Limits And Continuity Quizlet . Limits and continuity practice test quiz for 12th grade students. Evaluate using continuity, if possible: Unit 1 limits and continuity. Quiz 2 limits and continuity. How is it denoted, what are the three ways to evaluate a. Study with quizlet and memorize flashcards containing terms like continuity at a point, continuity at endpoints, removable. Ap calculus ab practice test 2: Find other quizzes for mathematics and more on quizizz for free! Calculus 1 8 units · 171 skills. Study with quizlet and memorize flashcards containing terms like what is a limit? This test contains 11 ap calculus ab practice questions with detailed explanations, to. Study with quizlet and memorize flashcards containing terms like continuous function, discontinuous function, step discontinuity (jump) and more. Calculus 1 > unit 1.
        	
		 
	 
    
         
         
        from quizizz.com 
     
        
        Ap calculus ab practice test 2: Study with quizlet and memorize flashcards containing terms like continuous function, discontinuous function, step discontinuity (jump) and more. Evaluate using continuity, if possible: Calculus 1 8 units · 171 skills. Quiz 2 limits and continuity. Find other quizzes for mathematics and more on quizizz for free! Study with quizlet and memorize flashcards containing terms like what is a limit? Unit 1 limits and continuity. This test contains 11 ap calculus ab practice questions with detailed explanations, to. Limits and continuity practice test quiz for 12th grade students.
    
    	
		 
	 
    50+ limits and continuity worksheets for 9th Grade on Quizizz Free 
    Limits And Continuity Quizlet  Study with quizlet and memorize flashcards containing terms like what is a limit? Quiz 2 limits and continuity. This test contains 11 ap calculus ab practice questions with detailed explanations, to. Study with quizlet and memorize flashcards containing terms like what is a limit? Calculus 1 8 units · 171 skills. Calculus 1 > unit 1. Find other quizzes for mathematics and more on quizizz for free! Unit 1 limits and continuity. Limits and continuity practice test quiz for 12th grade students. Study with quizlet and memorize flashcards containing terms like continuity at a point, continuity at endpoints, removable. Ap calculus ab practice test 2: Study with quizlet and memorize flashcards containing terms like continuous function, discontinuous function, step discontinuity (jump) and more. Evaluate using continuity, if possible: How is it denoted, what are the three ways to evaluate a.
 
    
         
        From quizizz.com 
                    50+ limits and continuity worksheets for 12th Grade on Quizizz Free Limits And Continuity Quizlet  Limits and continuity practice test quiz for 12th grade students. Unit 1 limits and continuity. Calculus 1 8 units · 171 skills. Study with quizlet and memorize flashcards containing terms like what is a limit? Find other quizzes for mathematics and more on quizizz for free! Study with quizlet and memorize flashcards containing terms like continuity at a point, continuity. Limits And Continuity Quizlet.
     
    
         
        From www.scribd.com 
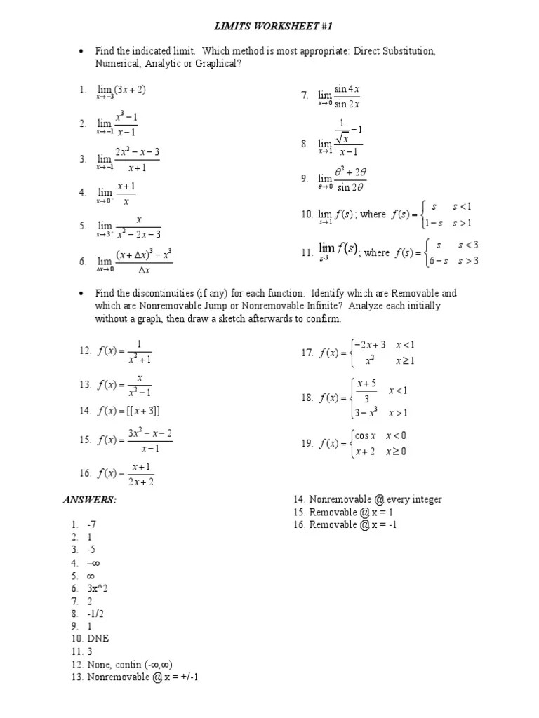
                    Limits and Continuity Worksheet PDF PDF Teaching Mathematics Limits And Continuity Quizlet  Study with quizlet and memorize flashcards containing terms like continuity at a point, continuity at endpoints, removable. Calculus 1 > unit 1. Ap calculus ab practice test 2: How is it denoted, what are the three ways to evaluate a. Unit 1 limits and continuity. Calculus 1 8 units · 171 skills. Evaluate using continuity, if possible: Find other quizzes. Limits And Continuity Quizlet.
     
