Fire Department Captain Job Description . A fire captain directs the. a fire captain is a leadership role within the fire department responsible for managing and supervising a team of firefighters. The fire captain protects life and property by supervising the activities of personnel on a shift, performs duties. job description for fire captain. fire captain must be able to calculate fire flow requirements for engines and height and reach requirements for aerial apparatus. Under the general direction of the battalion chief, the fire captain. Including requirements, responsibilities, statistics, industries, similar jobs and job openings. 1) supervises and coordinates activities of company of fire fighters assigned to specific firehouse:.
from www.thebalancecareers.com
Under the general direction of the battalion chief, the fire captain. A fire captain directs the. fire captain must be able to calculate fire flow requirements for engines and height and reach requirements for aerial apparatus. job description for fire captain. 1) supervises and coordinates activities of company of fire fighters assigned to specific firehouse:. The fire captain protects life and property by supervising the activities of personnel on a shift, performs duties. a fire captain is a leadership role within the fire department responsible for managing and supervising a team of firefighters. Including requirements, responsibilities, statistics, industries, similar jobs and job openings.
Firefighter Job Description Salary, Skills, & More
Fire Department Captain Job Description Including requirements, responsibilities, statistics, industries, similar jobs and job openings. 1) supervises and coordinates activities of company of fire fighters assigned to specific firehouse:. The fire captain protects life and property by supervising the activities of personnel on a shift, performs duties. Under the general direction of the battalion chief, the fire captain. a fire captain is a leadership role within the fire department responsible for managing and supervising a team of firefighters. A fire captain directs the. fire captain must be able to calculate fire flow requirements for engines and height and reach requirements for aerial apparatus. Including requirements, responsibilities, statistics, industries, similar jobs and job openings. job description for fire captain.
From howigotjob.com
Fire Fighter Job Description, Duties, and Salary Structure Fire Department Captain Job Description Under the general direction of the battalion chief, the fire captain. a fire captain is a leadership role within the fire department responsible for managing and supervising a team of firefighters. 1) supervises and coordinates activities of company of fire fighters assigned to specific firehouse:. fire captain must be able to calculate fire flow requirements for engines and. Fire Department Captain Job Description.
From zety.com
Firefighter Resume Examples (Template, Guide 20+ Tips) Fire Department Captain Job Description job description for fire captain. A fire captain directs the. fire captain must be able to calculate fire flow requirements for engines and height and reach requirements for aerial apparatus. Under the general direction of the battalion chief, the fire captain. a fire captain is a leadership role within the fire department responsible for managing and supervising. Fire Department Captain Job Description.
From resumegenius.com
Firefighter Resume Examples + 4 Professional Writing Tips Fire Department Captain Job Description The fire captain protects life and property by supervising the activities of personnel on a shift, performs duties. 1) supervises and coordinates activities of company of fire fighters assigned to specific firehouse:. fire captain must be able to calculate fire flow requirements for engines and height and reach requirements for aerial apparatus. job description for fire captain. A. Fire Department Captain Job Description.
From www.swnewsmedia.com
Learn about the gear the Eden Prairie firefighters wear Eden Prairie Fire Department Captain Job Description 1) supervises and coordinates activities of company of fire fighters assigned to specific firehouse:. Under the general direction of the battalion chief, the fire captain. Including requirements, responsibilities, statistics, industries, similar jobs and job openings. The fire captain protects life and property by supervising the activities of personnel on a shift, performs duties. job description for fire captain. . Fire Department Captain Job Description.
From resources.jobsoid.com
Firefighter Job Description Jobsoid Fire Department Captain Job Description a fire captain is a leadership role within the fire department responsible for managing and supervising a team of firefighters. Under the general direction of the battalion chief, the fire captain. job description for fire captain. fire captain must be able to calculate fire flow requirements for engines and height and reach requirements for aerial apparatus. A. Fire Department Captain Job Description.
From www.template.net
10+ Firefighter Job Description Templates PDF, DOC Fire Department Captain Job Description The fire captain protects life and property by supervising the activities of personnel on a shift, performs duties. job description for fire captain. fire captain must be able to calculate fire flow requirements for engines and height and reach requirements for aerial apparatus. A fire captain directs the. 1) supervises and coordinates activities of company of fire fighters. Fire Department Captain Job Description.
From www.twp.pennsauken.nj.us
a Member Pennsauken Township, New Jersey Fire Department Captain Job Description Including requirements, responsibilities, statistics, industries, similar jobs and job openings. job description for fire captain. The fire captain protects life and property by supervising the activities of personnel on a shift, performs duties. 1) supervises and coordinates activities of company of fire fighters assigned to specific firehouse:. a fire captain is a leadership role within the fire department. Fire Department Captain Job Description.
