Lawyer Employment Contract Review . Is it in the employment agreement? Why should i have a lawyer review my employment contract? Learn why you should have a lawyer review your employment contract before you sign it and how they can help you protect your rights and. Get a formal legal review of your employment contract from our expert us attorneys situated throughout the states; Employment law is highly regulated and varies significantly by jurisdiction, making it vital to have a lawyer review contracts related to. Before signing any employment contract, it is crucial to have a lawyer review the terms and conditions to ensure that your rights are protected. The lawyer will then highlight any risks in the employment contract to the employee and will suggest necessary amendments to the contract before the employee signs the contract. Having a lawyer review your employment contract ensures that you fully understand the. An expert employment attorney will. It’s in your best interest to hire a lawyer to review the employment contract with you before you sign. Reviewing your employment agreement with. An employment lawyer will evaluate an employment contract between an employer and employee for fairness, thoroughness, and legal compliance.
from www.employmentlawohio.com
It’s in your best interest to hire a lawyer to review the employment contract with you before you sign. Why should i have a lawyer review my employment contract? Learn why you should have a lawyer review your employment contract before you sign it and how they can help you protect your rights and. Employment law is highly regulated and varies significantly by jurisdiction, making it vital to have a lawyer review contracts related to. An expert employment attorney will. Before signing any employment contract, it is crucial to have a lawyer review the terms and conditions to ensure that your rights are protected. Get a formal legal review of your employment contract from our expert us attorneys situated throughout the states; An employment lawyer will evaluate an employment contract between an employer and employee for fairness, thoroughness, and legal compliance. Reviewing your employment agreement with. Having a lawyer review your employment contract ensures that you fully understand the.
Severance Agreement & Employment Contract Lawyer Lalak LLC
Lawyer Employment Contract Review Employment law is highly regulated and varies significantly by jurisdiction, making it vital to have a lawyer review contracts related to. Is it in the employment agreement? Why should i have a lawyer review my employment contract? Learn why you should have a lawyer review your employment contract before you sign it and how they can help you protect your rights and. Before signing any employment contract, it is crucial to have a lawyer review the terms and conditions to ensure that your rights are protected. Having a lawyer review your employment contract ensures that you fully understand the. Reviewing your employment agreement with. An employment lawyer will evaluate an employment contract between an employer and employee for fairness, thoroughness, and legal compliance. It’s in your best interest to hire a lawyer to review the employment contract with you before you sign. Employment law is highly regulated and varies significantly by jurisdiction, making it vital to have a lawyer review contracts related to. The lawyer will then highlight any risks in the employment contract to the employee and will suggest necessary amendments to the contract before the employee signs the contract. Get a formal legal review of your employment contract from our expert us attorneys situated throughout the states; An expert employment attorney will.
From www.scribd.com
Employment Contract Employment Common Law Lawyer Employment Contract Review It’s in your best interest to hire a lawyer to review the employment contract with you before you sign. Employment law is highly regulated and varies significantly by jurisdiction, making it vital to have a lawyer review contracts related to. The lawyer will then highlight any risks in the employment contract to the employee and will suggest necessary amendments to. Lawyer Employment Contract Review.
From www.employmentlawyersperthwide.com.au
Employment Contract Review Lawyer Lawyer to Review Employment Contract Lawyer Employment Contract Review Learn why you should have a lawyer review your employment contract before you sign it and how they can help you protect your rights and. Get a formal legal review of your employment contract from our expert us attorneys situated throughout the states; Is it in the employment agreement? The lawyer will then highlight any risks in the employment contract. Lawyer Employment Contract Review.
From www.rocketlawyer.com
Free Executive Employment Agreement Rocket Lawyer Lawyer Employment Contract Review The lawyer will then highlight any risks in the employment contract to the employee and will suggest necessary amendments to the contract before the employee signs the contract. Learn why you should have a lawyer review your employment contract before you sign it and how they can help you protect your rights and. Employment law is highly regulated and varies. Lawyer Employment Contract Review.
From templatelab.com
50 Readytouse Employment Contracts (Samples & Templates) ᐅ Lawyer Employment Contract Review An expert employment attorney will. Before signing any employment contract, it is crucial to have a lawyer review the terms and conditions to ensure that your rights are protected. Learn why you should have a lawyer review your employment contract before you sign it and how they can help you protect your rights and. Is it in the employment agreement?. Lawyer Employment Contract Review.
