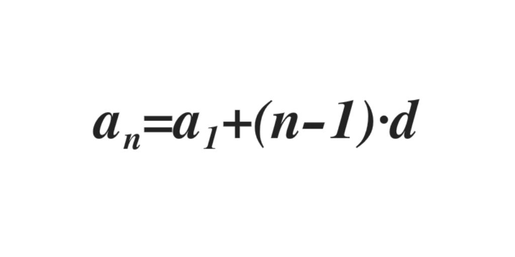
Como Despejar N En Una Progresion Aritmetica . La constante d es llamada la. Álgebra 1 > unidad 9. El primer término, la diferencia, el término enésimo o la suma de los n primeros. Una sucesión (o progresión) es un conjunto de números ordenados. Fórmulas recursivas para sucesiones aritméticas. Cada número ocupa una posición y recibe el nombre de término. Puedes utilizarla para hallar cualquier propiedad de la progresión: Por favor, comparte este video con aquellas personas que tu sepas que les puede beneficiar. A continuación veremos en que consisten las progresiones aritméticas y las fórmulas para calcular tanto su término general, su diferencia,. Una sucesión a1, a2, a3⋯an⋯ se llama una sucesión aritmética o progresión aritmética si existe una constante d tal que d = an − an − 1 para todo n> 1. Para encontrar el valor de n en una secuencia aritmética, necesitas conocer al menos dos términos de la secuencia y la diferencia común. La progresión aritmética es un concepto clave en matemáticas porque permite entender y predecir patrones numéricos en situaciones del mundo real.
from www.youtube.com
Para encontrar el valor de n en una secuencia aritmética, necesitas conocer al menos dos términos de la secuencia y la diferencia común. La constante d es llamada la. Fórmulas recursivas para sucesiones aritméticas. Una sucesión (o progresión) es un conjunto de números ordenados. A continuación veremos en que consisten las progresiones aritméticas y las fórmulas para calcular tanto su término general, su diferencia,. Por favor, comparte este video con aquellas personas que tu sepas que les puede beneficiar. El primer término, la diferencia, el término enésimo o la suma de los n primeros. Cada número ocupa una posición y recibe el nombre de término. Una sucesión a1, a2, a3⋯an⋯ se llama una sucesión aritmética o progresión aritmética si existe una constante d tal que d = an − an − 1 para todo n> 1. Puedes utilizarla para hallar cualquier propiedad de la progresión:
PROGRESIÓN ARITMÉTICA YouTube
Como Despejar N En Una Progresion Aritmetica Por favor, comparte este video con aquellas personas que tu sepas que les puede beneficiar. El primer término, la diferencia, el término enésimo o la suma de los n primeros. La progresión aritmética es un concepto clave en matemáticas porque permite entender y predecir patrones numéricos en situaciones del mundo real. La constante d es llamada la. Fórmulas recursivas para sucesiones aritméticas. Álgebra 1 > unidad 9. Una sucesión (o progresión) es un conjunto de números ordenados. A continuación veremos en que consisten las progresiones aritméticas y las fórmulas para calcular tanto su término general, su diferencia,. Una sucesión a1, a2, a3⋯an⋯ se llama una sucesión aritmética o progresión aritmética si existe una constante d tal que d = an − an − 1 para todo n> 1. Puedes utilizarla para hallar cualquier propiedad de la progresión: Para encontrar el valor de n en una secuencia aritmética, necesitas conocer al menos dos términos de la secuencia y la diferencia común. Cada número ocupa una posición y recibe el nombre de término. Por favor, comparte este video con aquellas personas que tu sepas que les puede beneficiar.
From www.youtube.com
Despeje de fórmulas Progresión aritmética La Prof Lina M3 YouTube Como Despejar N En Una Progresion Aritmetica Para encontrar el valor de n en una secuencia aritmética, necesitas conocer al menos dos términos de la secuencia y la diferencia común. La constante d es llamada la. Fórmulas recursivas para sucesiones aritméticas. Álgebra 1 > unidad 9. El primer término, la diferencia, el término enésimo o la suma de los n primeros. Puedes utilizarla para hallar cualquier propiedad. Como Despejar N En Una Progresion Aritmetica.
From www.youtube.com
PROGRESIÓN ARITMÉTICA YouTube Como Despejar N En Una Progresion Aritmetica Fórmulas recursivas para sucesiones aritméticas. Por favor, comparte este video con aquellas personas que tu sepas que les puede beneficiar. La constante d es llamada la. A continuación veremos en que consisten las progresiones aritméticas y las fórmulas para calcular tanto su término general, su diferencia,. Una sucesión a1, a2, a3⋯an⋯ se llama una sucesión aritmética o progresión aritmética si. Como Despejar N En Una Progresion Aritmetica.