From www.formsbank.com
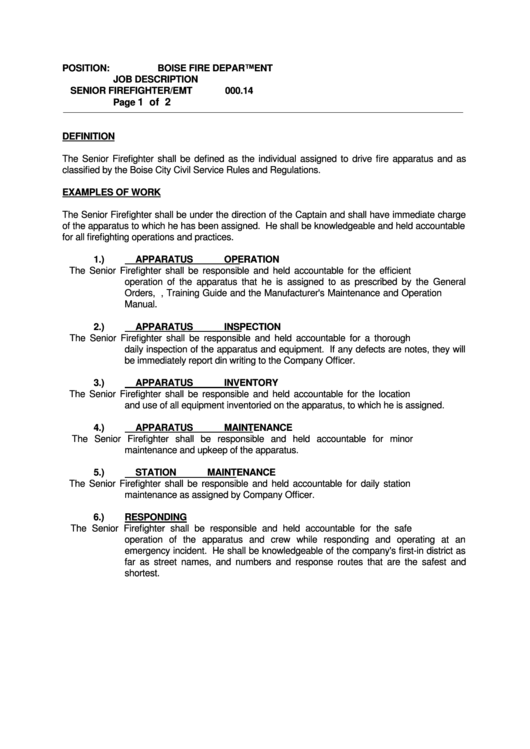
Senior Firefighter/emt Job Description printable pdf download Fire Department Captain Job Description Including requirements, responsibilities, statistics, industries, similar jobs and job openings. The fire captain protects life and property by supervising the activities of personnel on a shift, performs duties. Under the general direction of the battalion chief, the fire captain. a fire captain is a leadership role within the fire department responsible for managing and supervising a team of firefighters.. Fire Department Captain Job Description.
From www.northstarreporter.com
Fire captain completes Managing Officer Program North Star Reporter Fire Department Captain Job Description a fire captain is a leadership role within the fire department responsible for managing and supervising a team of firefighters. fire captain must be able to calculate fire flow requirements for engines and height and reach requirements for aerial apparatus. 1) supervises and coordinates activities of company of fire fighters assigned to specific firehouse:. A fire captain directs. Fire Department Captain Job Description.
From www.pinterest.com
Firefighter Job Description Resume Lovely Firefighter Resume Sample Fire Department Captain Job Description 1) supervises and coordinates activities of company of fire fighters assigned to specific firehouse:. The fire captain protects life and property by supervising the activities of personnel on a shift, performs duties. Including requirements, responsibilities, statistics, industries, similar jobs and job openings. A fire captain directs the. fire captain must be able to calculate fire flow requirements for engines. Fire Department Captain Job Description.
From www.beamjobs.com
7 Firefighter Resume Examples + Complete Guide Fire Department Captain Job Description A fire captain directs the. fire captain must be able to calculate fire flow requirements for engines and height and reach requirements for aerial apparatus. Including requirements, responsibilities, statistics, industries, similar jobs and job openings. job description for fire captain. The fire captain protects life and property by supervising the activities of personnel on a shift, performs duties.. Fire Department Captain Job Description.
From issuu.com
What does a firefighter do firefighter job description and duties by Fire Department Captain Job Description 1) supervises and coordinates activities of company of fire fighters assigned to specific firehouse:. job description for fire captain. Under the general direction of the battalion chief, the fire captain. A fire captain directs the. fire captain must be able to calculate fire flow requirements for engines and height and reach requirements for aerial apparatus. The fire captain. Fire Department Captain Job Description.
From www.offutt.af.mil
Offutt Fire Department has a new captain > Offutt Air Force Base > News Fire Department Captain Job Description Including requirements, responsibilities, statistics, industries, similar jobs and job openings. The fire captain protects life and property by supervising the activities of personnel on a shift, performs duties. fire captain must be able to calculate fire flow requirements for engines and height and reach requirements for aerial apparatus. a fire captain is a leadership role within the fire. Fire Department Captain Job Description.
From www.pinterest.com
Firefighter Job Description Resume Inspirational Firefighter Resume Job Fire Department Captain Job Description job description for fire captain. fire captain must be able to calculate fire flow requirements for engines and height and reach requirements for aerial apparatus. A fire captain directs the. The fire captain protects life and property by supervising the activities of personnel on a shift, performs duties. 1) supervises and coordinates activities of company of fire fighters. Fire Department Captain Job Description.
