Extended Outline Example . An outline breaks down the parts of your thesis in a clear,. Find out the components, steps, and tips for creating a well. Learn how to plan the structure of your essay before you start writing with an essay outline. Learn how to construct an effective outline for your extended essay using different models of arrangement and formats. Explore different techniques and examples to organise your thoughts and. And having this simple extended outline will make writing your first draft super. See examples of outlines for different. Learn how to create a solid outline for your extended essay by defining your conclusion, ideas and evidence. Everyone always thinks extended outlines are a long process, but they really aren't. One way to plan a structure for your essay is by writing an outline.
from www.dexform.com
See examples of outlines for different. Find out the components, steps, and tips for creating a well. Learn how to create a solid outline for your extended essay by defining your conclusion, ideas and evidence. Everyone always thinks extended outlines are a long process, but they really aren't. Learn how to construct an effective outline for your extended essay using different models of arrangement and formats. One way to plan a structure for your essay is by writing an outline. Learn how to plan the structure of your essay before you start writing with an essay outline. An outline breaks down the parts of your thesis in a clear,. Explore different techniques and examples to organise your thoughts and. And having this simple extended outline will make writing your first draft super.
Extended essay skeleton outline template in Word and Pdf formats page 2 of 4
Extended Outline Example One way to plan a structure for your essay is by writing an outline. Everyone always thinks extended outlines are a long process, but they really aren't. Explore different techniques and examples to organise your thoughts and. Learn how to plan the structure of your essay before you start writing with an essay outline. An outline breaks down the parts of your thesis in a clear,. And having this simple extended outline will make writing your first draft super. Find out the components, steps, and tips for creating a well. Learn how to create a solid outline for your extended essay by defining your conclusion, ideas and evidence. See examples of outlines for different. One way to plan a structure for your essay is by writing an outline. Learn how to construct an effective outline for your extended essay using different models of arrangement and formats.
From www.slideserve.com
PPT How to Write an Extended Outline PowerPoint Presentation, free download ID1995720 Extended Outline Example Explore different techniques and examples to organise your thoughts and. Everyone always thinks extended outlines are a long process, but they really aren't. Learn how to plan the structure of your essay before you start writing with an essay outline. Learn how to create a solid outline for your extended essay by defining your conclusion, ideas and evidence. And having. Extended Outline Example.
From studylib.net
How to Write an Extended Outline Extended Outline Example Learn how to create a solid outline for your extended essay by defining your conclusion, ideas and evidence. Learn how to construct an effective outline for your extended essay using different models of arrangement and formats. An outline breaks down the parts of your thesis in a clear,. Learn how to plan the structure of your essay before you start. Extended Outline Example.
From www.sampletemplates.com
FREE 8+ Extended Essay Samples in MS Word PDF Extended Outline Example Explore different techniques and examples to organise your thoughts and. See examples of outlines for different. And having this simple extended outline will make writing your first draft super. Learn how to plan the structure of your essay before you start writing with an essay outline. Find out the components, steps, and tips for creating a well. Everyone always thinks. Extended Outline Example.
From nerdymates.com
How to Write an Extended Essay The Fullest Guide Extended Outline Example Learn how to construct an effective outline for your extended essay using different models of arrangement and formats. See examples of outlines for different. Explore different techniques and examples to organise your thoughts and. Learn how to plan the structure of your essay before you start writing with an essay outline. Learn how to create a solid outline for your. Extended Outline Example.
From www.slideshare.net
Aartc.extended.outline Extended Outline Example An outline breaks down the parts of your thesis in a clear,. One way to plan a structure for your essay is by writing an outline. Learn how to create a solid outline for your extended essay by defining your conclusion, ideas and evidence. Everyone always thinks extended outlines are a long process, but they really aren't. Find out the. Extended Outline Example.
From www.slideshare.net
Example Extended Step Outline Extended Outline Example Everyone always thinks extended outlines are a long process, but they really aren't. Learn how to plan the structure of your essay before you start writing with an essay outline. See examples of outlines for different. And having this simple extended outline will make writing your first draft super. Learn how to construct an effective outline for your extended essay. Extended Outline Example.
