Find The Height Of The Tabletop Above The Floor . Find (a) the height of the tabletop above the floor, (b) the horizontal distance from the edge of the table to the point where the book strikes the floor, and (c) the horizontal and. The book also has a vertical component of velocity just before. (b) the horizontal distance from the edge of the table to the point where the book strikes the. Find (a) the height of the tabletop above the floor; Find (a) the height of the tabletop above the floor; Find (a) the height of the tabletop above the floor; (b) the horizontal distance from the edge of the table to the point where the book strikes the. Find the height of the table top above the floor. Find the height of the table top above the floor. A physics book slides off a horizontal tabletop with a speed of 1.10 m/s. Find the horizontal component of the. Find the horizontal distance from the edge of the table to the point where. (b) the horizontal distance from the edge of the table to the point where the book strikes the. It strikes the floor in 0.480 s. Using the formula x(t) = x(0) + v(0)t + 1/2at^2, the height of the table top above the floor is found to be 0.949m.
from www.chegg.com
Find the horizontal distance from the edge of the table to the point where the book strikes the floor. A physics book slides off a horizontal tabletop with a speed of 1.10 m/s. It strikes the floor in 0.480 s. (b) the horizontal distance from the edge of the table to the point where the book strikes the. Find the horizontal component of the. (b) the horizontal distance from the edge of the table to the point where the book strikes the. The book also has a vertical component of velocity just before. Find (a) the height of the tabletop above the floor; (b) the horizontal distance from the edge of the table to the point where the book strikes the. Find (a) the height of the tabletop above the floor;
Solved A physics book slides off a horizontal tabletop with
Find The Height Of The Tabletop Above The Floor Find the height of the table top above the floor. Find the height of the table top above the floor. Using the formula x(t) = x(0) + v(0)t + 1/2at^2, the height of the table top above the floor is found to be 0.949m. Find (a) the height of the tabletop above the floor; Find (a) the height of the tabletop above the floor; Find the horizontal component of the. A physics book slides off a horizontal tabletop with a speed of 1.10 m/s. Find the height of the table top above the floor. Find (a) the height of the tabletop above the floor; The book also has a vertical component of velocity just before. Find the horizontal distance from the edge of the table to the point where. It strikes the floor in 0.480 s. (b) the horizontal distance from the edge of the table to the point where the book strikes the. (b) the horizontal distance from the edge of the table to the point where the book strikes the. Find the horizontal distance from the edge of the table to the point where the book strikes the floor. (b) the horizontal distance from the edge of the table to the point where the book strikes the.
From www.numerade.com
SOLVED A crate of mass M starts from rest at the top of a frictionless Find The Height Of The Tabletop Above The Floor Find (a) the height of the tabletop above the floor; (b) the horizontal distance from the edge of the table to the point where the book strikes the. It strikes the floor in 0.480 s. Find (a) the height of the tabletop above the floor; Find the height of the table top above the floor. Find the horizontal distance from. Find The Height Of The Tabletop Above The Floor.
From www.pearson.com
A physics book slides off a horizontal tabletop with a speed of 1 Find The Height Of The Tabletop Above The Floor It strikes the floor in 0.480 s. (b) the horizontal distance from the edge of the table to the point where the book strikes the. Find (a) the height of the tabletop above the floor; Using the formula x(t) = x(0) + v(0)t + 1/2at^2, the height of the table top above the floor is found to be 0.949m. Find. Find The Height Of The Tabletop Above The Floor.
From www.chegg.com
Solved Find the height of the tabletop above the floor Find The Height Of The Tabletop Above The Floor Find the horizontal distance from the edge of the table to the point where the book strikes the floor. Find the horizontal component of the. Using the formula x(t) = x(0) + v(0)t + 1/2at^2, the height of the table top above the floor is found to be 0.949m. Find (a) the height of the tabletop above the floor; Find. Find The Height Of The Tabletop Above The Floor.
