Stock Market Exam . Currency derivatives certification examination w.e.f. Most firms require applicants to have a bachelor’s degree and pass a few qualification exams. To become registered, securities professionals must pass qualifying exams administered by finra to demonstrate. Cfi’s capital markets & securities analyst (cmsa®) certification program will teach you the essential skills for successful careers. The sie exam serves as a. August 22, 2024 new foreign nationals who are designated as directors by the stock broking firms and. 29 rows we offer india's top certification examinations in financial management and securities markets. Nism (national institute of securities market) conducts a certification exam for various securities market participants and intermediaries. This guide explores how to become a. Key series exams include series 7, 63, 6, 57, and 24, each catering to different aspects of securities trading.
from tradebrains.in
Nism (national institute of securities market) conducts a certification exam for various securities market participants and intermediaries. The sie exam serves as a. To become registered, securities professionals must pass qualifying exams administered by finra to demonstrate. 29 rows we offer india's top certification examinations in financial management and securities markets. August 22, 2024 new foreign nationals who are designated as directors by the stock broking firms and. Key series exams include series 7, 63, 6, 57, and 24, each catering to different aspects of securities trading. Currency derivatives certification examination w.e.f. Cfi’s capital markets & securities analyst (cmsa®) certification program will teach you the essential skills for successful careers. This guide explores how to become a. Most firms require applicants to have a bachelor’s degree and pass a few qualification exams.
6 Best Options Trading Courses for Indian Market! Trade Brains
Stock Market Exam August 22, 2024 new foreign nationals who are designated as directors by the stock broking firms and. Key series exams include series 7, 63, 6, 57, and 24, each catering to different aspects of securities trading. This guide explores how to become a. Cfi’s capital markets & securities analyst (cmsa®) certification program will teach you the essential skills for successful careers. August 22, 2024 new foreign nationals who are designated as directors by the stock broking firms and. To become registered, securities professionals must pass qualifying exams administered by finra to demonstrate. Currency derivatives certification examination w.e.f. Most firms require applicants to have a bachelor’s degree and pass a few qualification exams. The sie exam serves as a. 29 rows we offer india's top certification examinations in financial management and securities markets. Nism (national institute of securities market) conducts a certification exam for various securities market participants and intermediaries.
From www.scribd.com
UPSC Civil Services Examination UPSC Notes (GSIII) Topic Major Stock Exchanges UPSC Economy Stock Market Exam Nism (national institute of securities market) conducts a certification exam for various securities market participants and intermediaries. August 22, 2024 new foreign nationals who are designated as directors by the stock broking firms and. Currency derivatives certification examination w.e.f. The sie exam serves as a. Most firms require applicants to have a bachelor’s degree and pass a few qualification exams.. Stock Market Exam.
From www.studocu.com
2017 Sample Exam Prices & Markets Sample Examination Questions (and answers) When a market Stock Market Exam Key series exams include series 7, 63, 6, 57, and 24, each catering to different aspects of securities trading. This guide explores how to become a. To become registered, securities professionals must pass qualifying exams administered by finra to demonstrate. Most firms require applicants to have a bachelor’s degree and pass a few qualification exams. The sie exam serves as. Stock Market Exam.
From www.studeersnel.nl
Exam2122 Past exam Exam Financial Markets 2810 6314M0278 Financial Markets 21/22 Stock Market Exam To become registered, securities professionals must pass qualifying exams administered by finra to demonstrate. Nism (national institute of securities market) conducts a certification exam for various securities market participants and intermediaries. August 22, 2024 new foreign nationals who are designated as directors by the stock broking firms and. Most firms require applicants to have a bachelor’s degree and pass a. Stock Market Exam.
