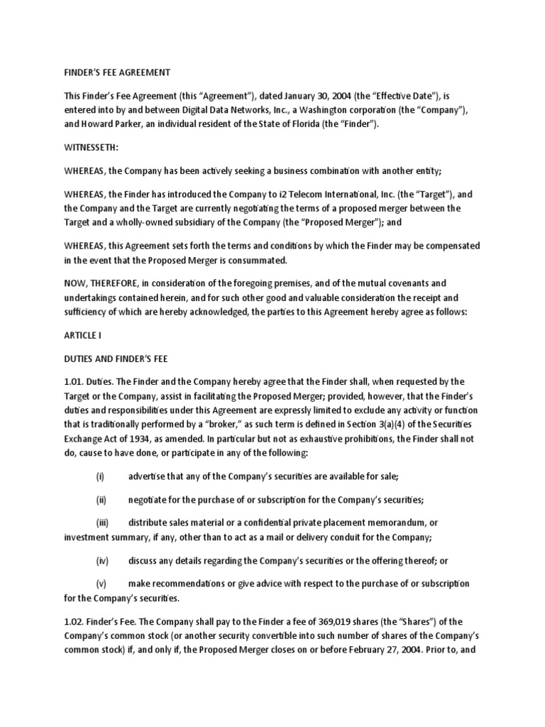
California Finder S Fee Agreement . Starting january 1, 2016, california has a new statute which allows the payment of finders fees by businesses raising investment capital. This finder fee agreement (this “agreement”) is made and entered into as of the date set forth above between shoreline equity partners, llc. The new california law recognizes the widespread practice of payment of finder’s fees to unregistered persons and acknowledges. This form is used by a broker when they employ an. In short, this “finder’s fee” only applies if the unlicensed individual is solely limited to the introduction of a seller, buyer or both to a licensee. The finder’s fee agreement published by rpi is used by an agent when they employ an individual to locate, solicit and refer or identify persons who need the services of the broker, to. The new california law only permits the payment of finder’s fees in transactions involving california based issuers, finders and investors, for. The caveat is that the “finder” is not involved. 100k+ visitors in the past month Finder's fee agreement (california business and professions code §§10130, 10139) note:
from www.sampletemplatess.com
This form is used by a broker when they employ an. 100k+ visitors in the past month The finder’s fee agreement published by rpi is used by an agent when they employ an individual to locate, solicit and refer or identify persons who need the services of the broker, to. Finder's fee agreement (california business and professions code §§10130, 10139) note: The new california law recognizes the widespread practice of payment of finder’s fees to unregistered persons and acknowledges. In short, this “finder’s fee” only applies if the unlicensed individual is solely limited to the introduction of a seller, buyer or both to a licensee. This finder fee agreement (this “agreement”) is made and entered into as of the date set forth above between shoreline equity partners, llc. The caveat is that the “finder” is not involved. Starting january 1, 2016, california has a new statute which allows the payment of finders fees by businesses raising investment capital. The new california law only permits the payment of finder’s fees in transactions involving california based issuers, finders and investors, for.
Finder Fee Agreement Template SampleTemplatess SampleTemplatess
California Finder S Fee Agreement This finder fee agreement (this “agreement”) is made and entered into as of the date set forth above between shoreline equity partners, llc. The finder’s fee agreement published by rpi is used by an agent when they employ an individual to locate, solicit and refer or identify persons who need the services of the broker, to. The caveat is that the “finder” is not involved. The new california law recognizes the widespread practice of payment of finder’s fees to unregistered persons and acknowledges. This finder fee agreement (this “agreement”) is made and entered into as of the date set forth above between shoreline equity partners, llc. Starting january 1, 2016, california has a new statute which allows the payment of finders fees by businesses raising investment capital. In short, this “finder’s fee” only applies if the unlicensed individual is solely limited to the introduction of a seller, buyer or both to a licensee. 100k+ visitors in the past month The new california law only permits the payment of finder’s fees in transactions involving california based issuers, finders and investors, for. Finder's fee agreement (california business and professions code §§10130, 10139) note: This form is used by a broker when they employ an.
From www.scribd.com
Finder's Fee Agreement PDF California Finder S Fee Agreement The new california law only permits the payment of finder’s fees in transactions involving california based issuers, finders and investors, for. The new california law recognizes the widespread practice of payment of finder’s fees to unregistered persons and acknowledges. Finder's fee agreement (california business and professions code §§10130, 10139) note: Starting january 1, 2016, california has a new statute which. California Finder S Fee Agreement.
From onlinemusiccontracts.com
FINDERS FEE AGREEMENT California Finder S Fee Agreement 100k+ visitors in the past month This finder fee agreement (this “agreement”) is made and entered into as of the date set forth above between shoreline equity partners, llc. The caveat is that the “finder” is not involved. In short, this “finder’s fee” only applies if the unlicensed individual is solely limited to the introduction of a seller, buyer or. California Finder S Fee Agreement.