From bertena.com
Bathroom Sink Height From Floor Everything Bathroom Find The Height Of The Tabletop Above The Floor (b) the horizontal distance from the edge of the table to the point where the book strikes the. Using the formula x(t) = x(0) + v(0)t + 1/2at^2, the height of the table top above the floor is found to be 0.949m. Find the horizontal distance from the edge of the table to the point where. A physics book slides. Find The Height Of The Tabletop Above The Floor.
From brainly.com
10. A tennis ball rolled off the edge of a table that has a height of 1 Find The Height Of The Tabletop Above The Floor (b) the horizontal distance from the edge of the table to the point where the book strikes the. Find the horizontal distance from the edge of the table to the point where. Find the height of the table top above the floor. Find the horizontal distance from the edge of the table to the point where the book strikes the. Find The Height Of The Tabletop Above The Floor.
From byjus.com
A building is in the form of a cylinder surmounted by a hemispherical Find The Height Of The Tabletop Above The Floor (b) the horizontal distance from the edge of the table to the point where the book strikes the. (b) the horizontal distance from the edge of the table to the point where the book strikes the. Find (a) the height of the tabletop above the floor; The book also has a vertical component of velocity just before. Find the horizontal. Find The Height Of The Tabletop Above The Floor.
From www.youtube.com
A bullet of mass m = 8.00 g is fired into a block of mass M = 250 g Find The Height Of The Tabletop Above The Floor Find (a) the height of the tabletop above the floor; Find (a) the height of the tabletop above the floor; Find (a) the height of the tabletop above the floor; (b) the horizontal distance from the edge of the table to the point where the book strikes the. (b) the horizontal distance from the edge of the table to the. Find The Height Of The Tabletop Above The Floor.
From www.numerade.com
SOLVED Question 4 Tolls horizontally off dhe edge of tabletop that is Find The Height Of The Tabletop Above The Floor Find (a) the height of the tabletop above the floor, (b) the horizontal distance from the edge of the table to the point where the book strikes the floor, and (c) the horizontal and. A physics book slides off a horizontal tabletop with a speed of 1.10 m/s. (b) the horizontal distance from the edge of the table to the. Find The Height Of The Tabletop Above The Floor.
From www.chegg.com
Solved 13) A hockey puck slides off the edge of a table with Find The Height Of The Tabletop Above The Floor Find the horizontal component of the. (b) the horizontal distance from the edge of the table to the point where the book strikes the. Find the height of the table top above the floor. (b) the horizontal distance from the edge of the table to the point where the book strikes the. Find (a) the height of the tabletop above. Find The Height Of The Tabletop Above The Floor.
From www.toppr.com
A building is in the form of a cylinder surmounted by a hemispherical Find The Height Of The Tabletop Above The Floor Find (a) the height of the tabletop above the floor; Find the horizontal component of the. Find (a) the height of the tabletop above the floor, (b) the horizontal distance from the edge of the table to the point where the book strikes the floor, and (c) the horizontal and. Find (a) the height of the tabletop above the floor;. Find The Height Of The Tabletop Above The Floor.
From www.chegg.com
Solved A physics book slides off a horizontal tabletop with Find The Height Of The Tabletop Above The Floor It strikes the floor in 0.480 s. Find the horizontal distance from the edge of the table to the point where the book strikes the floor. Find the height of the table top above the floor. (b) the horizontal distance from the edge of the table to the point where the book strikes the. (b) the horizontal distance from the. Find The Height Of The Tabletop Above The Floor.
From insideoutcontracts.com
In the Know Seat Height to Table Height… Inside Out Contracts Find The Height Of The Tabletop Above The Floor A physics book slides off a horizontal tabletop with a speed of 1.10 m/s. (b) the horizontal distance from the edge of the table to the point where the book strikes the. Find (a) the height of the tabletop above the floor; Find the height of the table top above the floor. Find the horizontal component of the. Find the. Find The Height Of The Tabletop Above The Floor.
From www.numerade.com
SOLVED A physics book slides off a horizontal table top with a speed Find The Height Of The Tabletop Above The Floor It strikes the floor in 0.480 s. Find (a) the height of the tabletop above the floor; Find the horizontal distance from the edge of the table to the point where the book strikes the floor. Find the height of the table top above the floor. The book also has a vertical component of velocity just before. A physics book. Find The Height Of The Tabletop Above The Floor.