From eduboom.es
Progresión aritmética. Parte 2. Matemáticas 3º de Secundaria Como Despejar N En Una Progresion Aritmetica A continuación veremos en que consisten las progresiones aritméticas y las fórmulas para calcular tanto su término general, su diferencia,. Por favor, comparte este video con aquellas personas que tu sepas que les puede beneficiar. Una sucesión (o progresión) es un conjunto de números ordenados. Una sucesión a1, a2, a3⋯an⋯ se llama una sucesión aritmética o progresión aritmética si existe. Como Despejar N En Una Progresion Aritmetica.
From www.youtube.com
Sucesión Aritmética. encontrar el enésimo termino? YouTube Como Despejar N En Una Progresion Aritmetica La progresión aritmética es un concepto clave en matemáticas porque permite entender y predecir patrones numéricos en situaciones del mundo real. La constante d es llamada la. Una sucesión a1, a2, a3⋯an⋯ se llama una sucesión aritmética o progresión aritmética si existe una constante d tal que d = an − an − 1 para todo n> 1. Cada número. Como Despejar N En Una Progresion Aritmetica.
From www.kindpng.com
Como Despejar Un Exponente, HD Png Download kindpng Como Despejar N En Una Progresion Aritmetica A continuación veremos en que consisten las progresiones aritméticas y las fórmulas para calcular tanto su término general, su diferencia,. La constante d es llamada la. Fórmulas recursivas para sucesiones aritméticas. El primer término, la diferencia, el término enésimo o la suma de los n primeros. La progresión aritmética es un concepto clave en matemáticas porque permite entender y predecir. Como Despejar N En Una Progresion Aritmetica.
From mavink.com
Que Es Una Sucesion Aritmetica Como Despejar N En Una Progresion Aritmetica Por favor, comparte este video con aquellas personas que tu sepas que les puede beneficiar. La constante d es llamada la. La progresión aritmética es un concepto clave en matemáticas porque permite entender y predecir patrones numéricos en situaciones del mundo real. Una sucesión (o progresión) es un conjunto de números ordenados. El primer término, la diferencia, el término enésimo. Como Despejar N En Una Progresion Aritmetica.
From www.youtube.com
Progresión Aritmética Término nésimo conociendo un término y la Como Despejar N En Una Progresion Aritmetica Cada número ocupa una posición y recibe el nombre de término. Por favor, comparte este video con aquellas personas que tu sepas que les puede beneficiar. Álgebra 1 > unidad 9. Puedes utilizarla para hallar cualquier propiedad de la progresión: Una sucesión a1, a2, a3⋯an⋯ se llama una sucesión aritmética o progresión aritmética si existe una constante d tal que. Como Despejar N En Una Progresion Aritmetica.
From aulaprende.com
Progresión aritmética Aulaprende Como Despejar N En Una Progresion Aritmetica La constante d es llamada la. A continuación veremos en que consisten las progresiones aritméticas y las fórmulas para calcular tanto su término general, su diferencia,. Álgebra 1 > unidad 9. Fórmulas recursivas para sucesiones aritméticas. Para encontrar el valor de n en una secuencia aritmética, necesitas conocer al menos dos términos de la secuencia y la diferencia común. Una. Como Despejar N En Una Progresion Aritmetica.
From www.neurochispas.com
Suma de una progresión geométrica infinita con ejercicios Neurochispas Como Despejar N En Una Progresion Aritmetica A continuación veremos en que consisten las progresiones aritméticas y las fórmulas para calcular tanto su término general, su diferencia,. Puedes utilizarla para hallar cualquier propiedad de la progresión: Álgebra 1 > unidad 9. El primer término, la diferencia, el término enésimo o la suma de los n primeros. Una sucesión a1, a2, a3⋯an⋯ se llama una sucesión aritmética o. Como Despejar N En Una Progresion Aritmetica.
From www.youtube.com
Progresiones aritméticas Suma de n primeros términos YouTube Como Despejar N En Una Progresion Aritmetica Para encontrar el valor de n en una secuencia aritmética, necesitas conocer al menos dos términos de la secuencia y la diferencia común. Cada número ocupa una posición y recibe el nombre de término. La progresión aritmética es un concepto clave en matemáticas porque permite entender y predecir patrones numéricos en situaciones del mundo real. Una sucesión (o progresión) es. Como Despejar N En Una Progresion Aritmetica.
