How Many Cards Are Dealt In Spades With 4 Players . Below is everything you need to know to play spades, including the rules for setup, bidding, breaking spades, and scoring. Four players traditionally play this game, but there are other versions for three, two, and six players. With 4 players, each player gets 13 cards. With two players, the deck will be split in half, with 26 cards going to both players. The question of how many cards are dealt in spades is common among beginners. In this article, we will go over the spades rules for setup and gameplay and some game. Discover the rules, strategies, and variations for mastering this. Learn how to play spades with our comprehensive guide.
from www.mypokercoaching.com
Four players traditionally play this game, but there are other versions for three, two, and six players. With two players, the deck will be split in half, with 26 cards going to both players. The question of how many cards are dealt in spades is common among beginners. Learn how to play spades with our comprehensive guide. In this article, we will go over the spades rules for setup and gameplay and some game. With 4 players, each player gets 13 cards. Discover the rules, strategies, and variations for mastering this. Below is everything you need to know to play spades, including the rules for setup, bidding, breaking spades, and scoring.
Spades Rules Best Way How To Play Spades Card Game And Win
How Many Cards Are Dealt In Spades With 4 Players Learn how to play spades with our comprehensive guide. Below is everything you need to know to play spades, including the rules for setup, bidding, breaking spades, and scoring. Four players traditionally play this game, but there are other versions for three, two, and six players. Learn how to play spades with our comprehensive guide. With two players, the deck will be split in half, with 26 cards going to both players. In this article, we will go over the spades rules for setup and gameplay and some game. Discover the rules, strategies, and variations for mastering this. With 4 players, each player gets 13 cards. The question of how many cards are dealt in spades is common among beginners.
From www.quora.com
How many spades are in 52 cards? Quora How Many Cards Are Dealt In Spades With 4 Players Discover the rules, strategies, and variations for mastering this. In this article, we will go over the spades rules for setup and gameplay and some game. With two players, the deck will be split in half, with 26 cards going to both players. Below is everything you need to know to play spades, including the rules for setup, bidding, breaking. How Many Cards Are Dealt In Spades With 4 Players.
From cards.udlvirtual.edu.pe
How Many Spades Are In A Deck Of Cards Printable Cards How Many Cards Are Dealt In Spades With 4 Players The question of how many cards are dealt in spades is common among beginners. With 4 players, each player gets 13 cards. In this article, we will go over the spades rules for setup and gameplay and some game. Learn how to play spades with our comprehensive guide. With two players, the deck will be split in half, with 26. How Many Cards Are Dealt In Spades With 4 Players.
From upibettingsites.com
How Many Spades Are In A Deck Of Cards? UPI Betting Sites How Many Cards Are Dealt In Spades With 4 Players With two players, the deck will be split in half, with 26 cards going to both players. Discover the rules, strategies, and variations for mastering this. Below is everything you need to know to play spades, including the rules for setup, bidding, breaking spades, and scoring. In this article, we will go over the spades rules for setup and gameplay. How Many Cards Are Dealt In Spades With 4 Players.
From www.freeimages.com
Playing Card Four of Spades stock photos How Many Cards Are Dealt In Spades With 4 Players Below is everything you need to know to play spades, including the rules for setup, bidding, breaking spades, and scoring. Four players traditionally play this game, but there are other versions for three, two, and six players. The question of how many cards are dealt in spades is common among beginners. With 4 players, each player gets 13 cards. With. How Many Cards Are Dealt In Spades With 4 Players.
From auhfsuhvhmgat.blogspot.com
How Many Spades Are In A Deck Of Cards Each 4 suits contains 13 cards Download Free PDF How Many Cards Are Dealt In Spades With 4 Players Learn how to play spades with our comprehensive guide. In this article, we will go over the spades rules for setup and gameplay and some game. The question of how many cards are dealt in spades is common among beginners. With two players, the deck will be split in half, with 26 cards going to both players. Below is everything. How Many Cards Are Dealt In Spades With 4 Players.
From www.dreamstime.com
Spades playing cardFour stock image. Image of playing 175242249 How Many Cards Are Dealt In Spades With 4 Players Discover the rules, strategies, and variations for mastering this. In this article, we will go over the spades rules for setup and gameplay and some game. Four players traditionally play this game, but there are other versions for three, two, and six players. Below is everything you need to know to play spades, including the rules for setup, bidding, breaking. How Many Cards Are Dealt In Spades With 4 Players.
From www.mypokercoaching.com
Spades Rules Best Way How To Play Spades Card Game And Win How Many Cards Are Dealt In Spades With 4 Players With two players, the deck will be split in half, with 26 cards going to both players. The question of how many cards are dealt in spades is common among beginners. With 4 players, each player gets 13 cards. Below is everything you need to know to play spades, including the rules for setup, bidding, breaking spades, and scoring. Four. How Many Cards Are Dealt In Spades With 4 Players.