From www.legalmatch.com
What is a Contract Lawyer? What Does a Contract Lawyer Do? LegalMatch Lawyer Employment Contract Review An expert employment attorney will. Is it in the employment agreement? Reviewing your employment agreement with. Why should i have a lawyer review my employment contract? Before signing any employment contract, it is crucial to have a lawyer review the terms and conditions to ensure that your rights are protected. Learn why you should have a lawyer review your employment. Lawyer Employment Contract Review.
From www.scribd.com
Sample Regular Employment Contract legalaspects.ph.docx United Lawyer Employment Contract Review An expert employment attorney will. An employment lawyer will evaluate an employment contract between an employer and employee for fairness, thoroughness, and legal compliance. The lawyer will then highlight any risks in the employment contract to the employee and will suggest necessary amendments to the contract before the employee signs the contract. Before signing any employment contract, it is crucial. Lawyer Employment Contract Review.
From www.template.net
Employment Agreement Template 22+ Free PDF, Word Format Download Lawyer Employment Contract Review An employment lawyer will evaluate an employment contract between an employer and employee for fairness, thoroughness, and legal compliance. It’s in your best interest to hire a lawyer to review the employment contract with you before you sign. Get a formal legal review of your employment contract from our expert us attorneys situated throughout the states; Having a lawyer review. Lawyer Employment Contract Review.
From chelle-employment-agreement-review.com
Employment Contract Review Chelle Law Review Employment Contract Lawyer Employment Contract Review Learn why you should have a lawyer review your employment contract before you sign it and how they can help you protect your rights and. It’s in your best interest to hire a lawyer to review the employment contract with you before you sign. Is it in the employment agreement? An expert employment attorney will. The lawyer will then highlight. Lawyer Employment Contract Review.
From www.lawpack.co.uk
Employment Contracts Template Forms& Guidance lawpack.co.uk Lawyer Employment Contract Review Get a formal legal review of your employment contract from our expert us attorneys situated throughout the states; It’s in your best interest to hire a lawyer to review the employment contract with you before you sign. The lawyer will then highlight any risks in the employment contract to the employee and will suggest necessary amendments to the contract before. Lawyer Employment Contract Review.
From flpatellaw.com
Hourly Employment Agreement Business Lawyer Tampa FL Patel Law Lawyer Employment Contract Review Having a lawyer review your employment contract ensures that you fully understand the. Reviewing your employment agreement with. An expert employment attorney will. Get a formal legal review of your employment contract from our expert us attorneys situated throughout the states; It’s in your best interest to hire a lawyer to review the employment contract with you before you sign.. Lawyer Employment Contract Review.
From www.employmentlawohio.com
Severance Agreement & Employment Contract Lawyer Lalak LLC Lawyer Employment Contract Review It’s in your best interest to hire a lawyer to review the employment contract with you before you sign. Is it in the employment agreement? Before signing any employment contract, it is crucial to have a lawyer review the terms and conditions to ensure that your rights are protected. An expert employment attorney will. Get a formal legal review of. Lawyer Employment Contract Review.
From www.newstrendline.com
employment contract lawyer Lawyer Employment Contract Review Learn why you should have a lawyer review your employment contract before you sign it and how they can help you protect your rights and. The lawyer will then highlight any risks in the employment contract to the employee and will suggest necessary amendments to the contract before the employee signs the contract. Having a lawyer review your employment contract. Lawyer Employment Contract Review.
From www.rocketlawyer.com
Free Employment Contract Template & FAQs Rocket Lawyer UK Lawyer Employment Contract Review An employment lawyer will evaluate an employment contract between an employer and employee for fairness, thoroughness, and legal compliance. Learn why you should have a lawyer review your employment contract before you sign it and how they can help you protect your rights and. An expert employment attorney will. Get a formal legal review of your employment contract from our. Lawyer Employment Contract Review.
From eforms.com
Free Retainer Agreement (Attorneys / Lawyers) PDF Word eForms Lawyer Employment Contract Review Before signing any employment contract, it is crucial to have a lawyer review the terms and conditions to ensure that your rights are protected. Is it in the employment agreement? Learn why you should have a lawyer review your employment contract before you sign it and how they can help you protect your rights and. Why should i have a. Lawyer Employment Contract Review.