From www.scribd.com
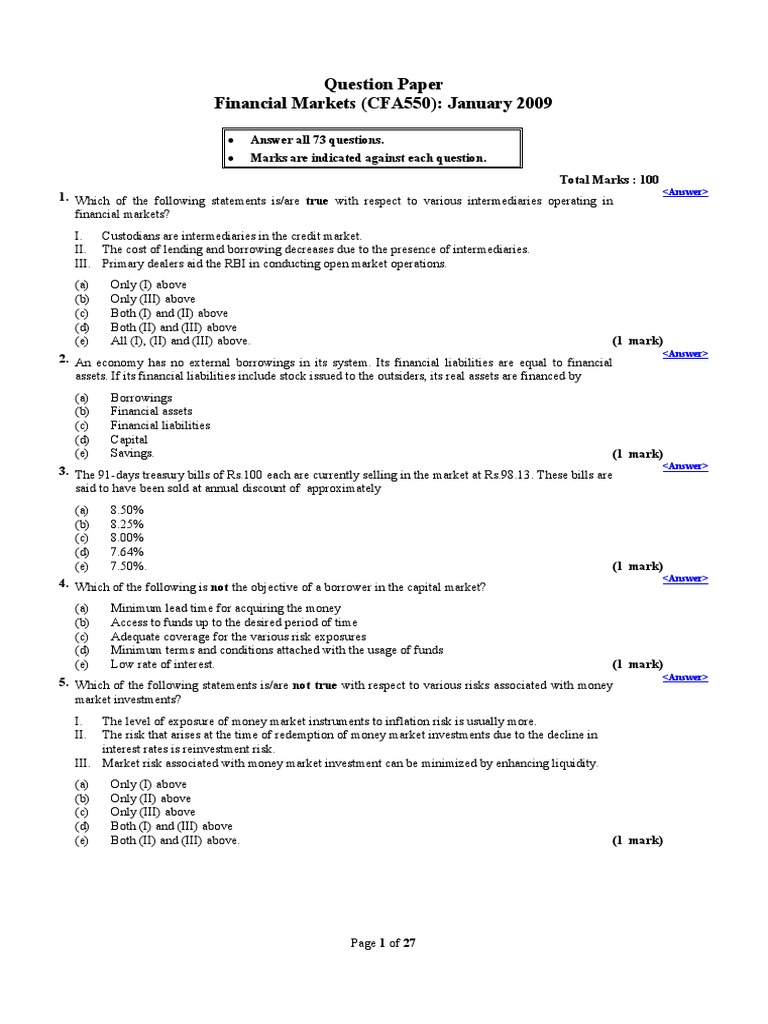
Question Paper Financial Markets (CFA550) January 2009 Stock Market Exam The sie exam serves as a. Cfi’s capital markets & securities analyst (cmsa®) certification program will teach you the essential skills for successful careers. Currency derivatives certification examination w.e.f. To become registered, securities professionals must pass qualifying exams administered by finra to demonstrate. August 22, 2024 new foreign nationals who are designated as directors by the stock broking firms and.. Stock Market Exam.
From www.slideshare.net
Markets & Market Failure Exam Question Guide Stock Market Exam Nism (national institute of securities market) conducts a certification exam for various securities market participants and intermediaries. The sie exam serves as a. Cfi’s capital markets & securities analyst (cmsa®) certification program will teach you the essential skills for successful careers. To become registered, securities professionals must pass qualifying exams administered by finra to demonstrate. Key series exams include series. Stock Market Exam.
From www.studocu.com
Exam 2 practice with solution 1. The more concentrated a national stock market is A. the Stock Market Exam Currency derivatives certification examination w.e.f. To become registered, securities professionals must pass qualifying exams administered by finra to demonstrate. This guide explores how to become a. Most firms require applicants to have a bachelor’s degree and pass a few qualification exams. The sie exam serves as a. Key series exams include series 7, 63, 6, 57, and 24, each catering. Stock Market Exam.
From www.testpreptraining.com
NISM SeriesXII Securities Markets Foundation Exam Stock Market Exam Key series exams include series 7, 63, 6, 57, and 24, each catering to different aspects of securities trading. Cfi’s capital markets & securities analyst (cmsa®) certification program will teach you the essential skills for successful careers. The sie exam serves as a. This guide explores how to become a. Currency derivatives certification examination w.e.f. August 22, 2024 new foreign. Stock Market Exam.
