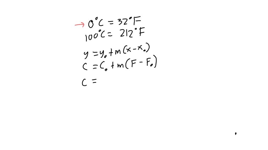
Water Boils At 100 Degrees Celsius (212 Degrees Fahrenheit) . Find the equation of the line that relates f to c. To convert from celsius to fahrenheit, we can use the formula °f = (°c × 9/5) + 32. Conventionally, the temperature at which water boils is 100 degrees celsius or 212 fahrenheit but only at sea level. The normal boiling point is commonly given as 100 °c. if you want a quick and simple answer, you can say that the boiling point of water is 100 °c or 212 °f at 1 atmosphere. there are two conventions regarding the standard boiling point of water: When water reaches 212 degrees fahrenheit (100 degrees celsius) and boils, it is absorbing both. boiling water is characterized by energetic bubbles and steam and it is considered to be hot. water boils at 100 c and 212 f. At a lower pressure (like in the mountains), the boiling point is a lower temperature. Use f=y and c=x and you were given two. at sea level, water boils at 100 °c (212 °f) and freezes at 0 °c (32 °f). If you boil water at a higher pressure (below sea level, for example), the boiling point is higher than 100 °c.
from www.chegg.com
there are two conventions regarding the standard boiling point of water: Use f=y and c=x and you were given two. Conventionally, the temperature at which water boils is 100 degrees celsius or 212 fahrenheit but only at sea level. The normal boiling point is commonly given as 100 °c. When water reaches 212 degrees fahrenheit (100 degrees celsius) and boils, it is absorbing both. at sea level, water boils at 100 °c (212 °f) and freezes at 0 °c (32 °f). At a lower pressure (like in the mountains), the boiling point is a lower temperature. boiling water is characterized by energetic bubbles and steam and it is considered to be hot. If you boil water at a higher pressure (below sea level, for example), the boiling point is higher than 100 °c. Find the equation of the line that relates f to c.
Solved 6. PROPERTIES OF WATER The boiling point and the
Water Boils At 100 Degrees Celsius (212 Degrees Fahrenheit) boiling water is characterized by energetic bubbles and steam and it is considered to be hot. When water reaches 212 degrees fahrenheit (100 degrees celsius) and boils, it is absorbing both. there are two conventions regarding the standard boiling point of water: if you want a quick and simple answer, you can say that the boiling point of water is 100 °c or 212 °f at 1 atmosphere. Use f=y and c=x and you were given two. To convert from celsius to fahrenheit, we can use the formula °f = (°c × 9/5) + 32. If you boil water at a higher pressure (below sea level, for example), the boiling point is higher than 100 °c. Find the equation of the line that relates f to c. water boils at 100 c and 212 f. The normal boiling point is commonly given as 100 °c. boiling water is characterized by energetic bubbles and steam and it is considered to be hot. at sea level, water boils at 100 °c (212 °f) and freezes at 0 °c (32 °f). Conventionally, the temperature at which water boils is 100 degrees celsius or 212 fahrenheit but only at sea level. At a lower pressure (like in the mountains), the boiling point is a lower temperature.
From www.chegg.com
Solved 6. PROPERTIES OF WATER The boiling point and the Water Boils At 100 Degrees Celsius (212 Degrees Fahrenheit) at sea level, water boils at 100 °c (212 °f) and freezes at 0 °c (32 °f). Find the equation of the line that relates f to c. water boils at 100 c and 212 f. Use f=y and c=x and you were given two. Conventionally, the temperature at which water boils is 100 degrees celsius or 212. Water Boils At 100 Degrees Celsius (212 Degrees Fahrenheit).
From sketchplanations.vercel.app
Fahrenheit and Celsius Sketchplanations Water Boils At 100 Degrees Celsius (212 Degrees Fahrenheit) The normal boiling point is commonly given as 100 °c. Conventionally, the temperature at which water boils is 100 degrees celsius or 212 fahrenheit but only at sea level. water boils at 100 c and 212 f. boiling water is characterized by energetic bubbles and steam and it is considered to be hot. If you boil water at. Water Boils At 100 Degrees Celsius (212 Degrees Fahrenheit).