From play.google.com
Spades Android Apps on Google Play How Many Cards Are Dealt In Spades With 4 Players Learn how to play spades with our comprehensive guide. Discover the rules, strategies, and variations for mastering this. The question of how many cards are dealt in spades is common among beginners. In this article, we will go over the spades rules for setup and gameplay and some game. Four players traditionally play this game, but there are other versions. How Many Cards Are Dealt In Spades With 4 Players.
From hxeedzmai.blob.core.windows.net
How Many 4 Of Spades In A Deck Of Cards at Paul Shepherd blog How Many Cards Are Dealt In Spades With 4 Players Discover the rules, strategies, and variations for mastering this. Learn how to play spades with our comprehensive guide. With 4 players, each player gets 13 cards. In this article, we will go over the spades rules for setup and gameplay and some game. With two players, the deck will be split in half, with 26 cards going to both players.. How Many Cards Are Dealt In Spades With 4 Players.
From www.alamy.com
Four of Spades playing card isolated on white Stock Photo Alamy How Many Cards Are Dealt In Spades With 4 Players In this article, we will go over the spades rules for setup and gameplay and some game. With two players, the deck will be split in half, with 26 cards going to both players. Discover the rules, strategies, and variations for mastering this. The question of how many cards are dealt in spades is common among beginners. With 4 players,. How Many Cards Are Dealt In Spades With 4 Players.
From dreamstime.com
All Of The Spades! Playing Cards. Royalty Free Stock Photography Image 21259947 How Many Cards Are Dealt In Spades With 4 Players Discover the rules, strategies, and variations for mastering this. In this article, we will go over the spades rules for setup and gameplay and some game. Below is everything you need to know to play spades, including the rules for setup, bidding, breaking spades, and scoring. With two players, the deck will be split in half, with 26 cards going. How Many Cards Are Dealt In Spades With 4 Players.
From www.vectorstock.com
Spades playing cards set Royalty Free Vector Image How Many Cards Are Dealt In Spades With 4 Players Learn how to play spades with our comprehensive guide. Four players traditionally play this game, but there are other versions for three, two, and six players. Below is everything you need to know to play spades, including the rules for setup, bidding, breaking spades, and scoring. The question of how many cards are dealt in spades is common among beginners.. How Many Cards Are Dealt In Spades With 4 Players.
From deechristophermagic.com
How Many 4S Are In A Deck Of Cards? How Many Cards Are Dealt In Spades With 4 Players The question of how many cards are dealt in spades is common among beginners. Four players traditionally play this game, but there are other versions for three, two, and six players. With two players, the deck will be split in half, with 26 cards going to both players. In this article, we will go over the spades rules for setup. How Many Cards Are Dealt In Spades With 4 Players.
From apogeepoet.blogspot.com
APOGEE Poet The Dealt Cards... How Many Cards Are Dealt In Spades With 4 Players Discover the rules, strategies, and variations for mastering this. Learn how to play spades with our comprehensive guide. With 4 players, each player gets 13 cards. With two players, the deck will be split in half, with 26 cards going to both players. In this article, we will go over the spades rules for setup and gameplay and some game.. How Many Cards Are Dealt In Spades With 4 Players.
From www.reddit.com
Dealt eight spades in four concurrent hands r/poker How Many Cards Are Dealt In Spades With 4 Players The question of how many cards are dealt in spades is common among beginners. Below is everything you need to know to play spades, including the rules for setup, bidding, breaking spades, and scoring. Discover the rules, strategies, and variations for mastering this. Learn how to play spades with our comprehensive guide. In this article, we will go over the. How Many Cards Are Dealt In Spades With 4 Players.
From quefecmipermennis.netlify.app
Spades Card Game Rules How Many Cards Are Dealt In Spades With 4 Players With two players, the deck will be split in half, with 26 cards going to both players. In this article, we will go over the spades rules for setup and gameplay and some game. Four players traditionally play this game, but there are other versions for three, two, and six players. Below is everything you need to know to play. How Many Cards Are Dealt In Spades With 4 Players.
From monroe.com.au
How To Play Spades (Player Perspective) How Many Cards Are Dealt In Spades With 4 Players Four players traditionally play this game, but there are other versions for three, two, and six players. The question of how many cards are dealt in spades is common among beginners. Discover the rules, strategies, and variations for mastering this. With 4 players, each player gets 13 cards. With two players, the deck will be split in half, with 26. How Many Cards Are Dealt In Spades With 4 Players.