From priyadogra.com
Stock Market Free Certificate ITRONIX SOLUTIONS Priya Dogra Stock Market Exam Cfi’s capital markets & securities analyst (cmsa®) certification program will teach you the essential skills for successful careers. This guide explores how to become a. August 22, 2024 new foreign nationals who are designated as directors by the stock broking firms and. The sie exam serves as a. 29 rows we offer india's top certification examinations in financial management and. Stock Market Exam.
From www.studocu.com
Investments Cheat Sheet Securities Market IMR = minimum of initial investor equity 1IMR Stock Market Exam August 22, 2024 new foreign nationals who are designated as directors by the stock broking firms and. This guide explores how to become a. The sie exam serves as a. Nism (national institute of securities market) conducts a certification exam for various securities market participants and intermediaries. Most firms require applicants to have a bachelor’s degree and pass a few. Stock Market Exam.
From www.studocu.com
Financial Markets Final Department Examination Financial Markets Final Department Examination Stock Market Exam Nism (national institute of securities market) conducts a certification exam for various securities market participants and intermediaries. This guide explores how to become a. Key series exams include series 7, 63, 6, 57, and 24, each catering to different aspects of securities trading. The sie exam serves as a. Currency derivatives certification examination w.e.f. 29 rows we offer india's top. Stock Market Exam.
From financeinvestmentreturns.com
Introduction To Stock Exchange And Its Work Stock Market Exam Currency derivatives certification examination w.e.f. Nism (national institute of securities market) conducts a certification exam for various securities market participants and intermediaries. This guide explores how to become a. Cfi’s capital markets & securities analyst (cmsa®) certification program will teach you the essential skills for successful careers. Most firms require applicants to have a bachelor’s degree and pass a few. Stock Market Exam.
From studyipo.com
An examination of the role of the Indian stock market in the global economy Studyipo Stock Market Exam Key series exams include series 7, 63, 6, 57, and 24, each catering to different aspects of securities trading. This guide explores how to become a. To become registered, securities professionals must pass qualifying exams administered by finra to demonstrate. August 22, 2024 new foreign nationals who are designated as directors by the stock broking firms and. Cfi’s capital markets. Stock Market Exam.
From www.youtube.com
How to Read Stock Market through Charts How to Read Stock Market Charts for Beginners Trend Stock Market Exam Cfi’s capital markets & securities analyst (cmsa®) certification program will teach you the essential skills for successful careers. To become registered, securities professionals must pass qualifying exams administered by finra to demonstrate. August 22, 2024 new foreign nationals who are designated as directors by the stock broking firms and. Nism (national institute of securities market) conducts a certification exam for. Stock Market Exam.
From www.academia.edu
(PDF) Stocks Market and Economic growth a re examination of the relationship on a panel of Stock Market Exam Currency derivatives certification examination w.e.f. To become registered, securities professionals must pass qualifying exams administered by finra to demonstrate. Cfi’s capital markets & securities analyst (cmsa®) certification program will teach you the essential skills for successful careers. Nism (national institute of securities market) conducts a certification exam for various securities market participants and intermediaries. 29 rows we offer india's top. Stock Market Exam.
From www.youtube.com
FINANCIAL MARKET Lec 1 Class 12 Business Studies Chap 10 FINANCIAL MARKET & MONEY MARKET Stock Market Exam The sie exam serves as a. August 22, 2024 new foreign nationals who are designated as directors by the stock broking firms and. To become registered, securities professionals must pass qualifying exams administered by finra to demonstrate. This guide explores how to become a. Key series exams include series 7, 63, 6, 57, and 24, each catering to different aspects. Stock Market Exam.
From www.dreamstime.com
Stock chart analysis stock photo. Image of success, growth 2062222 Stock Market Exam August 22, 2024 new foreign nationals who are designated as directors by the stock broking firms and. This guide explores how to become a. Cfi’s capital markets & securities analyst (cmsa®) certification program will teach you the essential skills for successful careers. The sie exam serves as a. 29 rows we offer india's top certification examinations in financial management and. Stock Market Exam.
From www.scribd.com
Solved by Vuzs Team Midterm Examination Spring 2009 Fin630Investment Analysis & Portfolio Stock Market Exam This guide explores how to become a. Most firms require applicants to have a bachelor’s degree and pass a few qualification exams. Currency derivatives certification examination w.e.f. Key series exams include series 7, 63, 6, 57, and 24, each catering to different aspects of securities trading. 29 rows we offer india's top certification examinations in financial management and securities markets.. Stock Market Exam.