From www.neurochispas.com
Término general de una progresión geométrica con ejercicios Neurochispas Como Despejar N En Una Progresion Aritmetica La constante d es llamada la. Puedes utilizarla para hallar cualquier propiedad de la progresión: El primer término, la diferencia, el término enésimo o la suma de los n primeros. Cada número ocupa una posición y recibe el nombre de término. Fórmulas recursivas para sucesiones aritméticas. Para encontrar el valor de n en una secuencia aritmética, necesitas conocer al menos. Como Despejar N En Una Progresion Aritmetica.
From yosoytuprofe.20minutos.es
Progresiones aritméticas, todo lo que necesitas saber con ejercicios Como Despejar N En Una Progresion Aritmetica Una sucesión a1, a2, a3⋯an⋯ se llama una sucesión aritmética o progresión aritmética si existe una constante d tal que d = an − an − 1 para todo n> 1. La constante d es llamada la. Cada número ocupa una posición y recibe el nombre de término. A continuación veremos en que consisten las progresiones aritméticas y las fórmulas. Como Despejar N En Una Progresion Aritmetica.
From www.youtube.com
🚩 Cómo calcular la razón de una progresión geométrica conociendo dos Como Despejar N En Una Progresion Aritmetica Fórmulas recursivas para sucesiones aritméticas. A continuación veremos en que consisten las progresiones aritméticas y las fórmulas para calcular tanto su término general, su diferencia,. La progresión aritmética es un concepto clave en matemáticas porque permite entender y predecir patrones numéricos en situaciones del mundo real. El primer término, la diferencia, el término enésimo o la suma de los n. Como Despejar N En Una Progresion Aritmetica.
From www.emprendedorinteligente.com
¿Qué es una progresión aritmética? ⭐️ ≫ Ejemplos, fórmula y despejes Como Despejar N En Una Progresion Aritmetica Para encontrar el valor de n en una secuencia aritmética, necesitas conocer al menos dos términos de la secuencia y la diferencia común. La progresión aritmética es un concepto clave en matemáticas porque permite entender y predecir patrones numéricos en situaciones del mundo real. Cada número ocupa una posición y recibe el nombre de término. Fórmulas recursivas para sucesiones aritméticas.. Como Despejar N En Una Progresion Aritmetica.
From www.youtube.com
Progresión Aritmética El primer término de una PA es 5 y el 18vo Como Despejar N En Una Progresion Aritmetica Para encontrar el valor de n en una secuencia aritmética, necesitas conocer al menos dos términos de la secuencia y la diferencia común. Puedes utilizarla para hallar cualquier propiedad de la progresión: Álgebra 1 > unidad 9. Una sucesión (o progresión) es un conjunto de números ordenados. Fórmulas recursivas para sucesiones aritméticas. Una sucesión a1, a2, a3⋯an⋯ se llama una. Como Despejar N En Una Progresion Aritmetica.
From www.youtube.com
PROGRESION ARITMETICA PASO A PASO YouTube Como Despejar N En Una Progresion Aritmetica Para encontrar el valor de n en una secuencia aritmética, necesitas conocer al menos dos términos de la secuencia y la diferencia común. La constante d es llamada la. La progresión aritmética es un concepto clave en matemáticas porque permite entender y predecir patrones numéricos en situaciones del mundo real. Por favor, comparte este video con aquellas personas que tu. Como Despejar N En Una Progresion Aritmetica.
From www.youtube.com
Calcula la suma de los términos de una progresión aritmética de a1 =7 Como Despejar N En Una Progresion Aritmetica A continuación veremos en que consisten las progresiones aritméticas y las fórmulas para calcular tanto su término general, su diferencia,. Para encontrar el valor de n en una secuencia aritmética, necesitas conocer al menos dos términos de la secuencia y la diferencia común. Una sucesión (o progresión) es un conjunto de números ordenados. La constante d es llamada la. El. Como Despejar N En Una Progresion Aritmetica.
From www.youtube.com
Progresión aritmética Qué es una progresión YouTube Como Despejar N En Una Progresion Aritmetica Una sucesión (o progresión) es un conjunto de números ordenados. Para encontrar el valor de n en una secuencia aritmética, necesitas conocer al menos dos términos de la secuencia y la diferencia común. Una sucesión a1, a2, a3⋯an⋯ se llama una sucesión aritmética o progresión aritmética si existe una constante d tal que d = an − an − 1. Como Despejar N En Una Progresion Aritmetica.