From wr1ter.com
Essay Outline Definition, 5Level Format, Styles, and Types Wr1ter Extended Outline Example And having this simple extended outline will make writing your first draft super. One way to plan a structure for your essay is by writing an outline. An outline breaks down the parts of your thesis in a clear,. Learn how to plan the structure of your essay before you start writing with an essay outline. Learn how to create. Extended Outline Example.
From www.dotxes.com
30+ Essay Outline Templates (Free Samples, Examples and Formats) Extended Outline Example Learn how to construct an effective outline for your extended essay using different models of arrangement and formats. Find out the components, steps, and tips for creating a well. One way to plan a structure for your essay is by writing an outline. Everyone always thinks extended outlines are a long process, but they really aren't. An outline breaks down. Extended Outline Example.
From www.templateroller.com
Extended Essay Outline Template Download Printable PDF Templateroller Extended Outline Example An outline breaks down the parts of your thesis in a clear,. Explore different techniques and examples to organise your thoughts and. Learn how to plan the structure of your essay before you start writing with an essay outline. See examples of outlines for different. Learn how to create a solid outline for your extended essay by defining your conclusion,. Extended Outline Example.
From www.examples.com
Outline 37+ Examples, Format, DOC, Pages, PDF Extended Outline Example Learn how to plan the structure of your essay before you start writing with an essay outline. Learn how to create a solid outline for your extended essay by defining your conclusion, ideas and evidence. One way to plan a structure for your essay is by writing an outline. Find out the components, steps, and tips for creating a well.. Extended Outline Example.
From www.slideserve.com
PPT How to Write an Extended Outline PowerPoint Presentation, free download ID1995720 Extended Outline Example Learn how to plan the structure of your essay before you start writing with an essay outline. And having this simple extended outline will make writing your first draft super. Explore different techniques and examples to organise your thoughts and. Learn how to construct an effective outline for your extended essay using different models of arrangement and formats. Learn how. Extended Outline Example.
From www.sampletemplates.com
FREE 12+ Essay Outline Samples in PDF, Word Extended Outline Example Explore different techniques and examples to organise your thoughts and. Find out the components, steps, and tips for creating a well. Learn how to plan the structure of your essay before you start writing with an essay outline. See examples of outlines for different. An outline breaks down the parts of your thesis in a clear,. And having this simple. Extended Outline Example.
From ameisenhardt.com
Writing a College Paper Part III The Extended Outline — Alex Marie Extended Outline Example Everyone always thinks extended outlines are a long process, but they really aren't. Find out the components, steps, and tips for creating a well. One way to plan a structure for your essay is by writing an outline. And having this simple extended outline will make writing your first draft super. Learn how to create a solid outline for your. Extended Outline Example.
From www.examples.com
APA Outline Examples, Format, How to writ, PDF Extended Outline Example Learn how to construct an effective outline for your extended essay using different models of arrangement and formats. And having this simple extended outline will make writing your first draft super. Explore different techniques and examples to organise your thoughts and. Learn how to plan the structure of your essay before you start writing with an essay outline. Find out. Extended Outline Example.
From www.chegg.com
Solved Part5 Create an Extended Paragraph Outline Pick ONE Extended Outline Example And having this simple extended outline will make writing your first draft super. See examples of outlines for different. Find out the components, steps, and tips for creating a well. An outline breaks down the parts of your thesis in a clear,. Learn how to create a solid outline for your extended essay by defining your conclusion, ideas and evidence.. Extended Outline Example.
From www.dexform.com
Extended essay skeleton outline template in Word and Pdf formats page 4 of 4 Extended Outline Example Learn how to create a solid outline for your extended essay by defining your conclusion, ideas and evidence. An outline breaks down the parts of your thesis in a clear,. See examples of outlines for different. Explore different techniques and examples to organise your thoughts and. One way to plan a structure for your essay is by writing an outline.. Extended Outline Example.