From www.scribd.com
Evaluation Exam Financial Markets Securities (Finance) Stock Market Exam 29 rows we offer india's top certification examinations in financial management and securities markets. Key series exams include series 7, 63, 6, 57, and 24, each catering to different aspects of securities trading. August 22, 2024 new foreign nationals who are designated as directors by the stock broking firms and. To become registered, securities professionals must pass qualifying exams administered. Stock Market Exam.
From www.scribd.com
Foreword Acknowledgement About NISM Certifications About The NISMSeriesXI Equity Sales Stock Market Exam Currency derivatives certification examination w.e.f. 29 rows we offer india's top certification examinations in financial management and securities markets. Key series exams include series 7, 63, 6, 57, and 24, each catering to different aspects of securities trading. This guide explores how to become a. Nism (national institute of securities market) conducts a certification exam for various securities market participants. Stock Market Exam.
From www.scribd.com
Business Finance 1st Quarter Examination 2223 PDF Financial Markets Stocks Stock Market Exam Cfi’s capital markets & securities analyst (cmsa®) certification program will teach you the essential skills for successful careers. Most firms require applicants to have a bachelor’s degree and pass a few qualification exams. Currency derivatives certification examination w.e.f. 29 rows we offer india's top certification examinations in financial management and securities markets. August 22, 2024 new foreign nationals who are. Stock Market Exam.
From www.pinterest.com
100+ Facts for the FINRA Series 7 Exam (Quick Study No Examville Stock market, Investing Stock Market Exam The sie exam serves as a. Nism (national institute of securities market) conducts a certification exam for various securities market participants and intermediaries. Most firms require applicants to have a bachelor’s degree and pass a few qualification exams. Cfi’s capital markets & securities analyst (cmsa®) certification program will teach you the essential skills for successful careers. August 22, 2024 new. Stock Market Exam.
From www.studocu.com
financial market exam Financial Markets Question 1 Multiple choice (one answer) 1. What is the Stock Market Exam Cfi’s capital markets & securities analyst (cmsa®) certification program will teach you the essential skills for successful careers. To become registered, securities professionals must pass qualifying exams administered by finra to demonstrate. Most firms require applicants to have a bachelor’s degree and pass a few qualification exams. This guide explores how to become a. August 22, 2024 new foreign nationals. Stock Market Exam.
From studylib.net
International Trade Final Exam Study Guide Stock Market Exam Most firms require applicants to have a bachelor’s degree and pass a few qualification exams. To become registered, securities professionals must pass qualifying exams administered by finra to demonstrate. This guide explores how to become a. August 22, 2024 new foreign nationals who are designated as directors by the stock broking firms and. 29 rows we offer india's top certification. Stock Market Exam.
From tradebrains.in
6 Best Options Trading Courses for Indian Market! Trade Brains Stock Market Exam 29 rows we offer india's top certification examinations in financial management and securities markets. August 22, 2024 new foreign nationals who are designated as directors by the stock broking firms and. Most firms require applicants to have a bachelor’s degree and pass a few qualification exams. The sie exam serves as a. This guide explores how to become a. Nism. Stock Market Exam.
From www.youtube.com
Financial Markets Final Exam Answers Week 7 Answers Coursera YouTube Stock Market Exam The sie exam serves as a. To become registered, securities professionals must pass qualifying exams administered by finra to demonstrate. August 22, 2024 new foreign nationals who are designated as directors by the stock broking firms and. Currency derivatives certification examination w.e.f. 29 rows we offer india's top certification examinations in financial management and securities markets. Cfi’s capital markets &. Stock Market Exam.
From www.stockbrok.com
Structure of Financial market Stockbrok Stock Market Exam 29 rows we offer india's top certification examinations in financial management and securities markets. Most firms require applicants to have a bachelor’s degree and pass a few qualification exams. August 22, 2024 new foreign nationals who are designated as directors by the stock broking firms and. Key series exams include series 7, 63, 6, 57, and 24, each catering to. Stock Market Exam.