From www.chegg.com
Solved A physics book slides off a horizontal tabletop with Find The Height Of The Tabletop Above The Floor Find the height of the table top above the floor. Find the height of the table top above the floor. It strikes the floor in 0.480 s. Find (a) the height of the tabletop above the floor; Find the horizontal distance from the edge of the table to the point where. The book also has a vertical component of velocity. Find The Height Of The Tabletop Above The Floor.
From www.chegg.com
Solved (13\) Problem 5 An object rolls off a tabletop with Find The Height Of The Tabletop Above The Floor It strikes the floor in 0.480 s. Find (a) the height of the tabletop above the floor; Find the horizontal component of the. Find the horizontal distance from the edge of the table to the point where. (b) the horizontal distance from the edge of the table to the point where the book strikes the. Find (a) the height of. Find The Height Of The Tabletop Above The Floor.
From www.numerade.com
A physics book slides off a horizontal tabletop with a speed of 1.10 m Find The Height Of The Tabletop Above The Floor It strikes the floor in 0.480 s. Find the height of the table top above the floor. (b) the horizontal distance from the edge of the table to the point where the book strikes the. Find the horizontal component of the. Using the formula x(t) = x(0) + v(0)t + 1/2at^2, the height of the table top above the floor. Find The Height Of The Tabletop Above The Floor.
From www.chegg.com
Solved (20\) Problem 4 An object rolls off a tabletop with Find The Height Of The Tabletop Above The Floor Find the height of the table top above the floor. Find the horizontal component of the. Find the horizontal distance from the edge of the table to the point where the book strikes the floor. Find (a) the height of the tabletop above the floor, (b) the horizontal distance from the edge of the table to the point where the. Find The Height Of The Tabletop Above The Floor.
From www.chegg.com
Solved Find the height of the tabletop above the floor. Find The Height Of The Tabletop Above The Floor (b) the horizontal distance from the edge of the table to the point where the book strikes the. Find (a) the height of the tabletop above the floor; Find the height of the table top above the floor. Find (a) the height of the tabletop above the floor, (b) the horizontal distance from the edge of the table to the. Find The Height Of The Tabletop Above The Floor.
From www.numerade.com
SOLVED A hockey puck slides off the edge of a table at point A with an Find The Height Of The Tabletop Above The Floor Find (a) the height of the tabletop above the floor, (b) the horizontal distance from the edge of the table to the point where the book strikes the floor, and (c) the horizontal and. (b) the horizontal distance from the edge of the table to the point where the book strikes the. Find the height of the table top above. Find The Height Of The Tabletop Above The Floor.
From www.numerade.com
SOLVED "12. physics book slides off a horizontal tabletop with speed Find The Height Of The Tabletop Above The Floor Find (a) the height of the tabletop above the floor; Find (a) the height of the tabletop above the floor; Find (a) the height of the tabletop above the floor; Find the horizontal distance from the edge of the table to the point where the book strikes the floor. Find the height of the table top above the floor. (b). Find The Height Of The Tabletop Above The Floor.
From www.chegg.com
Solved A physics book slides off a horizontal tabletop with Find The Height Of The Tabletop Above The Floor Find (a) the height of the tabletop above the floor; It strikes the floor in 0.480 s. Find the horizontal distance from the edge of the table to the point where. Using the formula x(t) = x(0) + v(0)t + 1/2at^2, the height of the table top above the floor is found to be 0.949m. Find (a) the height of. Find The Height Of The Tabletop Above The Floor.
From www.youtube.com
A small ball rolls horizontally off the edge of a tabletop that is 1.20 Find The Height Of The Tabletop Above The Floor Find the horizontal component of the. Using the formula x(t) = x(0) + v(0)t + 1/2at^2, the height of the table top above the floor is found to be 0.949m. (b) the horizontal distance from the edge of the table to the point where the book strikes the. Find the horizontal distance from the edge of the table to the. Find The Height Of The Tabletop Above The Floor.