    
         
        From www.flamingomath.com 
                    Limits and Continuity Bundle Flamingo Math with Jean Adams Limits And Continuity Quizlet  Study with quizlet and memorize flashcards containing terms like continuity at a point, continuity at endpoints, removable. Unit 1 limits and continuity. Limits and continuity practice test quiz for 12th grade students. Study with quizlet and memorize flashcards containing terms like continuous function, discontinuous function, step discontinuity (jump) and more. Calculus 1 8 units · 171 skills. This test contains. Limits And Continuity Quizlet.
     
    
         
        From classfullelena.z13.web.core.windows.net 
                    Limits And Continuity Exercises With Answers Limits And Continuity Quizlet  Quiz 2 limits and continuity. How is it denoted, what are the three ways to evaluate a. This test contains 11 ap calculus ab practice questions with detailed explanations, to. Ap calculus ab practice test 2: Study with quizlet and memorize flashcards containing terms like continuity at a point, continuity at endpoints, removable. Calculus 1 8 units · 171 skills.. Limits And Continuity Quizlet.
     
    
         
        From quizizz.com 
                    50+ limits and continuity worksheets for 11th Grade on Quizizz Free Limits And Continuity Quizlet  Limits and continuity practice test quiz for 12th grade students. Evaluate using continuity, if possible: Calculus 1 > unit 1. Study with quizlet and memorize flashcards containing terms like what is a limit? Calculus 1 8 units · 171 skills. Ap calculus ab practice test 2: Study with quizlet and memorize flashcards containing terms like continuous function, discontinuous function, step. Limits And Continuity Quizlet.
     
    
         
        From quizizz.com 
                    50+ limits and continuity worksheets on Quizizz Free & Printable Limits And Continuity Quizlet  Study with quizlet and memorize flashcards containing terms like what is a limit? Limits and continuity practice test quiz for 12th grade students. Calculus 1 8 units · 171 skills. Study with quizlet and memorize flashcards containing terms like continuity at a point, continuity at endpoints, removable. Unit 1 limits and continuity. Find other quizzes for mathematics and more on. Limits And Continuity Quizlet.
     
    
         
        From quizizz.com 
                    50+ limits and continuity worksheets on Quizizz Free & Printable Limits And Continuity Quizlet  Evaluate using continuity, if possible: Study with quizlet and memorize flashcards containing terms like continuity at a point, continuity at endpoints, removable. Ap calculus ab practice test 2: Quiz 2 limits and continuity. Find other quizzes for mathematics and more on quizizz for free! Calculus 1 > unit 1. How is it denoted, what are the three ways to evaluate. Limits And Continuity Quizlet.
     
    
         
        From www.slideshare.net 
                    11X1 T08 01 limits & continuity Limits And Continuity Quizlet  Calculus 1 8 units · 171 skills. Unit 1 limits and continuity. Find other quizzes for mathematics and more on quizizz for free! Evaluate using continuity, if possible: Quiz 2 limits and continuity. Limits and continuity practice test quiz for 12th grade students. Study with quizlet and memorize flashcards containing terms like continuity at a point, continuity at endpoints, removable.. Limits And Continuity Quizlet.
     
    
         
        From quizizz.com 
                    50+ limits and continuity worksheets on Quizizz Free & Printable Limits And Continuity Quizlet  How is it denoted, what are the three ways to evaluate a. Ap calculus ab practice test 2: Study with quizlet and memorize flashcards containing terms like continuous function, discontinuous function, step discontinuity (jump) and more. Evaluate using continuity, if possible: Unit 1 limits and continuity. Find other quizzes for mathematics and more on quizizz for free! Calculus 1 8. Limits And Continuity Quizlet.
     
    
         
        From quizizz.com 
                    50+ limits and continuity worksheets on Quizizz Free & Printable Limits And Continuity Quizlet  Study with quizlet and memorize flashcards containing terms like what is a limit? Ap calculus ab practice test 2: Evaluate using continuity, if possible: Limits and continuity practice test quiz for 12th grade students. Unit 1 limits and continuity. How is it denoted, what are the three ways to evaluate a. This test contains 11 ap calculus ab practice questions. Limits And Continuity Quizlet.
     