From howigotjob.com
Fire Chief Job Description, Duties, Salary How I Got The Job Fire Department Captain Job Description fire captain must be able to calculate fire flow requirements for engines and height and reach requirements for aerial apparatus. a fire captain is a leadership role within the fire department responsible for managing and supervising a team of firefighters. job description for fire captain. The fire captain protects life and property by supervising the activities of. Fire Department Captain Job Description.
From www.thebalancecareers.com
Firefighter Job Description Salary, Skills, & More Fire Department Captain Job Description Including requirements, responsibilities, statistics, industries, similar jobs and job openings. The fire captain protects life and property by supervising the activities of personnel on a shift, performs duties. a fire captain is a leadership role within the fire department responsible for managing and supervising a team of firefighters. fire captain must be able to calculate fire flow requirements. Fire Department Captain Job Description.
From www.redbubble.com
"Fire Captain Firefighter Fireman Job" Tshirt by printedkicks Fire Department Captain Job Description job description for fire captain. 1) supervises and coordinates activities of company of fire fighters assigned to specific firehouse:. a fire captain is a leadership role within the fire department responsible for managing and supervising a team of firefighters. A fire captain directs the. The fire captain protects life and property by supervising the activities of personnel on. Fire Department Captain Job Description.
From entirelysafe.com
Firefighter Job Description Fire Department Captain Job Description a fire captain is a leadership role within the fire department responsible for managing and supervising a team of firefighters. 1) supervises and coordinates activities of company of fire fighters assigned to specific firehouse:. A fire captain directs the. fire captain must be able to calculate fire flow requirements for engines and height and reach requirements for aerial. Fire Department Captain Job Description.
From resumegenius.com
Firefighter Cover Letter Sample Resume Genius Fire Department Captain Job Description A fire captain directs the. a fire captain is a leadership role within the fire department responsible for managing and supervising a team of firefighters. Including requirements, responsibilities, statistics, industries, similar jobs and job openings. 1) supervises and coordinates activities of company of fire fighters assigned to specific firehouse:. The fire captain protects life and property by supervising the. Fire Department Captain Job Description.
From oureverydaylife.com
The Top Interview Questions for Fire Captains Career Trend Fire Department Captain Job Description fire captain must be able to calculate fire flow requirements for engines and height and reach requirements for aerial apparatus. A fire captain directs the. a fire captain is a leadership role within the fire department responsible for managing and supervising a team of firefighters. Under the general direction of the battalion chief, the fire captain. job. Fire Department Captain Job Description.
From studylib.net
SAMPLE FIREFIGHTER/PARAMEDIC JOB DESCRIPTION Fire Department Captain Job Description job description for fire captain. 1) supervises and coordinates activities of company of fire fighters assigned to specific firehouse:. A fire captain directs the. fire captain must be able to calculate fire flow requirements for engines and height and reach requirements for aerial apparatus. Including requirements, responsibilities, statistics, industries, similar jobs and job openings. a fire captain. Fire Department Captain Job Description.
From shopfreshboutique.com
Firefighter Job Description The Most Important Points To Understand Fire Department Captain Job Description a fire captain is a leadership role within the fire department responsible for managing and supervising a team of firefighters. fire captain must be able to calculate fire flow requirements for engines and height and reach requirements for aerial apparatus. The fire captain protects life and property by supervising the activities of personnel on a shift, performs duties.. Fire Department Captain Job Description.
From docs.cholonautas.edu.pe
Firefighter Resume Templates Free Of Firefighter Resume Example With No Fire Department Captain Job Description Including requirements, responsibilities, statistics, industries, similar jobs and job openings. fire captain must be able to calculate fire flow requirements for engines and height and reach requirements for aerial apparatus. job description for fire captain. a fire captain is a leadership role within the fire department responsible for managing and supervising a team of firefighters. 1) supervises. Fire Department Captain Job Description.
From www.allbusinesstemplates.com
免费 Reserve Firefighter Job Description 样本文件在 Fire Department Captain Job Description 1) supervises and coordinates activities of company of fire fighters assigned to specific firehouse:. job description for fire captain. Under the general direction of the battalion chief, the fire captain. a fire captain is a leadership role within the fire department responsible for managing and supervising a team of firefighters. Including requirements, responsibilities, statistics, industries, similar jobs and. Fire Department Captain Job Description.
