be increased or decreased in a short period of time. Once the entrepreneur signs the lease, he or she is stuck in. A fixed input is a factor of production that cannot be changed in the short run, such as the size of a factory or the number of machines. The restaurant owner. Fixed Input Economics Definition.
From www.youtube.com
Reading Inputs & Outputs From a Graph YouTube Fixed Input Economics Definition Fixed inputs are those that can’t easily be increased or decreased in a short period of time. In the pizza example, the building is a fixed input. In the pizza example, the building is a fixed input. A fixed input is a factor of production that cannot be changed in the short run, such as the size of a factory. Fixed Input Economics Definition.
From www.numerade.com
SOLVED 2. (8 Points) What is the difference between fixed inputs and Fixed Input Economics Definition Fixed inputs refer to the factors of production that cannot be easily or quickly changed in the short run. An input in the production of goods and services that does not change in the short run. In the pizza example, the building is a fixed input. Fixed inputs are those that can’t easily be increased or decreased in a short. Fixed Input Economics Definition.
From www.youtube.com
production function with two variable input YouTube Fixed Input Economics Definition Once the entrepreneur signs the lease, he or she is stuck in. Fixed inputs incur costs that must be paid regardless of the level of output, known as fixed costs. Fixed inputs are those that can’t easily be increased or decreased in a short period of time. The restaurant owner signs a lease and is stuck in the building. In. Fixed Input Economics Definition.
From www.slideserve.com
PPT Chapter 6 Production Costs PowerPoint Presentation, free download Fixed Input Economics Definition Fixed inputs are those that can’t easily be increased or decreased in a short period of time. A fixed input should be. In the pizza example, the building is a fixed input. In the pizza example, the building is a fixed input. A fixed input is a factor of production that cannot be changed in the short run, such as. Fixed Input Economics Definition.
From commerceforward.blogspot.com
PRODUCTION FUNCTION RETURNS TO A FACTOR AND RETURNS TO SCALE Fixed Input Economics Definition The restaurant owner signs a lease and is stuck in the building. Fixed inputs refer to the factors of production that cannot be easily or quickly changed in the short run. Fixed inputs are those that can’t easily be increased or decreased in a short period of time. A fixed input should be. In the pizza example, the building is. Fixed Input Economics Definition.
From www.wikihow.com
How to Find Marginal Cost 11 Steps (with Pictures) wikiHow Fixed Input Economics Definition Once the entrepreneur signs the lease, he or she is stuck in. Fixed inputs are those that can’t easily be increased or decreased in a short period of time. Fixed inputs incur costs that must be paid regardless of the level of output, known as fixed costs. In the pizza example, the building is a fixed input. The restaurant owner. Fixed Input Economics Definition.
From www.slideserve.com
PPT Introduction to Operations Management PowerPoint Presentation Fixed Input Economics Definition In the pizza example, the building is a fixed input. An input in the production of goods and services that does not change in the short run. In the pizza example, the building is a fixed input. These inputs, such as machinery, equipment, and. A fixed input should be. Examples of fixed inputs include. Once the entrepreneur signs the lease,. Fixed Input Economics Definition.
From vertigowallpaper.blogspot.com
Is Most Likely To Be A Fixed Cost / But when your overhead is lower Fixed Input Economics Definition In the pizza example, the building is a fixed input. Fixed inputs refer to the factors of production that cannot be easily or quickly changed in the short run. An input in the production of goods and services that does not change in the short run. In the pizza example, the building is a fixed input. Fixed inputs are those. Fixed Input Economics Definition.
From www.chegg.com
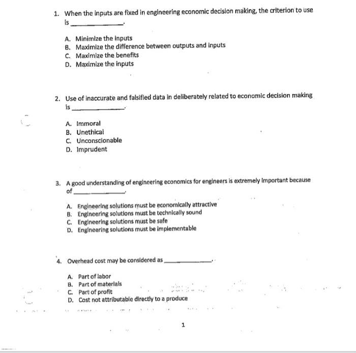
Solved 1. When the inputs are fixed in engineering economic Fixed Input Economics Definition Fixed inputs incur costs that must be paid regardless of the level of output, known as fixed costs. Fixed inputs are those that can’t easily be increased or decreased in a short period of time. These inputs, such as machinery, equipment, and. A fixed input is a factor of production that cannot be changed in the short run, such as. Fixed Input Economics Definition.
