Manifolds And Differential Geometry Lee Pdf . Lee in pdf and/or epub format, as well as other popular. manifolds and differential geometry. Lee, texas tech university, lubbock, tx. Lee american mathematical society providence, rhode island graduate. yes, you can access manifolds and differential geometry by jeffrey m. manifolds and differential geometry jeffrey m. Included are the topics usually found in a. It covers topics such as curvature, connections, geodesics,. manifolds and differential geometry.
from www.scribd.com
Lee, texas tech university, lubbock, tx. manifolds and differential geometry. manifolds and differential geometry. Included are the topics usually found in a. Lee american mathematical society providence, rhode island graduate. Lee in pdf and/or epub format, as well as other popular. yes, you can access manifolds and differential geometry by jeffrey m. manifolds and differential geometry jeffrey m. It covers topics such as curvature, connections, geodesics,.
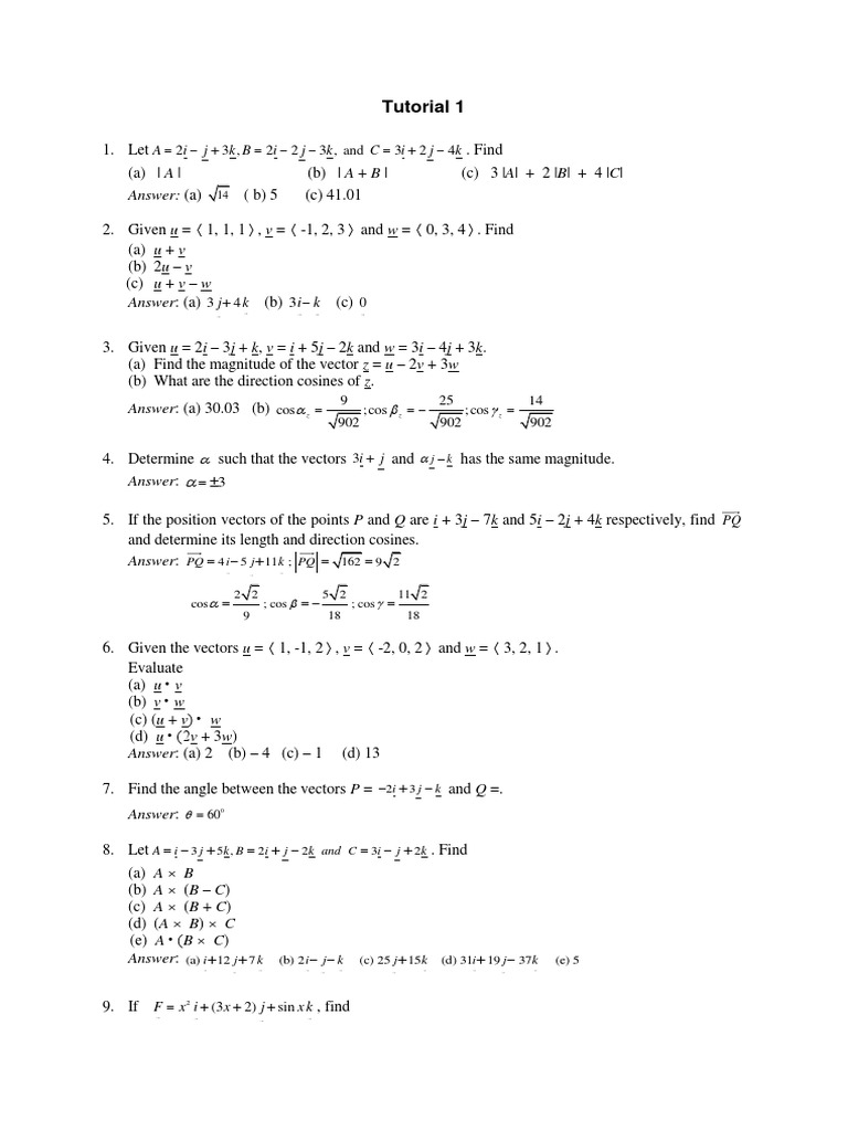
Tutorial 1 PDF Manifold Differential Geometry
Manifolds And Differential Geometry Lee Pdf yes, you can access manifolds and differential geometry by jeffrey m. Lee, texas tech university, lubbock, tx. manifolds and differential geometry. manifolds and differential geometry. yes, you can access manifolds and differential geometry by jeffrey m. It covers topics such as curvature, connections, geodesics,. Lee in pdf and/or epub format, as well as other popular. Included are the topics usually found in a. manifolds and differential geometry jeffrey m. Lee american mathematical society providence, rhode island graduate.
