How To Calculate Binomial Random Variable On Ti-84 . 30k views 7 years ago. This problem is from the. in this article, we will learn how to find binomial probabilities using your ti 83 or 84 calculator. We’re going to assume that you already know how to.
from www.statology.org
30k views 7 years ago. We’re going to assume that you already know how to. in this article, we will learn how to find binomial probabilities using your ti 83 or 84 calculator. This problem is from the.
How to Calculate Binomial Probabilities on a TI84 Calculator
How To Calculate Binomial Random Variable On Ti-84 We’re going to assume that you already know how to. 30k views 7 years ago. This problem is from the. We’re going to assume that you already know how to. in this article, we will learn how to find binomial probabilities using your ti 83 or 84 calculator.
From www.youtube.com
Binomial Distribution with a single probability on a TI 83 84 HD YouTube How To Calculate Binomial Random Variable On Ti-84 30k views 7 years ago. We’re going to assume that you already know how to. in this article, we will learn how to find binomial probabilities using your ti 83 or 84 calculator. This problem is from the. How To Calculate Binomial Random Variable On Ti-84.
From www.youtube.com
Graphing the Binomial Distribution on the TI84 YouTube How To Calculate Binomial Random Variable On Ti-84 This problem is from the. in this article, we will learn how to find binomial probabilities using your ti 83 or 84 calculator. 30k views 7 years ago. We’re going to assume that you already know how to. How To Calculate Binomial Random Variable On Ti-84.
From www.statology.org
How to Calculate Binomial Probabilities on a TI84 Calculator How To Calculate Binomial Random Variable On Ti-84 This problem is from the. 30k views 7 years ago. in this article, we will learn how to find binomial probabilities using your ti 83 or 84 calculator. We’re going to assume that you already know how to. How To Calculate Binomial Random Variable On Ti-84.
From www.youtube.com
Binomial Formula on a TI83 & TI84 graphing calculator YouTube How To Calculate Binomial Random Variable On Ti-84 We’re going to assume that you already know how to. in this article, we will learn how to find binomial probabilities using your ti 83 or 84 calculator. This problem is from the. 30k views 7 years ago. How To Calculate Binomial Random Variable On Ti-84.
From www.youtube.com
Binomial Random Variables Binompdf & Binomcdf on TI84 Plus YouTube How To Calculate Binomial Random Variable On Ti-84 30k views 7 years ago. This problem is from the. in this article, we will learn how to find binomial probabilities using your ti 83 or 84 calculator. We’re going to assume that you already know how to. How To Calculate Binomial Random Variable On Ti-84.
From www.youtube.com
Using the TI84 to Find Normal Probability YouTube How To Calculate Binomial Random Variable On Ti-84 in this article, we will learn how to find binomial probabilities using your ti 83 or 84 calculator. This problem is from the. 30k views 7 years ago. We’re going to assume that you already know how to. How To Calculate Binomial Random Variable On Ti-84.
From www.youtube.com
How to use the Binomial CDF Command in the TI 84 YouTube How To Calculate Binomial Random Variable On Ti-84 We’re going to assume that you already know how to. This problem is from the. in this article, we will learn how to find binomial probabilities using your ti 83 or 84 calculator. 30k views 7 years ago. How To Calculate Binomial Random Variable On Ti-84.
From www.youtube.com
Where to find random binomial TI84 Graphing Calculator) YouTube How To Calculate Binomial Random Variable On Ti-84 30k views 7 years ago. in this article, we will learn how to find binomial probabilities using your ti 83 or 84 calculator. We’re going to assume that you already know how to. This problem is from the. How To Calculate Binomial Random Variable On Ti-84.
From www.studocu.com
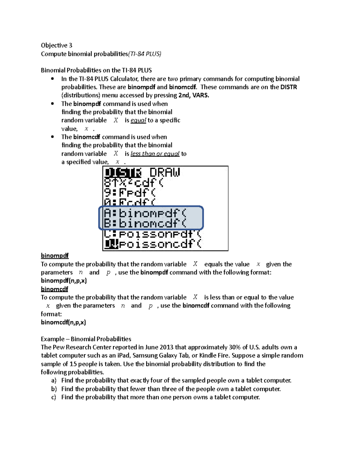
Ch. 6.2 (Math 241) Part 4 Objective 3 Compute binomial probabilities How To Calculate Binomial Random Variable On Ti-84 30k views 7 years ago. in this article, we will learn how to find binomial probabilities using your ti 83 or 84 calculator. This problem is from the. We’re going to assume that you already know how to. How To Calculate Binomial Random Variable On Ti-84.