From www.thesprucecrafts.com
How to Play Spades Complete Card Game Rules How Many Cards Are Dealt In Spades With 4 Players Learn how to play spades with our comprehensive guide. With 4 players, each player gets 13 cards. With two players, the deck will be split in half, with 26 cards going to both players. Four players traditionally play this game, but there are other versions for three, two, and six players. Discover the rules, strategies, and variations for mastering this.. How Many Cards Are Dealt In Spades With 4 Players.
From pokervideo.co.uk
Things You Should Know About Traditional Poker Hand Rankings Poker Video How Many Cards Are Dealt In Spades With 4 Players Below is everything you need to know to play spades, including the rules for setup, bidding, breaking spades, and scoring. With 4 players, each player gets 13 cards. In this article, we will go over the spades rules for setup and gameplay and some game. Learn how to play spades with our comprehensive guide. The question of how many cards. How Many Cards Are Dealt In Spades With 4 Players.
From www.youtube.com
Playing SPADES PLUS and WINNING YouTube How Many Cards Are Dealt In Spades With 4 Players Learn how to play spades with our comprehensive guide. In this article, we will go over the spades rules for setup and gameplay and some game. The question of how many cards are dealt in spades is common among beginners. Four players traditionally play this game, but there are other versions for three, two, and six players. Discover the rules,. How Many Cards Are Dealt In Spades With 4 Players.
From thecardgamepiseigo.blogspot.com
The Card Game Spades The Card Game How Many Cards Are Dealt In Spades With 4 Players Learn how to play spades with our comprehensive guide. Discover the rules, strategies, and variations for mastering this. The question of how many cards are dealt in spades is common among beginners. Four players traditionally play this game, but there are other versions for three, two, and six players. With 4 players, each player gets 13 cards. Below is everything. How Many Cards Are Dealt In Spades With 4 Players.
From www.numerade.com
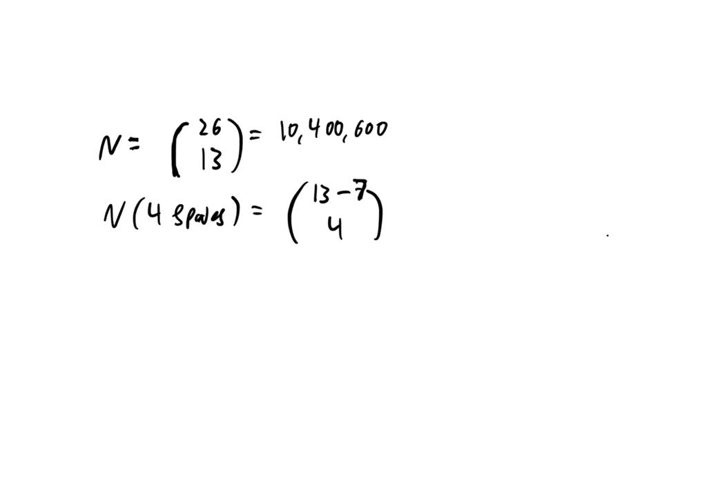
SOLVED The 52 cards in a shuffled deck are dealt equally among four players, call them A, B, C How Many Cards Are Dealt In Spades With 4 Players In this article, we will go over the spades rules for setup and gameplay and some game. The question of how many cards are dealt in spades is common among beginners. Learn how to play spades with our comprehensive guide. With two players, the deck will be split in half, with 26 cards going to both players. Discover the rules,. How Many Cards Are Dealt In Spades With 4 Players.
From www.numerade.com
SOLVED A deck of 52 cards is dealt evenly to 4 players such that each player has 13 cards. (i How Many Cards Are Dealt In Spades With 4 Players Learn how to play spades with our comprehensive guide. With two players, the deck will be split in half, with 26 cards going to both players. In this article, we will go over the spades rules for setup and gameplay and some game. The question of how many cards are dealt in spades is common among beginners. Discover the rules,. How Many Cards Are Dealt In Spades With 4 Players.
From mavink.com
Playing Cards Spades Clip Art How Many Cards Are Dealt In Spades With 4 Players In this article, we will go over the spades rules for setup and gameplay and some game. With 4 players, each player gets 13 cards. Discover the rules, strategies, and variations for mastering this. Four players traditionally play this game, but there are other versions for three, two, and six players. Learn how to play spades with our comprehensive guide.. How Many Cards Are Dealt In Spades With 4 Players.
From www.youtube.com
How To Play Spades (4 Player) YouTube How Many Cards Are Dealt In Spades With 4 Players Learn how to play spades with our comprehensive guide. Four players traditionally play this game, but there are other versions for three, two, and six players. In this article, we will go over the spades rules for setup and gameplay and some game. With two players, the deck will be split in half, with 26 cards going to both players.. How Many Cards Are Dealt In Spades With 4 Players.