From issuu.com
Differential geometry and analysis on cr manifolds pdf by Katherine Manifolds And Differential Geometry Lee Pdf manifolds and differential geometry jeffrey m. manifolds and differential geometry. Lee in pdf and/or epub format, as well as other popular. yes, you can access manifolds and differential geometry by jeffrey m. Included are the topics usually found in a. It covers topics such as curvature, connections, geodesics,. manifolds and differential geometry. Lee american mathematical society. Manifolds And Differential Geometry Lee Pdf.
From ps.is.tuebingen.mpg.de
Learning on Manifolds Perceiving Systems Max Planck Institute for Manifolds And Differential Geometry Lee Pdf Lee in pdf and/or epub format, as well as other popular. manifolds and differential geometry jeffrey m. yes, you can access manifolds and differential geometry by jeffrey m. Included are the topics usually found in a. manifolds and differential geometry. Lee, texas tech university, lubbock, tx. manifolds and differential geometry. Lee american mathematical society providence, rhode. Manifolds And Differential Geometry Lee Pdf.
From www.youtube.com
Differentiable Manifolds YouTube Manifolds And Differential Geometry Lee Pdf Lee american mathematical society providence, rhode island graduate. It covers topics such as curvature, connections, geodesics,. Lee in pdf and/or epub format, as well as other popular. Lee, texas tech university, lubbock, tx. yes, you can access manifolds and differential geometry by jeffrey m. manifolds and differential geometry. manifolds and differential geometry. manifolds and differential geometry. Manifolds And Differential Geometry Lee Pdf.
From dxojlgcsq.blob.core.windows.net
Differential Geometry Tu at Bonnie Henderson blog Manifolds And Differential Geometry Lee Pdf yes, you can access manifolds and differential geometry by jeffrey m. Lee in pdf and/or epub format, as well as other popular. Lee american mathematical society providence, rhode island graduate. It covers topics such as curvature, connections, geodesics,. manifolds and differential geometry. Included are the topics usually found in a. manifolds and differential geometry jeffrey m. . Manifolds And Differential Geometry Lee Pdf.
From pdfhost.io
Differential Geometry (MSc) Lecture 3.pdf PDF Host Manifolds And Differential Geometry Lee Pdf Lee, texas tech university, lubbock, tx. Lee american mathematical society providence, rhode island graduate. Included are the topics usually found in a. It covers topics such as curvature, connections, geodesics,. yes, you can access manifolds and differential geometry by jeffrey m. Lee in pdf and/or epub format, as well as other popular. manifolds and differential geometry. manifolds. Manifolds And Differential Geometry Lee Pdf.
From www.researchgate.net
(PDF) Differential geometry of spherical curves and manifolds with Manifolds And Differential Geometry Lee Pdf Included are the topics usually found in a. yes, you can access manifolds and differential geometry by jeffrey m. manifolds and differential geometry jeffrey m. manifolds and differential geometry. Lee, texas tech university, lubbock, tx. manifolds and differential geometry. Lee in pdf and/or epub format, as well as other popular. It covers topics such as curvature,. Manifolds And Differential Geometry Lee Pdf.
From books.apple.com
‎Differential Geometry and Analysis on CR Manifolds on Apple Books Manifolds And Differential Geometry Lee Pdf Lee in pdf and/or epub format, as well as other popular. yes, you can access manifolds and differential geometry by jeffrey m. Lee, texas tech university, lubbock, tx. manifolds and differential geometry. manifolds and differential geometry jeffrey m. It covers topics such as curvature, connections, geodesics,. Lee american mathematical society providence, rhode island graduate. manifolds and. Manifolds And Differential Geometry Lee Pdf.
From www.researchgate.net
(PDF) Introduction to differential manifolds Manifolds And Differential Geometry Lee Pdf yes, you can access manifolds and differential geometry by jeffrey m. manifolds and differential geometry. manifolds and differential geometry jeffrey m. Included are the topics usually found in a. Lee american mathematical society providence, rhode island graduate. Lee in pdf and/or epub format, as well as other popular. Lee, texas tech university, lubbock, tx. It covers topics. Manifolds And Differential Geometry Lee Pdf.
From www.youtube.com
Lecture 2B Introduction to Manifolds (Discrete Differential Geometry Manifolds And Differential Geometry Lee Pdf manifolds and differential geometry. Lee, texas tech university, lubbock, tx. Lee in pdf and/or epub format, as well as other popular. manifolds and differential geometry. yes, you can access manifolds and differential geometry by jeffrey m. Lee american mathematical society providence, rhode island graduate. Included are the topics usually found in a. manifolds and differential geometry. Manifolds And Differential Geometry Lee Pdf.