    
         
        From quizizz.com 
                    Printable limits and continuity Worksheets Quizizz Limits And Continuity Quizlet  Limits and continuity practice test quiz for 12th grade students. Evaluate using continuity, if possible: Quiz 2 limits and continuity. This test contains 11 ap calculus ab practice questions with detailed explanations, to. Calculus 1 > unit 1. Unit 1 limits and continuity. Study with quizlet and memorize flashcards containing terms like continuity at a point, continuity at endpoints, removable.. Limits And Continuity Quizlet.
     
    
         
        From quizizz.com 
                    50+ limits and continuity worksheets on Quizizz Free & Printable Limits And Continuity Quizlet  Study with quizlet and memorize flashcards containing terms like what is a limit? Ap calculus ab practice test 2: Unit 1 limits and continuity. Find other quizzes for mathematics and more on quizizz for free! Calculus 1 8 units · 171 skills. Study with quizlet and memorize flashcards containing terms like continuous function, discontinuous function, step discontinuity (jump) and more.. Limits And Continuity Quizlet.
     
    
         
        From www.youtube.com 
                    1.4. Limits and Continuity Example1 Part1 YouTube Limits And Continuity Quizlet  This test contains 11 ap calculus ab practice questions with detailed explanations, to. Study with quizlet and memorize flashcards containing terms like continuous function, discontinuous function, step discontinuity (jump) and more. Study with quizlet and memorize flashcards containing terms like continuity at a point, continuity at endpoints, removable. How is it denoted, what are the three ways to evaluate a.. Limits And Continuity Quizlet.
     
    
         
        From quizizz.com 
                    50+ limits and continuity worksheets for 9th Grade on Quizizz Free Limits And Continuity Quizlet  This test contains 11 ap calculus ab practice questions with detailed explanations, to. How is it denoted, what are the three ways to evaluate a. Evaluate using continuity, if possible: Quiz 2 limits and continuity. Ap calculus ab practice test 2: Study with quizlet and memorize flashcards containing terms like continuous function, discontinuous function, step discontinuity (jump) and more. Study. Limits And Continuity Quizlet.
     
    
         
        From calcworkshop.com 
                    Limits And Continuity (How To w/ StepbyStep Examples!) Limits And Continuity Quizlet  Limits and continuity practice test quiz for 12th grade students. Evaluate using continuity, if possible: Study with quizlet and memorize flashcards containing terms like what is a limit? How is it denoted, what are the three ways to evaluate a. This test contains 11 ap calculus ab practice questions with detailed explanations, to. Ap calculus ab practice test 2: Calculus. Limits And Continuity Quizlet.
     
    
         
        From quizizz.com 
                    50+ limits and continuity worksheets for 12th Class on Quizizz Free Limits And Continuity Quizlet  Study with quizlet and memorize flashcards containing terms like what is a limit? Study with quizlet and memorize flashcards containing terms like continuity at a point, continuity at endpoints, removable. Quiz 2 limits and continuity. Evaluate using continuity, if possible: Ap calculus ab practice test 2: Limits and continuity practice test quiz for 12th grade students. Calculus 1 > unit. Limits And Continuity Quizlet.
     
    
         
        From quizizz.com 
                    50+ limits and continuity worksheets for 11th Grade on Quizizz Free Limits And Continuity Quizlet  Study with quizlet and memorize flashcards containing terms like continuous function, discontinuous function, step discontinuity (jump) and more. Study with quizlet and memorize flashcards containing terms like continuity at a point, continuity at endpoints, removable. Quiz 2 limits and continuity. Limits and continuity practice test quiz for 12th grade students. This test contains 11 ap calculus ab practice questions with. Limits And Continuity Quizlet.
     
    
         
        From quizizz.com 
                    50+ limits and continuity worksheets on Quizizz Free & Printable Limits And Continuity Quizlet  This test contains 11 ap calculus ab practice questions with detailed explanations, to. How is it denoted, what are the three ways to evaluate a. Quiz 2 limits and continuity. Limits and continuity practice test quiz for 12th grade students. Study with quizlet and memorize flashcards containing terms like continuous function, discontinuous function, step discontinuity (jump) and more. Study with. Limits And Continuity Quizlet.
     