From www.slideserve.com
PPT Temperature PowerPoint Presentation, free download ID344524 Water Boils At 100 Degrees Celsius (212 Degrees Fahrenheit) there are two conventions regarding the standard boiling point of water: at sea level, water boils at 100 °c (212 °f) and freezes at 0 °c (32 °f). When water reaches 212 degrees fahrenheit (100 degrees celsius) and boils, it is absorbing both. Conventionally, the temperature at which water boils is 100 degrees celsius or 212 fahrenheit but. Water Boils At 100 Degrees Celsius (212 Degrees Fahrenheit).
From www.slideserve.com
PPT Metric System of Measurement PowerPoint Presentation, free Water Boils At 100 Degrees Celsius (212 Degrees Fahrenheit) The normal boiling point is commonly given as 100 °c. if you want a quick and simple answer, you can say that the boiling point of water is 100 °c or 212 °f at 1 atmosphere. At a lower pressure (like in the mountains), the boiling point is a lower temperature. Find the equation of the line that relates. Water Boils At 100 Degrees Celsius (212 Degrees Fahrenheit).
From hikingmastery.com
Does Boiling Water Purify It Basic Facts and Useful Water Boils At 100 Degrees Celsius (212 Degrees Fahrenheit) At a lower pressure (like in the mountains), the boiling point is a lower temperature. To convert from celsius to fahrenheit, we can use the formula °f = (°c × 9/5) + 32. there are two conventions regarding the standard boiling point of water: Use f=y and c=x and you were given two. boiling water is characterized by. Water Boils At 100 Degrees Celsius (212 Degrees Fahrenheit).
From www.livescience.com
Fahrenheit Facts, History & Conversion Formulas Live Science Water Boils At 100 Degrees Celsius (212 Degrees Fahrenheit) If you boil water at a higher pressure (below sea level, for example), the boiling point is higher than 100 °c. At a lower pressure (like in the mountains), the boiling point is a lower temperature. The normal boiling point is commonly given as 100 °c. Find the equation of the line that relates f to c. Conventionally, the temperature. Water Boils At 100 Degrees Celsius (212 Degrees Fahrenheit).
From blog.sciencescore.com
What temperature does water boil? Water Boils At 100 Degrees Celsius (212 Degrees Fahrenheit) The normal boiling point is commonly given as 100 °c. At a lower pressure (like in the mountains), the boiling point is a lower temperature. Conventionally, the temperature at which water boils is 100 degrees celsius or 212 fahrenheit but only at sea level. Use f=y and c=x and you were given two. if you want a quick and. Water Boils At 100 Degrees Celsius (212 Degrees Fahrenheit).
From www.numerade.com
SOLVEDThe two most widespread temperature scales are Fahrenheit* (F Water Boils At 100 Degrees Celsius (212 Degrees Fahrenheit) The normal boiling point is commonly given as 100 °c. When water reaches 212 degrees fahrenheit (100 degrees celsius) and boils, it is absorbing both. If you boil water at a higher pressure (below sea level, for example), the boiling point is higher than 100 °c. At a lower pressure (like in the mountains), the boiling point is a lower. Water Boils At 100 Degrees Celsius (212 Degrees Fahrenheit).
From sciencenotes.org
Boiling Point of Water What Temperature Does Water Boil? Water Boils At 100 Degrees Celsius (212 Degrees Fahrenheit) At a lower pressure (like in the mountains), the boiling point is a lower temperature. if you want a quick and simple answer, you can say that the boiling point of water is 100 °c or 212 °f at 1 atmosphere. Conventionally, the temperature at which water boils is 100 degrees celsius or 212 fahrenheit but only at sea. Water Boils At 100 Degrees Celsius (212 Degrees Fahrenheit).
From www.chegg.com
Solved Water boils as 100∘C (degrees Celsius) which is 212∘F Water Boils At 100 Degrees Celsius (212 Degrees Fahrenheit) if you want a quick and simple answer, you can say that the boiling point of water is 100 °c or 212 °f at 1 atmosphere. boiling water is characterized by energetic bubbles and steam and it is considered to be hot. When water reaches 212 degrees fahrenheit (100 degrees celsius) and boils, it is absorbing both. The. Water Boils At 100 Degrees Celsius (212 Degrees Fahrenheit).
From dxojgfcke.blob.core.windows.net
What Is The Boiling Point And Freezing Point Of Water On Kelvin Scale Water Boils At 100 Degrees Celsius (212 Degrees Fahrenheit) If you boil water at a higher pressure (below sea level, for example), the boiling point is higher than 100 °c. water boils at 100 c and 212 f. if you want a quick and simple answer, you can say that the boiling point of water is 100 °c or 212 °f at 1 atmosphere. Use f=y and. Water Boils At 100 Degrees Celsius (212 Degrees Fahrenheit).