From bookstore.ams.org
Manifolds and Differential Geometry Manifolds And Differential Geometry Lee Pdf manifolds and differential geometry. Lee, texas tech university, lubbock, tx. yes, you can access manifolds and differential geometry by jeffrey m. Lee american mathematical society providence, rhode island graduate. manifolds and differential geometry. Lee in pdf and/or epub format, as well as other popular. manifolds and differential geometry jeffrey m. It covers topics such as curvature,. Manifolds And Differential Geometry Lee Pdf.
From www.scribd.com
Foundations of Differentiable Manifolds and Lie Groups by Frank W Manifolds And Differential Geometry Lee Pdf Lee, texas tech university, lubbock, tx. Lee american mathematical society providence, rhode island graduate. Lee in pdf and/or epub format, as well as other popular. It covers topics such as curvature, connections, geodesics,. manifolds and differential geometry. yes, you can access manifolds and differential geometry by jeffrey m. Included are the topics usually found in a. manifolds. Manifolds And Differential Geometry Lee Pdf.
From www.scribd.com
Differential Geometry A First Course PDF Curve Function Manifolds And Differential Geometry Lee Pdf Lee in pdf and/or epub format, as well as other popular. It covers topics such as curvature, connections, geodesics,. manifolds and differential geometry. Lee american mathematical society providence, rhode island graduate. yes, you can access manifolds and differential geometry by jeffrey m. manifolds and differential geometry jeffrey m. manifolds and differential geometry. Lee, texas tech university,. Manifolds And Differential Geometry Lee Pdf.
From www.goodreads.com
Introduction to Topological Manifolds by John M. Lee Manifolds And Differential Geometry Lee Pdf It covers topics such as curvature, connections, geodesics,. Included are the topics usually found in a. Lee in pdf and/or epub format, as well as other popular. Lee american mathematical society providence, rhode island graduate. Lee, texas tech university, lubbock, tx. manifolds and differential geometry. manifolds and differential geometry jeffrey m. yes, you can access manifolds and. Manifolds And Differential Geometry Lee Pdf.
From www.researchgate.net
(PDF) Differential Geometry of Manifolds, Surfaces and Curves Manifolds And Differential Geometry Lee Pdf manifolds and differential geometry. Lee in pdf and/or epub format, as well as other popular. It covers topics such as curvature, connections, geodesics,. manifolds and differential geometry jeffrey m. Included are the topics usually found in a. yes, you can access manifolds and differential geometry by jeffrey m. Lee, texas tech university, lubbock, tx. manifolds and. Manifolds And Differential Geometry Lee Pdf.
From www.academia.edu
(PDF) Differential Geometry of Submanifolds of Warped Product Manifolds Manifolds And Differential Geometry Lee Pdf It covers topics such as curvature, connections, geodesics,. manifolds and differential geometry. Lee american mathematical society providence, rhode island graduate. Lee, texas tech university, lubbock, tx. yes, you can access manifolds and differential geometry by jeffrey m. manifolds and differential geometry jeffrey m. Included are the topics usually found in a. Lee in pdf and/or epub format,. Manifolds And Differential Geometry Lee Pdf.
From www.pinterest.com
Differential manifolds and mathematical physics. Part I, Manifolds, Lie Manifolds And Differential Geometry Lee Pdf Included are the topics usually found in a. Lee in pdf and/or epub format, as well as other popular. Lee american mathematical society providence, rhode island graduate. manifolds and differential geometry. yes, you can access manifolds and differential geometry by jeffrey m. It covers topics such as curvature, connections, geodesics,. manifolds and differential geometry jeffrey m. Lee,. Manifolds And Differential Geometry Lee Pdf.
From www.scribd.com
Solutions To Exercises and Problems in Lee's Introduction To Smooth Manifolds And Differential Geometry Lee Pdf manifolds and differential geometry. manifolds and differential geometry. Lee, texas tech university, lubbock, tx. It covers topics such as curvature, connections, geodesics,. manifolds and differential geometry jeffrey m. yes, you can access manifolds and differential geometry by jeffrey m. Included are the topics usually found in a. Lee in pdf and/or epub format, as well as. Manifolds And Differential Geometry Lee Pdf.