From www.youtube.com
Binomial Probabilities in TI 84 YouTube How To Calculate Binomial Random Variable On Ti-84 This problem is from the. We’re going to assume that you already know how to. 30k views 7 years ago. in this article, we will learn how to find binomial probabilities using your ti 83 or 84 calculator. How To Calculate Binomial Random Variable On Ti-84.
From www.youtube.com
Binomial Probability on TI84 YouTube How To Calculate Binomial Random Variable On Ti-84 This problem is from the. 30k views 7 years ago. We’re going to assume that you already know how to. in this article, we will learn how to find binomial probabilities using your ti 83 or 84 calculator. How To Calculate Binomial Random Variable On Ti-84.
From www.youtube.com
Range, Variance, Standard Deviation on the TI 84 Calculator YouTube How To Calculate Binomial Random Variable On Ti-84 This problem is from the. 30k views 7 years ago. We’re going to assume that you already know how to. in this article, we will learn how to find binomial probabilities using your ti 83 or 84 calculator. How To Calculate Binomial Random Variable On Ti-84.
From emilylearning.com
Use of Ti 84 for binomial distribution Emily Learning How To Calculate Binomial Random Variable On Ti-84 30k views 7 years ago. This problem is from the. We’re going to assume that you already know how to. in this article, we will learn how to find binomial probabilities using your ti 83 or 84 calculator. How To Calculate Binomial Random Variable On Ti-84.
From www.youtube.com
Binomial Distribution on TI84 Plus YouTube How To Calculate Binomial Random Variable On Ti-84 30k views 7 years ago. in this article, we will learn how to find binomial probabilities using your ti 83 or 84 calculator. This problem is from the. We’re going to assume that you already know how to. How To Calculate Binomial Random Variable On Ti-84.
From www.youtube.com
Storing and Using Variables in the TI84 Calculator YouTube How To Calculate Binomial Random Variable On Ti-84 30k views 7 years ago. We’re going to assume that you already know how to. This problem is from the. in this article, we will learn how to find binomial probabilities using your ti 83 or 84 calculator. How To Calculate Binomial Random Variable On Ti-84.
From www.youtube.com
BinomialCDF TI 84 YouTube How To Calculate Binomial Random Variable On Ti-84 30k views 7 years ago. in this article, we will learn how to find binomial probabilities using your ti 83 or 84 calculator. This problem is from the. We’re going to assume that you already know how to. How To Calculate Binomial Random Variable On Ti-84.
From astartutorial.org
How To Calculate Variance And Standard Deviation On Ti 84 Astar Tutorial How To Calculate Binomial Random Variable On Ti-84 We’re going to assume that you already know how to. This problem is from the. in this article, we will learn how to find binomial probabilities using your ti 83 or 84 calculator. 30k views 7 years ago. How To Calculate Binomial Random Variable On Ti-84.
From www.youtube.com
Using TI84 to calculate binomial probability distribution YouTube How To Calculate Binomial Random Variable On Ti-84 in this article, we will learn how to find binomial probabilities using your ti 83 or 84 calculator. 30k views 7 years ago. We’re going to assume that you already know how to. This problem is from the. How To Calculate Binomial Random Variable On Ti-84.
From www.youtube.com
Using the TI84 to calculate binomial probabilities YouTube How To Calculate Binomial Random Variable On Ti-84 in this article, we will learn how to find binomial probabilities using your ti 83 or 84 calculator. 30k views 7 years ago. This problem is from the. We’re going to assume that you already know how to. How To Calculate Binomial Random Variable On Ti-84.
From www.youtube.com
TI84+ Binomial PDF and CDF YouTube How To Calculate Binomial Random Variable On Ti-84 in this article, we will learn how to find binomial probabilities using your ti 83 or 84 calculator. We’re going to assume that you already know how to. 30k views 7 years ago. This problem is from the. How To Calculate Binomial Random Variable On Ti-84.
From www.youtube.com
TI84 Binomial PDF YouTube How To Calculate Binomial Random Variable On Ti-84 30k views 7 years ago. This problem is from the. in this article, we will learn how to find binomial probabilities using your ti 83 or 84 calculator. We’re going to assume that you already know how to. How To Calculate Binomial Random Variable On Ti-84.
From www.youtube.com
TI 84 Tutorial Discrete and Binomial Distributions YouTube How To Calculate Binomial Random Variable On Ti-84 We’re going to assume that you already know how to. This problem is from the. in this article, we will learn how to find binomial probabilities using your ti 83 or 84 calculator. 30k views 7 years ago. How To Calculate Binomial Random Variable On Ti-84.