From www.pinterest.com
Celsius Scale Easy Science Easy science, Celsius scale, Scale Water Boils At 100 Degrees Celsius (212 Degrees Fahrenheit) The normal boiling point is commonly given as 100 °c. Use f=y and c=x and you were given two. Conventionally, the temperature at which water boils is 100 degrees celsius or 212 fahrenheit but only at sea level. To convert from celsius to fahrenheit, we can use the formula °f = (°c × 9/5) + 32. there are two. Water Boils At 100 Degrees Celsius (212 Degrees Fahrenheit).
From brainly.com
At what temperature will water begin to boil and turn to steam? 212 Water Boils At 100 Degrees Celsius (212 Degrees Fahrenheit) Conventionally, the temperature at which water boils is 100 degrees celsius or 212 fahrenheit but only at sea level. The normal boiling point is commonly given as 100 °c. When water reaches 212 degrees fahrenheit (100 degrees celsius) and boils, it is absorbing both. if you want a quick and simple answer, you can say that the boiling point. Water Boils At 100 Degrees Celsius (212 Degrees Fahrenheit).
From simp-link.com
Fahrenheit to celsius graph Water Boils At 100 Degrees Celsius (212 Degrees Fahrenheit) If you boil water at a higher pressure (below sea level, for example), the boiling point is higher than 100 °c. Find the equation of the line that relates f to c. boiling water is characterized by energetic bubbles and steam and it is considered to be hot. To convert from celsius to fahrenheit, we can use the formula. Water Boils At 100 Degrees Celsius (212 Degrees Fahrenheit).
From www.compoundchem.com
What Temperature Does Water Boil At? Boiling Point & Elevation Water Boils At 100 Degrees Celsius (212 Degrees Fahrenheit) Find the equation of the line that relates f to c. To convert from celsius to fahrenheit, we can use the formula °f = (°c × 9/5) + 32. at sea level, water boils at 100 °c (212 °f) and freezes at 0 °c (32 °f). boiling water is characterized by energetic bubbles and steam and it is. Water Boils At 100 Degrees Celsius (212 Degrees Fahrenheit).
From www.gettyimages.com
Freezing And Boiling Points In Celsius And Fahrenheit HighRes Vector Water Boils At 100 Degrees Celsius (212 Degrees Fahrenheit) water boils at 100 c and 212 f. there are two conventions regarding the standard boiling point of water: When water reaches 212 degrees fahrenheit (100 degrees celsius) and boils, it is absorbing both. at sea level, water boils at 100 °c (212 °f) and freezes at 0 °c (32 °f). Use f=y and c=x and you. Water Boils At 100 Degrees Celsius (212 Degrees Fahrenheit).
From www.cuemath.com
Celsius to Fahrenheit Conversion Formula Examples Water Boils At 100 Degrees Celsius (212 Degrees Fahrenheit) water boils at 100 c and 212 f. boiling water is characterized by energetic bubbles and steam and it is considered to be hot. Use f=y and c=x and you were given two. If you boil water at a higher pressure (below sea level, for example), the boiling point is higher than 100 °c. When water reaches 212. Water Boils At 100 Degrees Celsius (212 Degrees Fahrenheit).
From www.cuemath.com
Celsius to Fahrenheit Conversion Formula Examples Water Boils At 100 Degrees Celsius (212 Degrees Fahrenheit) at sea level, water boils at 100 °c (212 °f) and freezes at 0 °c (32 °f). boiling water is characterized by energetic bubbles and steam and it is considered to be hot. there are two conventions regarding the standard boiling point of water: Use f=y and c=x and you were given two. When water reaches 212. Water Boils At 100 Degrees Celsius (212 Degrees Fahrenheit).
From slideplayer.com
Introduction to Earth Science ppt download Water Boils At 100 Degrees Celsius (212 Degrees Fahrenheit) If you boil water at a higher pressure (below sea level, for example), the boiling point is higher than 100 °c. at sea level, water boils at 100 °c (212 °f) and freezes at 0 °c (32 °f). The normal boiling point is commonly given as 100 °c. Use f=y and c=x and you were given two. boiling. Water Boils At 100 Degrees Celsius (212 Degrees Fahrenheit).