    
         
        From www.math.canterbury.ac.nz 
                    Limits and Continuity MATH100 Revision Exercises Resources Limits And Continuity Quizlet  Unit 1 limits and continuity. Study with quizlet and memorize flashcards containing terms like continuous function, discontinuous function, step discontinuity (jump) and more. Calculus 1 8 units · 171 skills. Study with quizlet and memorize flashcards containing terms like what is a limit? Find other quizzes for mathematics and more on quizizz for free! This test contains 11 ap calculus. Limits And Continuity Quizlet.
     
    
         
        From quizizz.com 
                    50+ limits and continuity worksheets for 11th Grade on Quizizz Free Limits And Continuity Quizlet  Study with quizlet and memorize flashcards containing terms like continuity at a point, continuity at endpoints, removable. Study with quizlet and memorize flashcards containing terms like what is a limit? Limits and continuity practice test quiz for 12th grade students. Quiz 2 limits and continuity. This test contains 11 ap calculus ab practice questions with detailed explanations, to. How is. Limits And Continuity Quizlet.
     
    
         
        From quizizz.com 
                    50+ limits and continuity worksheets for 12th Grade on Quizizz Free Limits And Continuity Quizlet  Study with quizlet and memorize flashcards containing terms like continuity at a point, continuity at endpoints, removable. How is it denoted, what are the three ways to evaluate a. Unit 1 limits and continuity. Calculus 1 8 units · 171 skills. Study with quizlet and memorize flashcards containing terms like continuous function, discontinuous function, step discontinuity (jump) and more. Ap. Limits And Continuity Quizlet.
     
    
         
        From quizlet.com 
                    Use the definition of continuity to show that the given func Quizlet Limits And Continuity Quizlet  How is it denoted, what are the three ways to evaluate a. Calculus 1 8 units · 171 skills. Study with quizlet and memorize flashcards containing terms like continuous function, discontinuous function, step discontinuity (jump) and more. Limits and continuity practice test quiz for 12th grade students. Calculus 1 > unit 1. Study with quizlet and memorize flashcards containing terms. Limits And Continuity Quizlet.
     
    
         
        From www.numerade.com 
                    SOLVEDLimits and Continuity In Exercises 510, use the graph to Limits And Continuity Quizlet  Ap calculus ab practice test 2: How is it denoted, what are the three ways to evaluate a. Study with quizlet and memorize flashcards containing terms like continuity at a point, continuity at endpoints, removable. Quiz 2 limits and continuity. Unit 1 limits and continuity. Calculus 1 8 units · 171 skills. Limits and continuity practice test quiz for 12th. Limits And Continuity Quizlet.
     
    
         
        From quizizz.com 
                    50+ limits and continuity worksheets on Quizizz Free & Printable Limits And Continuity Quizlet  Evaluate using continuity, if possible: Study with quizlet and memorize flashcards containing terms like what is a limit? Study with quizlet and memorize flashcards containing terms like continuity at a point, continuity at endpoints, removable. This test contains 11 ap calculus ab practice questions with detailed explanations, to. Calculus 1 > unit 1. Quiz 2 limits and continuity. How is. Limits And Continuity Quizlet.
     
    
         
        From materialmediagulling.z14.web.core.windows.net 
                    Quiz On Limits And Continuity Limits And Continuity Quizlet  Study with quizlet and memorize flashcards containing terms like continuity at a point, continuity at endpoints, removable. Unit 1 limits and continuity. Study with quizlet and memorize flashcards containing terms like what is a limit? This test contains 11 ap calculus ab practice questions with detailed explanations, to. Limits and continuity practice test quiz for 12th grade students. Find other. Limits And Continuity Quizlet.
     
    
         
        From materialmediagulling.z14.web.core.windows.net 
                    Quiz On Limits And Continuity Limits And Continuity Quizlet  Find other quizzes for mathematics and more on quizizz for free! Study with quizlet and memorize flashcards containing terms like what is a limit? Limits and continuity practice test quiz for 12th grade students. Quiz 2 limits and continuity. Study with quizlet and memorize flashcards containing terms like continuous function, discontinuous function, step discontinuity (jump) and more. Ap calculus ab. Limits And Continuity Quizlet.
     
    
         
        From quizizz.com 
                    50+ limits and continuity worksheets on Quizizz Free & Printable Limits And Continuity Quizlet  This test contains 11 ap calculus ab practice questions with detailed explanations, to. How is it denoted, what are the three ways to evaluate a. Evaluate using continuity, if possible: Study with quizlet and memorize flashcards containing terms like continuity at a point, continuity at endpoints, removable. Calculus 1 8 units · 171 skills. Unit 1 limits and continuity. Quiz. Limits And Continuity Quizlet.
     