From www.youtube.com
Contingent (Conditional) Demand for Inputs Fixed Proportions YouTube Fixed Input Economics Definition An input in the production of goods and services that does not change in the short run. In the pizza example, the building is a fixed input. The restaurant owner signs a lease and is stuck in the building. In the pizza example, the building is a fixed input. These inputs, such as machinery, equipment, and. Fixed inputs are those. Fixed Input Economics Definition.
From www.coursehero.com
[Solved] A firm uses one variable input, labor, and one fixed input Fixed Input Economics Definition A fixed input is a factor of production that cannot be changed in the short run, such as the size of a factory or the number of machines. Fixed inputs refer to the factors of production that cannot be easily or quickly changed in the short run. Fixed inputs are those that can’t easily be increased or decreased in a. Fixed Input Economics Definition.
From joiytmunv.blob.core.windows.net
Fixed Cost Microeconomics at Fred Bremner blog Fixed Input Economics Definition Once the entrepreneur signs the lease, he or she is stuck in. The restaurant owner signs a lease and is stuck in the building. A fixed input should be. In the pizza example, the building is a fixed input. Examples of fixed inputs include. A fixed input is a factor of production that cannot be changed in the short run,. Fixed Input Economics Definition.
From www.economicshelp.org
Diagrams of Cost Curves Economics Help Fixed Input Economics Definition Fixed inputs refer to the factors of production that cannot be easily or quickly changed in the short run. Fixed inputs incur costs that must be paid regardless of the level of output, known as fixed costs. The restaurant owner signs a lease and is stuck in the building. Fixed inputs are those that can’t easily be increased or decreased. Fixed Input Economics Definition.
From www.chegg.com
Solved 1124Question 1Unanswered *2 attempts leftEconomic Fixed Input Economics Definition Fixed inputs are those that can’t easily be increased or decreased in a short period of time. These inputs, such as machinery, equipment, and. A fixed input is a factor of production that cannot be changed in the short run, such as the size of a factory or the number of machines. A fixed input should be. Fixed inputs are. Fixed Input Economics Definition.
From exyplhoas.blob.core.windows.net
Definition Marginal Cost Approach at Carly Gates blog Fixed Input Economics Definition In the pizza example, the building is a fixed input. In the pizza example, the building is a fixed input. In the pizza example, the building is a fixed input. A fixed input is a factor of production that cannot be changed in the short run, such as the size of a factory or the number of machines. Fixed inputs. Fixed Input Economics Definition.
From lexihub.org
Question Inputs Labor, Capital, Land Fixed Inputs Variable Inputs Fixed Input Economics Definition Fixed inputs are those that can’t easily be increased or decreased in a short period of time. In the pizza example, the building is a fixed input. A fixed input is a factor of production that cannot be changed in the short run, such as the size of a factory or the number of machines. The restaurant owner signs a. Fixed Input Economics Definition.
From byjus.com
Shapes Of Total Product, Marginal Product And Average Product Curves Fixed Input Economics Definition Examples of fixed inputs include. A fixed input should be. Fixed inputs refer to the factors of production that cannot be easily or quickly changed in the short run. The restaurant owner signs a lease and is stuck in the building. In the pizza example, the building is a fixed input. In the pizza example, the building is a fixed. Fixed Input Economics Definition.
From www.slideshare.net
Theory of Production Fixed Input Economics Definition Examples of fixed inputs include. Fixed inputs incur costs that must be paid regardless of the level of output, known as fixed costs. In the pizza example, the building is a fixed input. Fixed inputs are those that can’t easily be increased or decreased in a short period of time. These inputs, such as machinery, equipment, and. Once the entrepreneur. Fixed Input Economics Definition.