From ar.inspiredpencil.com
Boiling Point Of Water Fahrenheit Water Boils At 100 Degrees Celsius (212 Degrees Fahrenheit) Conventionally, the temperature at which water boils is 100 degrees celsius or 212 fahrenheit but only at sea level. at sea level, water boils at 100 °c (212 °f) and freezes at 0 °c (32 °f). The normal boiling point is commonly given as 100 °c. To convert from celsius to fahrenheit, we can use the formula °f =. Water Boils At 100 Degrees Celsius (212 Degrees Fahrenheit).
From www.numerade.com
SOLVEDWater freezes at 0^∘ Celsius and 32^∘ Fahrenheit and it boils at Water Boils At 100 Degrees Celsius (212 Degrees Fahrenheit) Conventionally, the temperature at which water boils is 100 degrees celsius or 212 fahrenheit but only at sea level. water boils at 100 c and 212 f. there are two conventions regarding the standard boiling point of water: If you boil water at a higher pressure (below sea level, for example), the boiling point is higher than 100. Water Boils At 100 Degrees Celsius (212 Degrees Fahrenheit).
From www.haikudeck.com
Temperature And Slope by Harriette Knight Water Boils At 100 Degrees Celsius (212 Degrees Fahrenheit) Use f=y and c=x and you were given two. When water reaches 212 degrees fahrenheit (100 degrees celsius) and boils, it is absorbing both. To convert from celsius to fahrenheit, we can use the formula °f = (°c × 9/5) + 32. Conventionally, the temperature at which water boils is 100 degrees celsius or 212 fahrenheit but only at sea. Water Boils At 100 Degrees Celsius (212 Degrees Fahrenheit).
From askfilo.com
Water boils at 100 degrees Celsius (212 degrees Fahrenheit). Filo Water Boils At 100 Degrees Celsius (212 Degrees Fahrenheit) at sea level, water boils at 100 °c (212 °f) and freezes at 0 °c (32 °f). Find the equation of the line that relates f to c. At a lower pressure (like in the mountains), the boiling point is a lower temperature. To convert from celsius to fahrenheit, we can use the formula °f = (°c × 9/5). Water Boils At 100 Degrees Celsius (212 Degrees Fahrenheit).
From exouuujdu.blob.core.windows.net
Is The Boiling Point Of Water Always 100 Degrees Celsius at Juanita Water Boils At 100 Degrees Celsius (212 Degrees Fahrenheit) Use f=y and c=x and you were given two. At a lower pressure (like in the mountains), the boiling point is a lower temperature. The normal boiling point is commonly given as 100 °c. boiling water is characterized by energetic bubbles and steam and it is considered to be hot. if you want a quick and simple answer,. Water Boils At 100 Degrees Celsius (212 Degrees Fahrenheit).
From lynxtime.medium.com
Why Water Boils at 100 Degrees. The Science Behind Why Water Boils at Water Boils At 100 Degrees Celsius (212 Degrees Fahrenheit) Find the equation of the line that relates f to c. there are two conventions regarding the standard boiling point of water: At a lower pressure (like in the mountains), the boiling point is a lower temperature. To convert from celsius to fahrenheit, we can use the formula °f = (°c × 9/5) + 32. at sea level,. Water Boils At 100 Degrees Celsius (212 Degrees Fahrenheit).
From slideplayer.com
Matter and Temperature ppt download Water Boils At 100 Degrees Celsius (212 Degrees Fahrenheit) there are two conventions regarding the standard boiling point of water: water boils at 100 c and 212 f. Conventionally, the temperature at which water boils is 100 degrees celsius or 212 fahrenheit but only at sea level. if you want a quick and simple answer, you can say that the boiling point of water is 100. Water Boils At 100 Degrees Celsius (212 Degrees Fahrenheit).
From www.allthescience.org
What Is the Difference between Fahrenheit and Celsius? Water Boils At 100 Degrees Celsius (212 Degrees Fahrenheit) there are two conventions regarding the standard boiling point of water: if you want a quick and simple answer, you can say that the boiling point of water is 100 °c or 212 °f at 1 atmosphere. The normal boiling point is commonly given as 100 °c. If you boil water at a higher pressure (below sea level,. Water Boils At 100 Degrees Celsius (212 Degrees Fahrenheit).