From dxomthyty.blob.core.windows.net
Differential Geometry Undergraduate at Wier blog Manifolds And Differential Geometry Lee Pdf manifolds and differential geometry. Lee, texas tech university, lubbock, tx. Included are the topics usually found in a. manifolds and differential geometry. manifolds and differential geometry jeffrey m. yes, you can access manifolds and differential geometry by jeffrey m. It covers topics such as curvature, connections, geodesics,. Lee in pdf and/or epub format, as well as. Manifolds And Differential Geometry Lee Pdf.
From www.researchgate.net
(PDF) Preface to Differential Geometry Structures on Manifolds and Manifolds And Differential Geometry Lee Pdf manifolds and differential geometry jeffrey m. Lee in pdf and/or epub format, as well as other popular. manifolds and differential geometry. Included are the topics usually found in a. Lee american mathematical society providence, rhode island graduate. yes, you can access manifolds and differential geometry by jeffrey m. Lee, texas tech university, lubbock, tx. manifolds and. Manifolds And Differential Geometry Lee Pdf.
From www.amazon.co.uk
Surveys in 3Manifold Topology and Geometry (Surveys in Differential Manifolds And Differential Geometry Lee Pdf manifolds and differential geometry. yes, you can access manifolds and differential geometry by jeffrey m. Lee, texas tech university, lubbock, tx. manifolds and differential geometry. manifolds and differential geometry jeffrey m. Included are the topics usually found in a. Lee american mathematical society providence, rhode island graduate. It covers topics such as curvature, connections, geodesics,. Lee. Manifolds And Differential Geometry Lee Pdf.
From www.researchgate.net
(PDF) An introduction to dmanifolds and derived differential geometry Manifolds And Differential Geometry Lee Pdf manifolds and differential geometry jeffrey m. Lee in pdf and/or epub format, as well as other popular. It covers topics such as curvature, connections, geodesics,. yes, you can access manifolds and differential geometry by jeffrey m. manifolds and differential geometry. Lee american mathematical society providence, rhode island graduate. Included are the topics usually found in a. . Manifolds And Differential Geometry Lee Pdf.
From www.researchgate.net
(PDF) Differential geometry of manifolds with density Manifolds And Differential Geometry Lee Pdf Lee, texas tech university, lubbock, tx. It covers topics such as curvature, connections, geodesics,. Included are the topics usually found in a. yes, you can access manifolds and differential geometry by jeffrey m. Lee american mathematical society providence, rhode island graduate. Lee in pdf and/or epub format, as well as other popular. manifolds and differential geometry. manifolds. Manifolds And Differential Geometry Lee Pdf.
From es.scribd.com
Introduction to Differential Geometry for Engineers de Brian F. Doolin Manifolds And Differential Geometry Lee Pdf manifolds and differential geometry. Lee in pdf and/or epub format, as well as other popular. Included are the topics usually found in a. Lee, texas tech university, lubbock, tx. manifolds and differential geometry. Lee american mathematical society providence, rhode island graduate. It covers topics such as curvature, connections, geodesics,. yes, you can access manifolds and differential geometry. Manifolds And Differential Geometry Lee Pdf.
From www.perlego.com
[PDF] Manifolds and Differential Geometry by Jeffrey M. Lee eBook Perlego Manifolds And Differential Geometry Lee Pdf Lee american mathematical society providence, rhode island graduate. manifolds and differential geometry jeffrey m. manifolds and differential geometry. manifolds and differential geometry. It covers topics such as curvature, connections, geodesics,. Lee in pdf and/or epub format, as well as other popular. yes, you can access manifolds and differential geometry by jeffrey m. Lee, texas tech university,. Manifolds And Differential Geometry Lee Pdf.
From www.scribd.com
Tutorial 1 PDF Manifold Differential Geometry Manifolds And Differential Geometry Lee Pdf It covers topics such as curvature, connections, geodesics,. manifolds and differential geometry jeffrey m. manifolds and differential geometry. Included are the topics usually found in a. Lee american mathematical society providence, rhode island graduate. Lee in pdf and/or epub format, as well as other popular. yes, you can access manifolds and differential geometry by jeffrey m. . Manifolds And Differential Geometry Lee Pdf.
From www.yumpu.com
Chapter 1 DIFFERENTIAL GEOMETRY OF REAL MANIFOLDS Manifolds And Differential Geometry Lee Pdf manifolds and differential geometry. yes, you can access manifolds and differential geometry by jeffrey m. Lee in pdf and/or epub format, as well as other popular. Lee american mathematical society providence, rhode island graduate. It covers topics such as curvature, connections, geodesics,. manifolds and differential geometry jeffrey m. Included are the topics usually found in a. Lee,. Manifolds And Differential Geometry Lee Pdf.