From www.vrogue.co
How Many Ace Of Spades In A Deck Of Cards Printable F vrogue.co How Many Cards Are Dealt In Spades With 4 Players Learn how to play spades with our comprehensive guide. Discover the rules, strategies, and variations for mastering this. With 4 players, each player gets 13 cards. In this article, we will go over the spades rules for setup and gameplay and some game. Four players traditionally play this game, but there are other versions for three, two, and six players.. How Many Cards Are Dealt In Spades With 4 Players.
From www.wikihow.com
How to Play Spades Simple Card Game Rules How Many Cards Are Dealt In Spades With 4 Players Below is everything you need to know to play spades, including the rules for setup, bidding, breaking spades, and scoring. With two players, the deck will be split in half, with 26 cards going to both players. With 4 players, each player gets 13 cards. Discover the rules, strategies, and variations for mastering this. In this article, we will go. How Many Cards Are Dealt In Spades With 4 Players.
From www.dreamstime.com
The Four of Spades Card in a Regular 52 Card Poker Playing Deck Stock Illustration How Many Cards Are Dealt In Spades With 4 Players Learn how to play spades with our comprehensive guide. Four players traditionally play this game, but there are other versions for three, two, and six players. With 4 players, each player gets 13 cards. In this article, we will go over the spades rules for setup and gameplay and some game. The question of how many cards are dealt in. How Many Cards Are Dealt In Spades With 4 Players.
From mungfali.com
10 Of Spades Card How Many Cards Are Dealt In Spades With 4 Players Four players traditionally play this game, but there are other versions for three, two, and six players. Learn how to play spades with our comprehensive guide. With two players, the deck will be split in half, with 26 cards going to both players. In this article, we will go over the spades rules for setup and gameplay and some game.. How Many Cards Are Dealt In Spades With 4 Players.
From www.freestockphotos.biz
Playing Card Free Stock Photo Illustration of a Four of Spades playing card 15495 How Many Cards Are Dealt In Spades With 4 Players Below is everything you need to know to play spades, including the rules for setup, bidding, breaking spades, and scoring. In this article, we will go over the spades rules for setup and gameplay and some game. Learn how to play spades with our comprehensive guide. Four players traditionally play this game, but there are other versions for three, two,. How Many Cards Are Dealt In Spades With 4 Players.
From www.thelogicgame.com
Spades Play Free Spades Card Game Online How Many Cards Are Dealt In Spades With 4 Players With 4 players, each player gets 13 cards. Four players traditionally play this game, but there are other versions for three, two, and six players. The question of how many cards are dealt in spades is common among beginners. In this article, we will go over the spades rules for setup and gameplay and some game. Learn how to play. How Many Cards Are Dealt In Spades With 4 Players.
From jokerforge.weebly.com
Rules of spades cards How Many Cards Are Dealt In Spades With 4 Players With 4 players, each player gets 13 cards. Below is everything you need to know to play spades, including the rules for setup, bidding, breaking spades, and scoring. Discover the rules, strategies, and variations for mastering this. In this article, we will go over the spades rules for setup and gameplay and some game. Learn how to play spades with. How Many Cards Are Dealt In Spades With 4 Players.
From ihsanpedia.com
How To Play Spades A Comprehensive Guide IHSANPEDIA How Many Cards Are Dealt In Spades With 4 Players Learn how to play spades with our comprehensive guide. In this article, we will go over the spades rules for setup and gameplay and some game. With two players, the deck will be split in half, with 26 cards going to both players. Four players traditionally play this game, but there are other versions for three, two, and six players.. How Many Cards Are Dealt In Spades With 4 Players.
From www.dreamstime.com
Four Of Spades Playing Card, Stock Photo Image of playing, spades 86723848 How Many Cards Are Dealt In Spades With 4 Players With 4 players, each player gets 13 cards. Four players traditionally play this game, but there are other versions for three, two, and six players. In this article, we will go over the spades rules for setup and gameplay and some game. Learn how to play spades with our comprehensive guide. With two players, the deck will be split in. How Many Cards Are Dealt In Spades With 4 Players.
From printablelistserang.z21.web.core.windows.net
Probability Of A Deck Of Cards Calculator How Many Cards Are Dealt In Spades With 4 Players With two players, the deck will be split in half, with 26 cards going to both players. Discover the rules, strategies, and variations for mastering this. In this article, we will go over the spades rules for setup and gameplay and some game. Learn how to play spades with our comprehensive guide. Below is everything you need to know to. How Many Cards Are Dealt In Spades With 4 Players.