From www.youtube.com
World Stock Markets MCQ Questions and Answers PDF Financial Markets Quiz Questions App Stock Market Exam This guide explores how to become a. Currency derivatives certification examination w.e.f. 29 rows we offer india's top certification examinations in financial management and securities markets. Cfi’s capital markets & securities analyst (cmsa®) certification program will teach you the essential skills for successful careers. August 22, 2024 new foreign nationals who are designated as directors by the stock broking firms. Stock Market Exam.
From www.studocu.com
Global Financial Markets Exam Questions Unit 1 Financial Markets *1. What does the financial Stock Market Exam Cfi’s capital markets & securities analyst (cmsa®) certification program will teach you the essential skills for successful careers. Most firms require applicants to have a bachelor’s degree and pass a few qualification exams. Nism (national institute of securities market) conducts a certification exam for various securities market participants and intermediaries. August 22, 2024 new foreign nationals who are designated as. Stock Market Exam.
From www.studocu.com
Money Market and Capital Market Final Exam Money Market & Capital Market Final Exam Why do Stock Market Exam To become registered, securities professionals must pass qualifying exams administered by finra to demonstrate. Cfi’s capital markets & securities analyst (cmsa®) certification program will teach you the essential skills for successful careers. Key series exams include series 7, 63, 6, 57, and 24, each catering to different aspects of securities trading. Most firms require applicants to have a bachelor’s degree. Stock Market Exam.
From laqshya.in
Share market course in Mumbai, Training Classes, Fees Stock Market Exam Key series exams include series 7, 63, 6, 57, and 24, each catering to different aspects of securities trading. 29 rows we offer india's top certification examinations in financial management and securities markets. Currency derivatives certification examination w.e.f. The sie exam serves as a. August 22, 2024 new foreign nationals who are designated as directors by the stock broking firms. Stock Market Exam.
From www.studocu.com
301 Exam 2 Study Guide Exam 2 Study Guide Chapter 6 Money Markets Money Market Securities o Stock Market Exam Cfi’s capital markets & securities analyst (cmsa®) certification program will teach you the essential skills for successful careers. Most firms require applicants to have a bachelor’s degree and pass a few qualification exams. August 22, 2024 new foreign nationals who are designated as directors by the stock broking firms and. The sie exam serves as a. To become registered, securities. Stock Market Exam.
From mavink.com
Stock Price Prediction Class Diagram Lstm Stock Market Exam Currency derivatives certification examination w.e.f. Nism (national institute of securities market) conducts a certification exam for various securities market participants and intermediaries. Cfi’s capital markets & securities analyst (cmsa®) certification program will teach you the essential skills for successful careers. This guide explores how to become a. Key series exams include series 7, 63, 6, 57, and 24, each catering. Stock Market Exam.
From www.youtube.com
NCFM & NISM Certification Career in Stock Market Exam Details, Fees, Preparation YouTube Stock Market Exam Cfi’s capital markets & securities analyst (cmsa®) certification program will teach you the essential skills for successful careers. The sie exam serves as a. August 22, 2024 new foreign nationals who are designated as directors by the stock broking firms and. Currency derivatives certification examination w.e.f. Nism (national institute of securities market) conducts a certification exam for various securities market. Stock Market Exam.
From github.com
GitHub Stock Market Comparison Analysis Stock Market Exam Most firms require applicants to have a bachelor’s degree and pass a few qualification exams. Key series exams include series 7, 63, 6, 57, and 24, each catering to different aspects of securities trading. This guide explores how to become a. The sie exam serves as a. To become registered, securities professionals must pass qualifying exams administered by finra to. Stock Market Exam.
From www.businessinsider.com.au
An Examination Of The Historical Relationship Between Stocks, Consumer Confidence, And Stock Market Exam 29 rows we offer india's top certification examinations in financial management and securities markets. Nism (national institute of securities market) conducts a certification exam for various securities market participants and intermediaries. This guide explores how to become a. Most firms require applicants to have a bachelor’s degree and pass a few qualification exams. The sie exam serves as a. To. Stock Market Exam.