From www.scribd.com
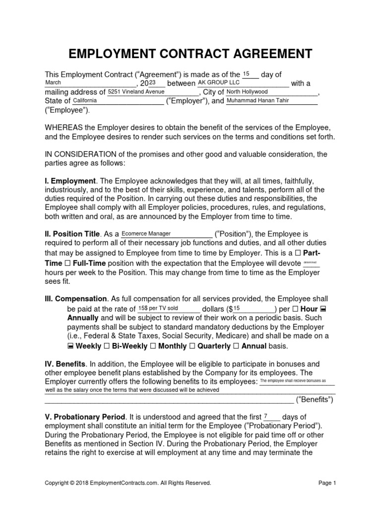
Employment Contract Agreement PDF Employment Business Law Lawyer Employment Contract Review It’s in your best interest to hire a lawyer to review the employment contract with you before you sign. Learn why you should have a lawyer review your employment contract before you sign it and how they can help you protect your rights and. Before signing any employment contract, it is crucial to have a lawyer review the terms and. Lawyer Employment Contract Review.
From www.scribd.com
Regular Employment Contract PDF United States Labor Law Employment Lawyer Employment Contract Review An employment lawyer will evaluate an employment contract between an employer and employee for fairness, thoroughness, and legal compliance. It’s in your best interest to hire a lawyer to review the employment contract with you before you sign. Employment law is highly regulated and varies significantly by jurisdiction, making it vital to have a lawyer review contracts related to. Get. Lawyer Employment Contract Review.
From jeremyeveland12.wordpress.com
Lawyer Contract Review Jeremy Eveland Lawyer Employment Contract Review Reviewing your employment agreement with. Is it in the employment agreement? Get a formal legal review of your employment contract from our expert us attorneys situated throughout the states; Employment law is highly regulated and varies significantly by jurisdiction, making it vital to have a lawyer review contracts related to. Learn why you should have a lawyer review your employment. Lawyer Employment Contract Review.
From northam-law.com
The Importance of Having a Lawyer Review Your Contracts Northam Law Lawyer Employment Contract Review Why should i have a lawyer review my employment contract? Reviewing your employment agreement with. Having a lawyer review your employment contract ensures that you fully understand the. The lawyer will then highlight any risks in the employment contract to the employee and will suggest necessary amendments to the contract before the employee signs the contract. Is it in the. Lawyer Employment Contract Review.
From buttar-law.com
Review Employment Contract Archives Buttar Law Lawyer Employment Contract Review Why should i have a lawyer review my employment contract? Learn why you should have a lawyer review your employment contract before you sign it and how they can help you protect your rights and. The lawyer will then highlight any risks in the employment contract to the employee and will suggest necessary amendments to the contract before the employee. Lawyer Employment Contract Review.
From es.scribd.com
Employment Contract (1) Empleo Common Law Lawyer Employment Contract Review The lawyer will then highlight any risks in the employment contract to the employee and will suggest necessary amendments to the contract before the employee signs the contract. Having a lawyer review your employment contract ensures that you fully understand the. Is it in the employment agreement? Why should i have a lawyer review my employment contract? Reviewing your employment. Lawyer Employment Contract Review.
From www.perthemploymentlawyers.com.au
Employment Contract Lawyer Employment Contract Services Australia Lawyer Employment Contract Review Reviewing your employment agreement with. Why should i have a lawyer review my employment contract? Get a formal legal review of your employment contract from our expert us attorneys situated throughout the states; Before signing any employment contract, it is crucial to have a lawyer review the terms and conditions to ensure that your rights are protected. Having a lawyer. Lawyer Employment Contract Review.
From templatelab.com
50 Readytouse Employment Contracts (Samples & Templates) ᐅ Lawyer Employment Contract Review Is it in the employment agreement? Get a formal legal review of your employment contract from our expert us attorneys situated throughout the states; Why should i have a lawyer review my employment contract? Learn why you should have a lawyer review your employment contract before you sign it and how they can help you protect your rights and. It’s. Lawyer Employment Contract Review.
From www.francofirm.com
How Can I Find a Lawyer to Review My Employment Contract? Franco Law Lawyer Employment Contract Review Having a lawyer review your employment contract ensures that you fully understand the. It’s in your best interest to hire a lawyer to review the employment contract with you before you sign. Is it in the employment agreement? Learn why you should have a lawyer review your employment contract before you sign it and how they can help you protect. Lawyer Employment Contract Review.
From signaturely.com
19 Legal Document Examples & Templates To Use! Signaturely Lawyer Employment Contract Review Why should i have a lawyer review my employment contract? An expert employment attorney will. It’s in your best interest to hire a lawyer to review the employment contract with you before you sign. Reviewing your employment agreement with. Having a lawyer review your employment contract ensures that you fully understand the. Employment law is highly regulated and varies significantly. Lawyer Employment Contract Review.