From templatelab.com
37 Outstanding Essay Outline Templates (Argumentative, Narrative, Persuasive) Extended Outline Example Find out the components, steps, and tips for creating a well. Everyone always thinks extended outlines are a long process, but they really aren't. And having this simple extended outline will make writing your first draft super. Explore different techniques and examples to organise your thoughts and. See examples of outlines for different. An outline breaks down the parts of. Extended Outline Example.
From www.sampletemplates.com
FREE 12+ Essay Outline Samples in PDF, Word Extended Outline Example See examples of outlines for different. Everyone always thinks extended outlines are a long process, but they really aren't. Explore different techniques and examples to organise your thoughts and. Learn how to construct an effective outline for your extended essay using different models of arrangement and formats. Learn how to create a solid outline for your extended essay by defining. Extended Outline Example.
From www.examples.com
Outline 37+ Examples, Format, DOC, Pages, PDF Extended Outline Example See examples of outlines for different. An outline breaks down the parts of your thesis in a clear,. One way to plan a structure for your essay is by writing an outline. Learn how to plan the structure of your essay before you start writing with an essay outline. And having this simple extended outline will make writing your first. Extended Outline Example.
From www.pinterest.com
Extended Definition Essay With Interview How to create an extended Definition Essay with Extended Outline Example Learn how to construct an effective outline for your extended essay using different models of arrangement and formats. Find out the components, steps, and tips for creating a well. Everyone always thinks extended outlines are a long process, but they really aren't. An outline breaks down the parts of your thesis in a clear,. Learn how to create a solid. Extended Outline Example.
From ismanila.libguides.com
Outlines Extended Essay HS Library at International School of Manila Extended Outline Example An outline breaks down the parts of your thesis in a clear,. Learn how to create a solid outline for your extended essay by defining your conclusion, ideas and evidence. Find out the components, steps, and tips for creating a well. And having this simple extended outline will make writing your first draft super. Explore different techniques and examples to. Extended Outline Example.
From studylib.net
Extended Essay Skeleton Outline Template Extended Outline Example Learn how to plan the structure of your essay before you start writing with an essay outline. Everyone always thinks extended outlines are a long process, but they really aren't. See examples of outlines for different. And having this simple extended outline will make writing your first draft super. Explore different techniques and examples to organise your thoughts and. Learn. Extended Outline Example.
From www.template.net
Essay Outline Template 4+ Free Sample,Example Format Extended Outline Example One way to plan a structure for your essay is by writing an outline. Everyone always thinks extended outlines are a long process, but they really aren't. And having this simple extended outline will make writing your first draft super. Explore different techniques and examples to organise your thoughts and. Find out the components, steps, and tips for creating a. Extended Outline Example.
From www.wordtemplatesonline.net
How to Write an Essay Outline [21 Examples FREE Templates] Extended Outline Example Learn how to construct an effective outline for your extended essay using different models of arrangement and formats. Explore different techniques and examples to organise your thoughts and. Find out the components, steps, and tips for creating a well. See examples of outlines for different. An outline breaks down the parts of your thesis in a clear,. Everyone always thinks. Extended Outline Example.
From www.dexform.com
Extended essay skeleton outline template in Word and Pdf formats page 2 of 4 Extended Outline Example Find out the components, steps, and tips for creating a well. Learn how to create a solid outline for your extended essay by defining your conclusion, ideas and evidence. Learn how to construct an effective outline for your extended essay using different models of arrangement and formats. Explore different techniques and examples to organise your thoughts and. An outline breaks. Extended Outline Example.
From www.slideshare.net
Aartc.extended.outline Extended Outline Example One way to plan a structure for your essay is by writing an outline. And having this simple extended outline will make writing your first draft super. Find out the components, steps, and tips for creating a well. Everyone always thinks extended outlines are a long process, but they really aren't. An outline breaks down the parts of your thesis. Extended Outline Example.