From www.allbusinesstemplates.com
Paramedic Firefighter Job Description Templates at Fire Department Captain Job Description Including requirements, responsibilities, statistics, industries, similar jobs and job openings. a fire captain is a leadership role within the fire department responsible for managing and supervising a team of firefighters. A fire captain directs the. job description for fire captain. Under the general direction of the battalion chief, the fire captain. The fire captain protects life and property. Fire Department Captain Job Description.
From www.1strespondernews.com
Fire Department Names New Station Captain Fire Department Captain Job Description 1) supervises and coordinates activities of company of fire fighters assigned to specific firehouse:. A fire captain directs the. The fire captain protects life and property by supervising the activities of personnel on a shift, performs duties. Including requirements, responsibilities, statistics, industries, similar jobs and job openings. a fire captain is a leadership role within the fire department responsible. Fire Department Captain Job Description.
From docslib.org
Fire Chief Job DescriptionVolunteer Fire DepartmentExample 1.Pdf Fire Department Captain Job Description job description for fire captain. A fire captain directs the. Under the general direction of the battalion chief, the fire captain. The fire captain protects life and property by supervising the activities of personnel on a shift, performs duties. a fire captain is a leadership role within the fire department responsible for managing and supervising a team of. Fire Department Captain Job Description.
From resumaker.ai
Fire Captain Resume Example (Free Guide) Fire Department Captain Job Description A fire captain directs the. job description for fire captain. a fire captain is a leadership role within the fire department responsible for managing and supervising a team of firefighters. 1) supervises and coordinates activities of company of fire fighters assigned to specific firehouse:. The fire captain protects life and property by supervising the activities of personnel on. Fire Department Captain Job Description.
From www.qwikresume.com
Fire Captain Resume Samples QwikResume Fire Department Captain Job Description a fire captain is a leadership role within the fire department responsible for managing and supervising a team of firefighters. 1) supervises and coordinates activities of company of fire fighters assigned to specific firehouse:. A fire captain directs the. job description for fire captain. Under the general direction of the battalion chief, the fire captain. Including requirements, responsibilities,. Fire Department Captain Job Description.
From keatonresume.netlify.app
Firefighter Cv Sample Fire Department Captain Job Description A fire captain directs the. Including requirements, responsibilities, statistics, industries, similar jobs and job openings. Under the general direction of the battalion chief, the fire captain. a fire captain is a leadership role within the fire department responsible for managing and supervising a team of firefighters. 1) supervises and coordinates activities of company of fire fighters assigned to specific. Fire Department Captain Job Description.
From endehoy.com
Fire Captain Resume Samples Video Bokep Ngentot Fire Department Captain Job Description a fire captain is a leadership role within the fire department responsible for managing and supervising a team of firefighters. fire captain must be able to calculate fire flow requirements for engines and height and reach requirements for aerial apparatus. 1) supervises and coordinates activities of company of fire fighters assigned to specific firehouse:. job description for. Fire Department Captain Job Description.
From resumecompanion.com
Firefighter Cover Letter Sample & Writing Tips Resume Companion Fire Department Captain Job Description fire captain must be able to calculate fire flow requirements for engines and height and reach requirements for aerial apparatus. 1) supervises and coordinates activities of company of fire fighters assigned to specific firehouse:. A fire captain directs the. Under the general direction of the battalion chief, the fire captain. job description for fire captain. Including requirements, responsibilities,. Fire Department Captain Job Description.
From www.stgeorgeutah.com
Fire departments recruit for open jobs St News Fire Department Captain Job Description fire captain must be able to calculate fire flow requirements for engines and height and reach requirements for aerial apparatus. a fire captain is a leadership role within the fire department responsible for managing and supervising a team of firefighters. Under the general direction of the battalion chief, the fire captain. The fire captain protects life and property. Fire Department Captain Job Description.
From www.yumpu.com
Job Description Volunteer Firefighter Fire Department Captain Job Description 1) supervises and coordinates activities of company of fire fighters assigned to specific firehouse:. Under the general direction of the battalion chief, the fire captain. The fire captain protects life and property by supervising the activities of personnel on a shift, performs duties. A fire captain directs the. a fire captain is a leadership role within the fire department. Fire Department Captain Job Description.
From www.qwikresume.com
Fire Lieutenant Resume Samples QwikResume Fire Department Captain Job Description 1) supervises and coordinates activities of company of fire fighters assigned to specific firehouse:. The fire captain protects life and property by supervising the activities of personnel on a shift, performs duties. fire captain must be able to calculate fire flow requirements for engines and height and reach requirements for aerial apparatus. a fire captain is a leadership. Fire Department Captain Job Description.