From www.ofuton.info
Refrescante Móvil carbón la suma de los terminos de una progresion Como Despejar N En Una Progresion Aritmetica Una sucesión a1, a2, a3⋯an⋯ se llama una sucesión aritmética o progresión aritmética si existe una constante d tal que d = an − an − 1 para todo n> 1. Cada número ocupa una posición y recibe el nombre de término. La progresión aritmética es un concepto clave en matemáticas porque permite entender y predecir patrones numéricos en situaciones. Como Despejar N En Una Progresion Aritmetica.
From www.youtube.com
PROGRESIÓN ARITMÉTICA YouTube Como Despejar N En Una Progresion Aritmetica Una sucesión (o progresión) es un conjunto de números ordenados. A continuación veremos en que consisten las progresiones aritméticas y las fórmulas para calcular tanto su término general, su diferencia,. El primer término, la diferencia, el término enésimo o la suma de los n primeros. Fórmulas recursivas para sucesiones aritméticas. Por favor, comparte este video con aquellas personas que tu. Como Despejar N En Una Progresion Aritmetica.
From www.youtube.com
04 Término general de una progresión aritmética II YouTube Como Despejar N En Una Progresion Aritmetica El primer término, la diferencia, el término enésimo o la suma de los n primeros. Por favor, comparte este video con aquellas personas que tu sepas que les puede beneficiar. Fórmulas recursivas para sucesiones aritméticas. A continuación veremos en que consisten las progresiones aritméticas y las fórmulas para calcular tanto su término general, su diferencia,. La constante d es llamada. Como Despejar N En Una Progresion Aritmetica.
From www.emprendedorinteligente.com
¿Qué es una progresión aritmética? ⭐️ ≫ Ejemplos, fórmula y despejes Como Despejar N En Una Progresion Aritmetica Cada número ocupa una posición y recibe el nombre de término. La constante d es llamada la. Una sucesión a1, a2, a3⋯an⋯ se llama una sucesión aritmética o progresión aritmética si existe una constante d tal que d = an − an − 1 para todo n> 1. Para encontrar el valor de n en una secuencia aritmética, necesitas conocer. Como Despejar N En Una Progresion Aritmetica.
From brainly.lat
Calcula la suma de los 15 primeros términos de la progresión aritmética Como Despejar N En Una Progresion Aritmetica Una sucesión (o progresión) es un conjunto de números ordenados. Para encontrar el valor de n en una secuencia aritmética, necesitas conocer al menos dos términos de la secuencia y la diferencia común. Álgebra 1 > unidad 9. El primer término, la diferencia, el término enésimo o la suma de los n primeros. A continuación veremos en que consisten las. Como Despejar N En Una Progresion Aritmetica.
From www.neurochispas.com
Suma de progresiones aritméticas Fórmula y Ejemplos Neurochispas Como Despejar N En Una Progresion Aritmetica La progresión aritmética es un concepto clave en matemáticas porque permite entender y predecir patrones numéricos en situaciones del mundo real. El primer término, la diferencia, el término enésimo o la suma de los n primeros. A continuación veremos en que consisten las progresiones aritméticas y las fórmulas para calcular tanto su término general, su diferencia,. La constante d es. Como Despejar N En Una Progresion Aritmetica.
From www.portaleducativo.net
Progresión aritmética Como Despejar N En Una Progresion Aritmetica Una sucesión (o progresión) es un conjunto de números ordenados. A continuación veremos en que consisten las progresiones aritméticas y las fórmulas para calcular tanto su término general, su diferencia,. Por favor, comparte este video con aquellas personas que tu sepas que les puede beneficiar. Para encontrar el valor de n en una secuencia aritmética, necesitas conocer al menos dos. Como Despejar N En Una Progresion Aritmetica.
From www.youtube.com
Cálculo del primer término de una progresión geométrica YouTube Como Despejar N En Una Progresion Aritmetica Para encontrar el valor de n en una secuencia aritmética, necesitas conocer al menos dos términos de la secuencia y la diferencia común. Por favor, comparte este video con aquellas personas que tu sepas que les puede beneficiar. Álgebra 1 > unidad 9. A continuación veremos en que consisten las progresiones aritméticas y las fórmulas para calcular tanto su término. Como Despejar N En Una Progresion Aritmetica.
From es.slideshare.net
Progresiones aritmeticas Como Despejar N En Una Progresion Aritmetica Para encontrar el valor de n en una secuencia aritmética, necesitas conocer al menos dos términos de la secuencia y la diferencia común. Cada número ocupa una posición y recibe el nombre de término. Una sucesión (o progresión) es un conjunto de números ordenados. A continuación veremos en que consisten las progresiones aritméticas y las fórmulas para calcular tanto su. Como Despejar N En Una Progresion Aritmetica.