From www.alamy.com
Boiling water in a tall beaker. Close up of escaping bubbles of steam Water Boils At 100 Degrees Celsius (212 Degrees Fahrenheit) Conventionally, the temperature at which water boils is 100 degrees celsius or 212 fahrenheit but only at sea level. If you boil water at a higher pressure (below sea level, for example), the boiling point is higher than 100 °c. there are two conventions regarding the standard boiling point of water: if you want a quick and simple. Water Boils At 100 Degrees Celsius (212 Degrees Fahrenheit).
From www.chegg.com
Solved Water boils at 100 degree C or 212 degree F. Human Water Boils At 100 Degrees Celsius (212 Degrees Fahrenheit) Find the equation of the line that relates f to c. To convert from celsius to fahrenheit, we can use the formula °f = (°c × 9/5) + 32. Use f=y and c=x and you were given two. If you boil water at a higher pressure (below sea level, for example), the boiling point is higher than 100 °c. When. Water Boils At 100 Degrees Celsius (212 Degrees Fahrenheit).
From exouuujdu.blob.core.windows.net
Is The Boiling Point Of Water Always 100 Degrees Celsius at Juanita Water Boils At 100 Degrees Celsius (212 Degrees Fahrenheit) at sea level, water boils at 100 °c (212 °f) and freezes at 0 °c (32 °f). When water reaches 212 degrees fahrenheit (100 degrees celsius) and boils, it is absorbing both. if you want a quick and simple answer, you can say that the boiling point of water is 100 °c or 212 °f at 1 atmosphere.. Water Boils At 100 Degrees Celsius (212 Degrees Fahrenheit).
From brainly.com
3. You believe that water boils at 212 degrees Fahrenheit (100 degrees Water Boils At 100 Degrees Celsius (212 Degrees Fahrenheit) if you want a quick and simple answer, you can say that the boiling point of water is 100 °c or 212 °f at 1 atmosphere. At a lower pressure (like in the mountains), the boiling point is a lower temperature. When water reaches 212 degrees fahrenheit (100 degrees celsius) and boils, it is absorbing both. water boils. Water Boils At 100 Degrees Celsius (212 Degrees Fahrenheit).
From slideplayer.com
CHAPTER 9 Measurement. ppt download Water Boils At 100 Degrees Celsius (212 Degrees Fahrenheit) boiling water is characterized by energetic bubbles and steam and it is considered to be hot. there are two conventions regarding the standard boiling point of water: Conventionally, the temperature at which water boils is 100 degrees celsius or 212 fahrenheit but only at sea level. at sea level, water boils at 100 °c (212 °f) and. Water Boils At 100 Degrees Celsius (212 Degrees Fahrenheit).
From slideplayer.com
Environmental Systems ppt download Water Boils At 100 Degrees Celsius (212 Degrees Fahrenheit) there are two conventions regarding the standard boiling point of water: If you boil water at a higher pressure (below sea level, for example), the boiling point is higher than 100 °c. Use f=y and c=x and you were given two. at sea level, water boils at 100 °c (212 °f) and freezes at 0 °c (32 °f).. Water Boils At 100 Degrees Celsius (212 Degrees Fahrenheit).
From www.numerade.com
SOLVED Water freezes at 0 degrees Celsius, which is the same as 32 Water Boils At 100 Degrees Celsius (212 Degrees Fahrenheit) The normal boiling point is commonly given as 100 °c. Find the equation of the line that relates f to c. water boils at 100 c and 212 f. When water reaches 212 degrees fahrenheit (100 degrees celsius) and boils, it is absorbing both. At a lower pressure (like in the mountains), the boiling point is a lower temperature.. Water Boils At 100 Degrees Celsius (212 Degrees Fahrenheit).
From www.theknowledgelibrary.in
What is the Boiling Point of Water? The Knowledge Library Water Boils At 100 Degrees Celsius (212 Degrees Fahrenheit) at sea level, water boils at 100 °c (212 °f) and freezes at 0 °c (32 °f). When water reaches 212 degrees fahrenheit (100 degrees celsius) and boils, it is absorbing both. boiling water is characterized by energetic bubbles and steam and it is considered to be hot. there are two conventions regarding the standard boiling point. Water Boils At 100 Degrees Celsius (212 Degrees Fahrenheit).