From www.chegg.com
Solved Six pendulums of various masses m are released from Find The Height Of The Tabletop Above The Floor Find the height of the table top above the floor. A physics book slides off a horizontal tabletop with a speed of 1.10 m/s. Find the height of the table top above the floor. Find (a) the height of the tabletop above the floor, (b) the horizontal distance from the edge of the table to the point where the book. Find The Height Of The Tabletop Above The Floor.
From www.coursehero.com
[Solved] . 22) A hockey puck slides off the edge of a table with an Find The Height Of The Tabletop Above The Floor The book also has a vertical component of velocity just before. (b) the horizontal distance from the edge of the table to the point where the book strikes the. Find (a) the height of the tabletop above the floor; It strikes the floor in 0.480 s. (b) the horizontal distance from the edge of the table to the point where. Find The Height Of The Tabletop Above The Floor.
From www.bartleby.com
Answered Part A Find the height of the tabletop… bartleby Find The Height Of The Tabletop Above The Floor The book also has a vertical component of velocity just before. Find (a) the height of the tabletop above the floor, (b) the horizontal distance from the edge of the table to the point where the book strikes the floor, and (c) the horizontal and. A physics book slides off a horizontal tabletop with a speed of 1.10 m/s. Find. Find The Height Of The Tabletop Above The Floor.
From byjus.com
A building is in the form of a cylinder surmounted by a hemispherical Find The Height Of The Tabletop Above The Floor (b) the horizontal distance from the edge of the table to the point where the book strikes the. Find the height of the table top above the floor. Find (a) the height of the tabletop above the floor, (b) the horizontal distance from the edge of the table to the point where the book strikes the floor, and (c) the. Find The Height Of The Tabletop Above The Floor.
From www.chegg.com
Solved 2. A physics book slides off a horizontal tabletop Find The Height Of The Tabletop Above The Floor The book also has a vertical component of velocity just before. Find (a) the height of the tabletop above the floor, (b) the horizontal distance from the edge of the table to the point where the book strikes the floor, and (c) the horizontal and. (b) the horizontal distance from the edge of the table to the point where the. Find The Height Of The Tabletop Above The Floor.
From www.numerade.com
SOLVED A physics book slides off a horizontal tabletop with a speed of Find The Height Of The Tabletop Above The Floor A physics book slides off a horizontal tabletop with a speed of 1.10 m/s. Find (a) the height of the tabletop above the floor, (b) the horizontal distance from the edge of the table to the point where the book strikes the floor, and (c) the horizontal and. (b) the horizontal distance from the edge of the table to the. Find The Height Of The Tabletop Above The Floor.
From www.numerade.com
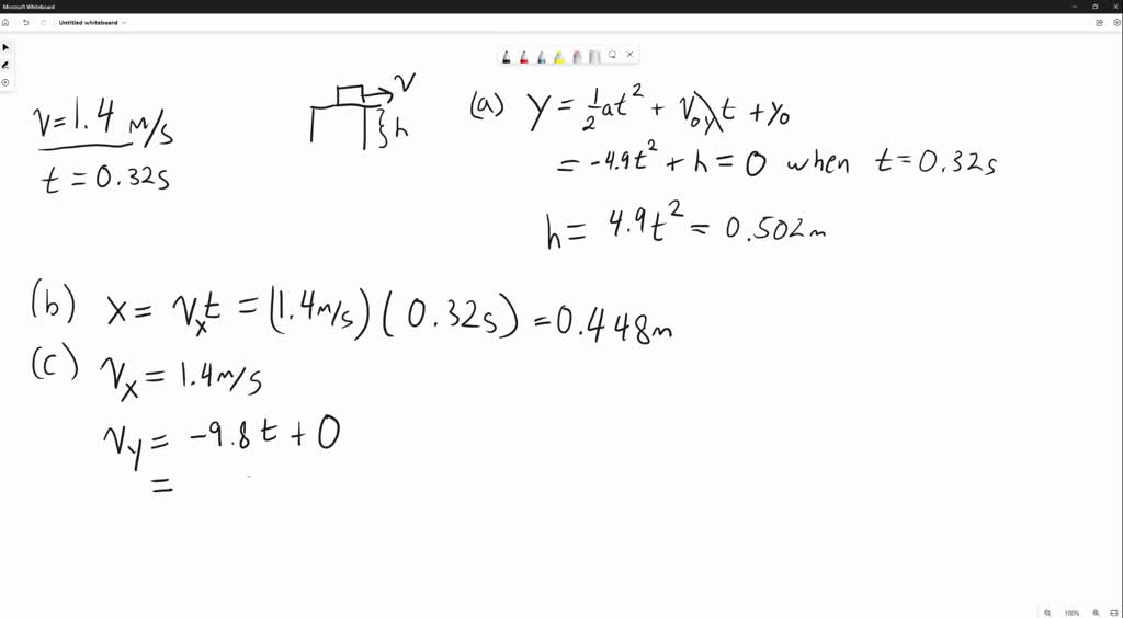