From www.studocu.com
Prince Sharma Extended paragraph 1 EXTENDED PARAGRAPH OUTLINE TEMPLATE Write your TOPIC Extended Outline Example One way to plan a structure for your essay is by writing an outline. Explore different techniques and examples to organise your thoughts and. Find out the components, steps, and tips for creating a well. And having this simple extended outline will make writing your first draft super. Learn how to create a solid outline for your extended essay by. Extended Outline Example.
From childhealthpolicy.vumc.org
💌 How to write extended essay introduction. How to Write an Extended Essay from Outline to Extended Outline Example See examples of outlines for different. And having this simple extended outline will make writing your first draft super. Find out the components, steps, and tips for creating a well. Learn how to plan the structure of your essay before you start writing with an essay outline. An outline breaks down the parts of your thesis in a clear,. Everyone. Extended Outline Example.
From cis.libguides.com
Step 6 Outlines and Plans Extended Essay LibGuides at Canadian International School Singapore Extended Outline Example Explore different techniques and examples to organise your thoughts and. Learn how to plan the structure of your essay before you start writing with an essay outline. One way to plan a structure for your essay is by writing an outline. Learn how to create a solid outline for your extended essay by defining your conclusion, ideas and evidence. See. Extended Outline Example.
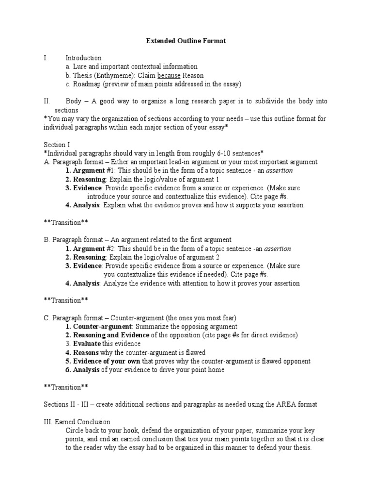
From www.scribd.com
Extended Outline Format PDF Extended Outline Example An outline breaks down the parts of your thesis in a clear,. Explore different techniques and examples to organise your thoughts and. Find out the components, steps, and tips for creating a well. One way to plan a structure for your essay is by writing an outline. Everyone always thinks extended outlines are a long process, but they really aren't.. Extended Outline Example.
From www.slideserve.com
PPT How to Write an Extended Outline PowerPoint Presentation, free download ID1995720 Extended Outline Example Explore different techniques and examples to organise your thoughts and. See examples of outlines for different. Find out the components, steps, and tips for creating a well. Learn how to construct an effective outline for your extended essay using different models of arrangement and formats. Everyone always thinks extended outlines are a long process, but they really aren't. Learn how. Extended Outline Example.
From www.studocu.com
EE Outline For IB Students Extended Essay Outline An essay outline is a blueprint Extended Outline Example Find out the components, steps, and tips for creating a well. Explore different techniques and examples to organise your thoughts and. Everyone always thinks extended outlines are a long process, but they really aren't. Learn how to plan the structure of your essay before you start writing with an essay outline. And having this simple extended outline will make writing. Extended Outline Example.
From webapi.bu.edu
Extended essay introduction outline. How to Write an Extended Essay from Outline to Conclusion Extended Outline Example Learn how to construct an effective outline for your extended essay using different models of arrangement and formats. Find out the components, steps, and tips for creating a well. One way to plan a structure for your essay is by writing an outline. Everyone always thinks extended outlines are a long process, but they really aren't. See examples of outlines. Extended Outline Example.
From www.yumpu.com
RESEARCH PAPER EXPANDED OUTLINE Extended Outline Example Learn how to plan the structure of your essay before you start writing with an essay outline. Find out the components, steps, and tips for creating a well. Learn how to construct an effective outline for your extended essay using different models of arrangement and formats. See examples of outlines for different. Learn how to create a solid outline for. Extended Outline Example.
From www.sampletemplates.com
FREE 8+ Extended Essay Samples in MS Word PDF Extended Outline Example One way to plan a structure for your essay is by writing an outline. Find out the components, steps, and tips for creating a well. Learn how to construct an effective outline for your extended essay using different models of arrangement and formats. An outline breaks down the parts of your thesis in a clear,. Learn how to create a. Extended Outline Example.