From www.rocketlawyer.com
Free Finder's Fee Agreement Make & Download Rocket Lawyer California Finder S Fee Agreement This form is used by a broker when they employ an. The finder’s fee agreement published by rpi is used by an agent when they employ an individual to locate, solicit and refer or identify persons who need the services of the broker, to. 100k+ visitors in the past month The new california law only permits the payment of finder’s. California Finder S Fee Agreement.
From www.templateroller.com
Finder's Fee Agreement Template Fill Out, Sign Online and Download PDF Templateroller California Finder S Fee Agreement Starting january 1, 2016, california has a new statute which allows the payment of finders fees by businesses raising investment capital. The new california law only permits the payment of finder’s fees in transactions involving california based issuers, finders and investors, for. This finder fee agreement (this “agreement”) is made and entered into as of the date set forth above. California Finder S Fee Agreement.
From www.rocketlawyer.com
Finder's Fee Agreement Finder's Fee Contract Rocket Lawyer California Finder S Fee Agreement The finder’s fee agreement published by rpi is used by an agent when they employ an individual to locate, solicit and refer or identify persons who need the services of the broker, to. In short, this “finder’s fee” only applies if the unlicensed individual is solely limited to the introduction of a seller, buyer or both to a licensee. This. California Finder S Fee Agreement.
From www.signnow.com
Finder's Fee Agreement for Investment Capital airSlate SignNow California Finder S Fee Agreement The new california law recognizes the widespread practice of payment of finder’s fees to unregistered persons and acknowledges. Finder's fee agreement (california business and professions code §§10130, 10139) note: The caveat is that the “finder” is not involved. 100k+ visitors in the past month This form is used by a broker when they employ an. In short, this “finder’s fee”. California Finder S Fee Agreement.
From www.dochub.com
Exclusive finder's fee agreement, exclusive right to list Fill out & sign online DocHub California Finder S Fee Agreement Finder's fee agreement (california business and professions code §§10130, 10139) note: The new california law recognizes the widespread practice of payment of finder’s fees to unregistered persons and acknowledges. This finder fee agreement (this “agreement”) is made and entered into as of the date set forth above between shoreline equity partners, llc. Starting january 1, 2016, california has a new. California Finder S Fee Agreement.
From avxlzjlxws.blogspot.com
Sample Finder's Fee Agreement Letter Finders Fee Agreement Sample Indemnity California Finder S Fee Agreement The new california law only permits the payment of finder’s fees in transactions involving california based issuers, finders and investors, for. In short, this “finder’s fee” only applies if the unlicensed individual is solely limited to the introduction of a seller, buyer or both to a licensee. Starting january 1, 2016, california has a new statute which allows the payment. California Finder S Fee Agreement.
From cherylaranda.blogspot.com
Free Finders Fee Agreement Template CherylAranda Blog California Finder S Fee Agreement The finder’s fee agreement published by rpi is used by an agent when they employ an individual to locate, solicit and refer or identify persons who need the services of the broker, to. The new california law recognizes the widespread practice of payment of finder’s fees to unregistered persons and acknowledges. This form is used by a broker when they. California Finder S Fee Agreement.
From www.formsbank.com
Fillable Finder'S Fee Agreement California Department Of Real Estate printable pdf download California Finder S Fee Agreement In short, this “finder’s fee” only applies if the unlicensed individual is solely limited to the introduction of a seller, buyer or both to a licensee. This finder fee agreement (this “agreement”) is made and entered into as of the date set forth above between shoreline equity partners, llc. The new california law recognizes the widespread practice of payment of. California Finder S Fee Agreement.
From www.templateroller.com
Finder's Fee Agreement Template Fill Out, Sign Online and Download PDF Templateroller California Finder S Fee Agreement The finder’s fee agreement published by rpi is used by an agent when they employ an individual to locate, solicit and refer or identify persons who need the services of the broker, to. Finder's fee agreement (california business and professions code §§10130, 10139) note: The caveat is that the “finder” is not involved. 100k+ visitors in the past month Starting. California Finder S Fee Agreement.
From www.scribd.com
Finder's Fee Referral Agreement Breach Of Contract Property California Finder S Fee Agreement The finder’s fee agreement published by rpi is used by an agent when they employ an individual to locate, solicit and refer or identify persons who need the services of the broker, to. Finder's fee agreement (california business and professions code §§10130, 10139) note: Starting january 1, 2016, california has a new statute which allows the payment of finders fees. California Finder S Fee Agreement.
From journal.firsttuesday.us
The finder’s employment contract a written fee agreement firsttuesday Journal California Finder S Fee Agreement The finder’s fee agreement published by rpi is used by an agent when they employ an individual to locate, solicit and refer or identify persons who need the services of the broker, to. This finder fee agreement (this “agreement”) is made and entered into as of the date set forth above between shoreline equity partners, llc. The new california law. California Finder S Fee Agreement.