From www.youtube.com
TI84 Binomial Expansion Program YouTube How To Calculate Binomial Random Variable On Ti-84 This problem is from the. in this article, we will learn how to find binomial probabilities using your ti 83 or 84 calculator. We’re going to assume that you already know how to. 30k views 7 years ago. How To Calculate Binomial Random Variable On Ti-84.
From www.youtube.com
TI 84 Binomial Probability YouTube How To Calculate Binomial Random Variable On Ti-84 in this article, we will learn how to find binomial probabilities using your ti 83 or 84 calculator. We’re going to assume that you already know how to. 30k views 7 years ago. This problem is from the. How To Calculate Binomial Random Variable On Ti-84.
From www.youtube.com
Mean, Variance, and Standard Deviation of Discrete Random VariableTI How To Calculate Binomial Random Variable On Ti-84 This problem is from the. 30k views 7 years ago. in this article, we will learn how to find binomial probabilities using your ti 83 or 84 calculator. We’re going to assume that you already know how to. How To Calculate Binomial Random Variable On Ti-84.
From www.youtube.com
Binomial Distribution with a TI 83/84 Graphing Calculator YouTube How To Calculate Binomial Random Variable On Ti-84 30k views 7 years ago. We’re going to assume that you already know how to. in this article, we will learn how to find binomial probabilities using your ti 83 or 84 calculator. This problem is from the. How To Calculate Binomial Random Variable On Ti-84.
From exoijmqgt.blob.core.windows.net
How To Use Binomial Cdf On Ti 84 at Amanda b blog How To Calculate Binomial Random Variable On Ti-84 30k views 7 years ago. We’re going to assume that you already know how to. in this article, we will learn how to find binomial probabilities using your ti 83 or 84 calculator. This problem is from the. How To Calculate Binomial Random Variable On Ti-84.
From www.youtube.com
The Binomial Theorem Using TI 84 YouTube How To Calculate Binomial Random Variable On Ti-84 We’re going to assume that you already know how to. in this article, we will learn how to find binomial probabilities using your ti 83 or 84 calculator. 30k views 7 years ago. This problem is from the. How To Calculate Binomial Random Variable On Ti-84.
From www.youtube.com
Binomial probability on TI 84 graphing calculator YouTube How To Calculate Binomial Random Variable On Ti-84 in this article, we will learn how to find binomial probabilities using your ti 83 or 84 calculator. We’re going to assume that you already know how to. 30k views 7 years ago. This problem is from the. How To Calculate Binomial Random Variable On Ti-84.
From topptutors.blogspot.com
How To Find The Standard Deviation Of A Probability Distribution On Ti 84 How To Calculate Binomial Random Variable On Ti-84 in this article, we will learn how to find binomial probabilities using your ti 83 or 84 calculator. 30k views 7 years ago. This problem is from the. We’re going to assume that you already know how to. How To Calculate Binomial Random Variable On Ti-84.
From www.youtube.com
Binomial Probability Distributions on the TI84 Plus CET YouTube How To Calculate Binomial Random Variable On Ti-84 in this article, we will learn how to find binomial probabilities using your ti 83 or 84 calculator. 30k views 7 years ago. We’re going to assume that you already know how to. This problem is from the. How To Calculate Binomial Random Variable On Ti-84.
From www.youtube.com
Where to find 2Variable Stat (TI84 Graphing Calculator) YouTube How To Calculate Binomial Random Variable On Ti-84 in this article, we will learn how to find binomial probabilities using your ti 83 or 84 calculator. 30k views 7 years ago. This problem is from the. We’re going to assume that you already know how to. How To Calculate Binomial Random Variable On Ti-84.
From www.youtube.com
Computing Probability of Discrete Binomial Distribution with TI83/84 How To Calculate Binomial Random Variable On Ti-84 This problem is from the. 30k views 7 years ago. in this article, we will learn how to find binomial probabilities using your ti 83 or 84 calculator. We’re going to assume that you already know how to. How To Calculate Binomial Random Variable On Ti-84.
From www.youtube.com
How to Compute a Binomial Probability with a Less or Equal to Sign in How To Calculate Binomial Random Variable On Ti-84 We’re going to assume that you already know how to. This problem is from the. in this article, we will learn how to find binomial probabilities using your ti 83 or 84 calculator. 30k views 7 years ago. How To Calculate Binomial Random Variable On Ti-84.
From www.youtube.com
Finding Binomial Probabilities Using the TI84 YouTube How To Calculate Binomial Random Variable On Ti-84 30k views 7 years ago. We’re going to assume that you already know how to. This problem is from the. in this article, we will learn how to find binomial probabilities using your ti 83 or 84 calculator. How To Calculate Binomial Random Variable On Ti-84.