    
         
        From quizizz.com 
                    50+ limits and continuity worksheets for 12th Class on Quizizz Free Limits And Continuity Quizlet  Calculus 1 > unit 1. Evaluate using continuity, if possible: This test contains 11 ap calculus ab practice questions with detailed explanations, to. Study with quizlet and memorize flashcards containing terms like continuity at a point, continuity at endpoints, removable. Ap calculus ab practice test 2: Study with quizlet and memorize flashcards containing terms like continuous function, discontinuous function, step. Limits And Continuity Quizlet.
     
    
         
        From quizlet.com 
                    Unit 1 Calc AB (Limits and Continuity) Diagram Quizlet Limits And Continuity Quizlet  Evaluate using continuity, if possible: Find other quizzes for mathematics and more on quizizz for free! Quiz 2 limits and continuity. Study with quizlet and memorize flashcards containing terms like continuous function, discontinuous function, step discontinuity (jump) and more. Calculus 1 8 units · 171 skills. Limits and continuity practice test quiz for 12th grade students. Study with quizlet and. Limits And Continuity Quizlet.
     
    
         
        From quizizz.com 
                    50+ limits and continuity worksheets on Quizizz Free & Printable Limits And Continuity Quizlet  Calculus 1 8 units · 171 skills. How is it denoted, what are the three ways to evaluate a. Unit 1 limits and continuity. This test contains 11 ap calculus ab practice questions with detailed explanations, to. Limits and continuity practice test quiz for 12th grade students. Calculus 1 > unit 1. Ap calculus ab practice test 2: Study with. Limits And Continuity Quizlet.
     
    
         
        From quizizz.com 
                    50+ limits and continuity worksheets for 10th Class on Quizizz Free Limits And Continuity Quizlet  Study with quizlet and memorize flashcards containing terms like continuity at a point, continuity at endpoints, removable. Calculus 1 > unit 1. This test contains 11 ap calculus ab practice questions with detailed explanations, to. Find other quizzes for mathematics and more on quizizz for free! Unit 1 limits and continuity. Evaluate using continuity, if possible: Study with quizlet and. Limits And Continuity Quizlet.
     
    
         
        From www.studocu.com 
                    Unit 1 Limits & Continuity MAC 2311 Finding Limits Numerically and Limits And Continuity Quizlet  Quiz 2 limits and continuity. Unit 1 limits and continuity. Study with quizlet and memorize flashcards containing terms like continuous function, discontinuous function, step discontinuity (jump) and more. Find other quizzes for mathematics and more on quizizz for free! Calculus 1 > unit 1. Calculus 1 8 units · 171 skills. How is it denoted, what are the three ways. Limits And Continuity Quizlet.
     
    
         
        From www.studypool.com 
                    SOLUTION Calculas unit 01 limits and continuity lesson 06 continuity Limits And Continuity Quizlet  Ap calculus ab practice test 2: Find other quizzes for mathematics and more on quizizz for free! Limits and continuity practice test quiz for 12th grade students. This test contains 11 ap calculus ab practice questions with detailed explanations, to. How is it denoted, what are the three ways to evaluate a. Study with quizlet and memorize flashcards containing terms. Limits And Continuity Quizlet.
     
    
         
        From quizizz.com 
                    50+ limits and continuity worksheets on Quizizz Free & Printable Limits And Continuity Quizlet  This test contains 11 ap calculus ab practice questions with detailed explanations, to. Study with quizlet and memorize flashcards containing terms like what is a limit? Study with quizlet and memorize flashcards containing terms like continuous function, discontinuous function, step discontinuity (jump) and more. Evaluate using continuity, if possible: How is it denoted, what are the three ways to evaluate. Limits And Continuity Quizlet.
     
    
         
        From study.com 
                    Quiz & Worksheet OneSided Limits and Continuity Limits And Continuity Quizlet  How is it denoted, what are the three ways to evaluate a. Quiz 2 limits and continuity. Unit 1 limits and continuity. Ap calculus ab practice test 2: Evaluate using continuity, if possible: Study with quizlet and memorize flashcards containing terms like continuity at a point, continuity at endpoints, removable. This test contains 11 ap calculus ab practice questions with. Limits And Continuity Quizlet.