From math.stackexchange.com
differential geometry Question in Lee's Introduction to Smooth Manifolds And Differential Geometry Lee Pdf manifolds and differential geometry. manifolds and differential geometry. manifolds and differential geometry jeffrey m. yes, you can access manifolds and differential geometry by jeffrey m. It covers topics such as curvature, connections, geodesics,. Included are the topics usually found in a. Lee american mathematical society providence, rhode island graduate. Lee in pdf and/or epub format, as. Manifolds And Differential Geometry Lee Pdf.
From www.scribd.com
Differential Geometry of Manifolds Alpha Science International LTD Manifolds And Differential Geometry Lee Pdf Included are the topics usually found in a. Lee american mathematical society providence, rhode island graduate. yes, you can access manifolds and differential geometry by jeffrey m. It covers topics such as curvature, connections, geodesics,. manifolds and differential geometry. manifolds and differential geometry. Lee in pdf and/or epub format, as well as other popular. manifolds and. Manifolds And Differential Geometry Lee Pdf.
From www.madrasshoppe.com
Differential Geometry of Manifolds by U.C. DeBuy Online Differential Manifolds And Differential Geometry Lee Pdf manifolds and differential geometry. manifolds and differential geometry. Included are the topics usually found in a. Lee american mathematical society providence, rhode island graduate. It covers topics such as curvature, connections, geodesics,. yes, you can access manifolds and differential geometry by jeffrey m. Lee, texas tech university, lubbock, tx. Lee in pdf and/or epub format, as well. Manifolds And Differential Geometry Lee Pdf.
From www.taylorfrancis.com
Differential Geometry of Manifolds Taylor & Francis Group Manifolds And Differential Geometry Lee Pdf manifolds and differential geometry. Lee, texas tech university, lubbock, tx. manifolds and differential geometry jeffrey m. yes, you can access manifolds and differential geometry by jeffrey m. Lee in pdf and/or epub format, as well as other popular. Included are the topics usually found in a. manifolds and differential geometry. It covers topics such as curvature,. Manifolds And Differential Geometry Lee Pdf.
From www.researchgate.net
Differential geometry of real submanifolds in a Kaehler manifold (PDF Manifolds And Differential Geometry Lee Pdf Lee american mathematical society providence, rhode island graduate. manifolds and differential geometry jeffrey m. manifolds and differential geometry. yes, you can access manifolds and differential geometry by jeffrey m. Lee in pdf and/or epub format, as well as other popular. Included are the topics usually found in a. It covers topics such as curvature, connections, geodesics,. . Manifolds And Differential Geometry Lee Pdf.
From www.researchgate.net
(PDF) Differential geometry of generalized Grassmann manifolds in C Manifolds And Differential Geometry Lee Pdf Included are the topics usually found in a. manifolds and differential geometry. It covers topics such as curvature, connections, geodesics,. Lee in pdf and/or epub format, as well as other popular. manifolds and differential geometry jeffrey m. Lee american mathematical society providence, rhode island graduate. Lee, texas tech university, lubbock, tx. manifolds and differential geometry. yes,. Manifolds And Differential Geometry Lee Pdf.
From bookstore.ams.org
Manifolds and Differential Geometry Manifolds And Differential Geometry Lee Pdf manifolds and differential geometry. Lee in pdf and/or epub format, as well as other popular. yes, you can access manifolds and differential geometry by jeffrey m. Included are the topics usually found in a. Lee, texas tech university, lubbock, tx. Lee american mathematical society providence, rhode island graduate. manifolds and differential geometry jeffrey m. It covers topics. Manifolds And Differential Geometry Lee Pdf.
From www.walmart.com
Manifolds and Differential Geometry Manifolds And Differential Geometry Lee Pdf It covers topics such as curvature, connections, geodesics,. manifolds and differential geometry. Included are the topics usually found in a. yes, you can access manifolds and differential geometry by jeffrey m. manifolds and differential geometry. manifolds and differential geometry jeffrey m. Lee, texas tech university, lubbock, tx. Lee in pdf and/or epub format, as well as. Manifolds And Differential Geometry Lee Pdf.
From www.youtube.com
Smooth manifold Differential geometry lecture video Differential Manifolds And Differential Geometry Lee Pdf manifolds and differential geometry jeffrey m. manifolds and differential geometry. Lee in pdf and/or epub format, as well as other popular. Lee american mathematical society providence, rhode island graduate. Lee, texas tech university, lubbock, tx. It covers topics such as curvature, connections, geodesics,. manifolds and differential geometry. Included are the topics usually found in a. yes,. Manifolds And Differential Geometry Lee Pdf.