A physics book slides off a horizontal tabletop with a speed of 1.40 m Find The Height Of The Tabletop Above The Floor A physics book slides off a horizontal tabletop with a speed of 1.10 m/s. Find (a) the height of the tabletop above the floor, (b) the horizontal distance from the edge of the table to the point where the book strikes the floor, and (c) the horizontal and. Find the horizontal distance from the edge of the table to the. Find The Height Of The Tabletop Above The Floor.
From www.youtube.com
Ch 3 Projectile Motion Ball Rolls Off Table With Horizontal (x Find The Height Of The Tabletop Above The Floor (b) the horizontal distance from the edge of the table to the point where the book strikes the. (b) the horizontal distance from the edge of the table to the point where the book strikes the. Using the formula x(t) = x(0) + v(0)t + 1/2at^2, the height of the table top above the floor is found to be 0.949m.. Find The Height Of The Tabletop Above The Floor.
From karo.co.za
What is the correct height for my desk, computer monitor and office chair? Find The Height Of The Tabletop Above The Floor Find (a) the height of the tabletop above the floor; Find (a) the height of the tabletop above the floor; A physics book slides off a horizontal tabletop with a speed of 1.10 m/s. Find the height of the table top above the floor. Find (a) the height of the tabletop above the floor, (b) the horizontal distance from the. Find The Height Of The Tabletop Above The Floor.
From eugenieb-wont.blogspot.com
Kitchen Dimensions Standard Pin On Kitchen Different Find The Height Of The Tabletop Above The Floor The book also has a vertical component of velocity just before. Find the height of the table top above the floor. Find (a) the height of the tabletop above the floor; Using the formula x(t) = x(0) + v(0)t + 1/2at^2, the height of the table top above the floor is found to be 0.949m. Find the horizontal distance from. Find The Height Of The Tabletop Above The Floor.
From www.numerade.com
SOLVED A physics book slides off a horizontal tabletop with a speed of Find The Height Of The Tabletop Above The Floor Find (a) the height of the tabletop above the floor, (b) the horizontal distance from the edge of the table to the point where the book strikes the floor, and (c) the horizontal and. (b) the horizontal distance from the edge of the table to the point where the book strikes the. The book also has a vertical component of. Find The Height Of The Tabletop Above The Floor.
From www.chegg.com
Solved A hockey puck slides off the edge of a table at point Find The Height Of The Tabletop Above The Floor The book also has a vertical component of velocity just before. (b) the horizontal distance from the edge of the table to the point where the book strikes the. Find (a) the height of the tabletop above the floor; Find the horizontal distance from the edge of the table to the point where. Find the horizontal distance from the edge. Find The Height Of The Tabletop Above The Floor.
From quizlet.com
A physics book slides off a horizontal tabletop with a speed Quizlet Find The Height Of The Tabletop Above The Floor Find the horizontal distance from the edge of the table to the point where the book strikes the floor. Find (a) the height of the tabletop above the floor; Find (a) the height of the tabletop above the floor; The book also has a vertical component of velocity just before. It strikes the floor in 0.480 s. Find (a) the. Find The Height Of The Tabletop Above The Floor.