From www.youtube.com
Término general de una progresión aritmética YouTube Como Despejar N En Una Progresion Aritmetica Para encontrar el valor de n en una secuencia aritmética, necesitas conocer al menos dos términos de la secuencia y la diferencia común. Cada número ocupa una posición y recibe el nombre de término. Álgebra 1 > unidad 9. Puedes utilizarla para hallar cualquier propiedad de la progresión: Una sucesión a1, a2, a3⋯an⋯ se llama una sucesión aritmética o progresión. Como Despejar N En Una Progresion Aritmetica.
From www.neurochispas.com
Cómo encontrar el primer término de una progresión geométrica Como Despejar N En Una Progresion Aritmetica Una sucesión (o progresión) es un conjunto de números ordenados. La progresión aritmética es un concepto clave en matemáticas porque permite entender y predecir patrones numéricos en situaciones del mundo real. Fórmulas recursivas para sucesiones aritméticas. Cada número ocupa una posición y recibe el nombre de término. Álgebra 1 > unidad 9. Puedes utilizarla para hallar cualquier propiedad de la. Como Despejar N En Una Progresion Aritmetica.
From www.youtube.com
Término general de una progresión aritmética YouTube Como Despejar N En Una Progresion Aritmetica El primer término, la diferencia, el término enésimo o la suma de los n primeros. Puedes utilizarla para hallar cualquier propiedad de la progresión: Una sucesión (o progresión) es un conjunto de números ordenados. Cada número ocupa una posición y recibe el nombre de término. La constante d es llamada la. Para encontrar el valor de n en una secuencia. Como Despejar N En Una Progresion Aritmetica.
From mavink.com
Que Es Una Sucesion Aritmetica Como Despejar N En Una Progresion Aritmetica La constante d es llamada la. La progresión aritmética es un concepto clave en matemáticas porque permite entender y predecir patrones numéricos en situaciones del mundo real. Cada número ocupa una posición y recibe el nombre de término. Una sucesión a1, a2, a3⋯an⋯ se llama una sucesión aritmética o progresión aritmética si existe una constante d tal que d =. Como Despejar N En Una Progresion Aritmetica.
From mavink.com
Formula Para Hallar La Razon De Una Progresion Aritmetica Como Despejar N En Una Progresion Aritmetica A continuación veremos en que consisten las progresiones aritméticas y las fórmulas para calcular tanto su término general, su diferencia,. Cada número ocupa una posición y recibe el nombre de término. Una sucesión (o progresión) es un conjunto de números ordenados. La progresión aritmética es un concepto clave en matemáticas porque permite entender y predecir patrones numéricos en situaciones del. Como Despejar N En Una Progresion Aritmetica.
From www.calameo.com
Calaméo progresiones aritmeticas Como Despejar N En Una Progresion Aritmetica Fórmulas recursivas para sucesiones aritméticas. Una sucesión (o progresión) es un conjunto de números ordenados. Cada número ocupa una posición y recibe el nombre de término. La progresión aritmética es un concepto clave en matemáticas porque permite entender y predecir patrones numéricos en situaciones del mundo real. Puedes utilizarla para hallar cualquier propiedad de la progresión: Álgebra 1 > unidad. Como Despejar N En Una Progresion Aritmetica.
From www.youtube.com
PROGRESION ARITMETICA Problemas con Términos YouTube Como Despejar N En Una Progresion Aritmetica Una sucesión (o progresión) es un conjunto de números ordenados. El primer término, la diferencia, el término enésimo o la suma de los n primeros. Fórmulas recursivas para sucesiones aritméticas. Puedes utilizarla para hallar cualquier propiedad de la progresión: Cada número ocupa una posición y recibe el nombre de término. Para encontrar el valor de n en una secuencia aritmética,. Como Despejar N En Una Progresion Aritmetica.
From eduboom.es
Progresión aritmética. Parte 1. Matemáticas 3º de Secundaria Como Despejar N En Una Progresion Aritmetica Para encontrar el valor de n en una secuencia aritmética, necesitas conocer al menos dos términos de la secuencia y la diferencia común. Álgebra 1 > unidad 9. Puedes utilizarla para hallar cualquier propiedad de la progresión: La progresión aritmética es un concepto clave en matemáticas porque permite entender y predecir patrones numéricos en situaciones del mundo real. A continuación. Como Despejar N En Una Progresion Aritmetica.