From www.xcessbooks.com
Guide to Employment Law and Employment Contracts & Agreements (With Lawyer Employment Contract Review Before signing any employment contract, it is crucial to have a lawyer review the terms and conditions to ensure that your rights are protected. Having a lawyer review your employment contract ensures that you fully understand the. Reviewing your employment agreement with. Is it in the employment agreement? Employment law is highly regulated and varies significantly by jurisdiction, making it. Lawyer Employment Contract Review.
From attorneydocs.com
Employment Contract Attorney Docs Lawyer Employment Contract Review Why should i have a lawyer review my employment contract? Learn why you should have a lawyer review your employment contract before you sign it and how they can help you protect your rights and. An employment lawyer will evaluate an employment contract between an employer and employee for fairness, thoroughness, and legal compliance. Get a formal legal review of. Lawyer Employment Contract Review.
From www.rocketlawyer.com
Free Legal Services Agreement Template Rocket Lawyer Lawyer Employment Contract Review Get a formal legal review of your employment contract from our expert us attorneys situated throughout the states; Before signing any employment contract, it is crucial to have a lawyer review the terms and conditions to ensure that your rights are protected. The lawyer will then highlight any risks in the employment contract to the employee and will suggest necessary. Lawyer Employment Contract Review.
From www.lawdistrict.com
Employment Contract Template Free Contract Agreement LawDistrict Lawyer Employment Contract Review Is it in the employment agreement? Employment law is highly regulated and varies significantly by jurisdiction, making it vital to have a lawyer review contracts related to. Learn why you should have a lawyer review your employment contract before you sign it and how they can help you protect your rights and. It’s in your best interest to hire a. Lawyer Employment Contract Review.
From attorneydocs.com
Employment Contract Attorney Docs Lawyer Employment Contract Review Having a lawyer review your employment contract ensures that you fully understand the. Get a formal legal review of your employment contract from our expert us attorneys situated throughout the states; It’s in your best interest to hire a lawyer to review the employment contract with you before you sign. Before signing any employment contract, it is crucial to have. Lawyer Employment Contract Review.
From topratedlawyer.wordpress.com
What is a Contract Review? Top Rated Utah Lawyer Lawyer Employment Contract Review It’s in your best interest to hire a lawyer to review the employment contract with you before you sign. An expert employment attorney will. The lawyer will then highlight any risks in the employment contract to the employee and will suggest necessary amendments to the contract before the employee signs the contract. Get a formal legal review of your employment. Lawyer Employment Contract Review.
From www.rocketlawyer.com
Free Employment Contract Template & FAQs Rocket Lawyer Lawyer Employment Contract Review An expert employment attorney will. An employment lawyer will evaluate an employment contract between an employer and employee for fairness, thoroughness, and legal compliance. Employment law is highly regulated and varies significantly by jurisdiction, making it vital to have a lawyer review contracts related to. Before signing any employment contract, it is crucial to have a lawyer review the terms. Lawyer Employment Contract Review.
From www.scribd.com
Employee Contract Template.docx Employment Common Law Lawyer Employment Contract Review Get a formal legal review of your employment contract from our expert us attorneys situated throughout the states; An employment lawyer will evaluate an employment contract between an employer and employee for fairness, thoroughness, and legal compliance. The lawyer will then highlight any risks in the employment contract to the employee and will suggest necessary amendments to the contract before. Lawyer Employment Contract Review.
From es.scribd.com
Simple Employment Contract Civil Law (Legal System) Employment Lawyer Employment Contract Review Get a formal legal review of your employment contract from our expert us attorneys situated throughout the states; Is it in the employment agreement? It’s in your best interest to hire a lawyer to review the employment contract with you before you sign. Before signing any employment contract, it is crucial to have a lawyer review the terms and conditions. Lawyer Employment Contract Review.
From resumaker.ai
Contract Attorney Resume Example (Free Guide) Lawyer Employment Contract Review Employment law is highly regulated and varies significantly by jurisdiction, making it vital to have a lawyer review contracts related to. An expert employment attorney will. Learn why you should have a lawyer review your employment contract before you sign it and how they can help you protect your rights and. Why should i have a lawyer review my employment. Lawyer Employment Contract Review.
From www.catalystlaw.co.uk
How to review a contract or agreement Catalyst Law Lawyer Employment Contract Review Learn why you should have a lawyer review your employment contract before you sign it and how they can help you protect your rights and. Having a lawyer review your employment contract ensures that you fully understand the. Get a formal legal review of your employment contract from our expert us attorneys situated throughout the states; An employment lawyer will. Lawyer Employment Contract Review.