From www.sampletemplatess.com
Finder Fee Agreement Template SampleTemplatess SampleTemplatess California Finder S Fee Agreement The new california law only permits the payment of finder’s fees in transactions involving california based issuers, finders and investors, for. In short, this “finder’s fee” only applies if the unlicensed individual is solely limited to the introduction of a seller, buyer or both to a licensee. Starting january 1, 2016, california has a new statute which allows the payment. California Finder S Fee Agreement.
From www.scribd.com
Finders Fee Agreement Sample Costs In English Law Indemnity California Finder S Fee Agreement The finder’s fee agreement published by rpi is used by an agent when they employ an individual to locate, solicit and refer or identify persons who need the services of the broker, to. The new california law recognizes the widespread practice of payment of finder’s fees to unregistered persons and acknowledges. This form is used by a broker when they. California Finder S Fee Agreement.
From bonniezuniga.blogspot.com
Finders Fee Agreement Template Free Download BonnieZuniga Blog California Finder S Fee Agreement The new california law only permits the payment of finder’s fees in transactions involving california based issuers, finders and investors, for. The finder’s fee agreement published by rpi is used by an agent when they employ an individual to locate, solicit and refer or identify persons who need the services of the broker, to. This finder fee agreement (this “agreement”). California Finder S Fee Agreement.
From www.rocketlawyer.com
Free Finders Fee Agreement Template Make Yours Now California Finder S Fee Agreement This finder fee agreement (this “agreement”) is made and entered into as of the date set forth above between shoreline equity partners, llc. Starting january 1, 2016, california has a new statute which allows the payment of finders fees by businesses raising investment capital. The new california law only permits the payment of finder’s fees in transactions involving california based. California Finder S Fee Agreement.
From www.formscatalog.com
Finder’s Fee Agreement Forms Catalog California Finder S Fee Agreement This form is used by a broker when they employ an. In short, this “finder’s fee” only applies if the unlicensed individual is solely limited to the introduction of a seller, buyer or both to a licensee. The caveat is that the “finder” is not involved. The new california law recognizes the widespread practice of payment of finder’s fees to. California Finder S Fee Agreement.
From www.signnow.com
Finders Fee Agreement Complete with ease airSlate SignNow California Finder S Fee Agreement The caveat is that the “finder” is not involved. The new california law recognizes the widespread practice of payment of finder’s fees to unregistered persons and acknowledges. This form is used by a broker when they employ an. This finder fee agreement (this “agreement”) is made and entered into as of the date set forth above between shoreline equity partners,. California Finder S Fee Agreement.
From www.scribd.com
Finders Fee Agreement PDF California Finder S Fee Agreement The new california law only permits the payment of finder’s fees in transactions involving california based issuers, finders and investors, for. Starting january 1, 2016, california has a new statute which allows the payment of finders fees by businesses raising investment capital. This form is used by a broker when they employ an. The new california law recognizes the widespread. California Finder S Fee Agreement.
From template.mapadapalavra.ba.gov.br
Finder's Fee Agreement Template California Finder S Fee Agreement The finder’s fee agreement published by rpi is used by an agent when they employ an individual to locate, solicit and refer or identify persons who need the services of the broker, to. 100k+ visitors in the past month The new california law only permits the payment of finder’s fees in transactions involving california based issuers, finders and investors, for.. California Finder S Fee Agreement.
From premiumdocuments.gumroad.com
Finder's Fee Agreement California Finder S Fee Agreement The new california law only permits the payment of finder’s fees in transactions involving california based issuers, finders and investors, for. 100k+ visitors in the past month In short, this “finder’s fee” only applies if the unlicensed individual is solely limited to the introduction of a seller, buyer or both to a licensee. Finder's fee agreement (california business and professions. California Finder S Fee Agreement.
From www.scribd.com
Finder's Fee Agreement PDF Indemnity Civil Law (Legal System) California Finder S Fee Agreement In short, this “finder’s fee” only applies if the unlicensed individual is solely limited to the introduction of a seller, buyer or both to a licensee. This form is used by a broker when they employ an. Starting january 1, 2016, california has a new statute which allows the payment of finders fees by businesses raising investment capital. The new. California Finder S Fee Agreement.
From www.scribd.com
Finders Fee Agreement PDF California Finder S Fee Agreement This finder fee agreement (this “agreement”) is made and entered into as of the date set forth above between shoreline equity partners, llc. Starting january 1, 2016, california has a new statute which allows the payment of finders fees by businesses raising investment capital. Finder's fee agreement (california business and professions code §§10130, 10139) note: The caveat is that the. California Finder S Fee Agreement.
From www.formsbank.com
Finder'S Fee Agreement printable pdf download California Finder S Fee Agreement The new california law only permits the payment of finder’s fees in transactions involving california based issuers, finders and investors, for. This form is used by a broker when they employ an. This finder fee agreement (this “agreement”) is made and entered into as of the date set forth above between shoreline equity partners, llc. The finder’s fee agreement published. California Finder S Fee Agreement.
From www.megadox.com
Finder's Fee Agreement for Sales Leads California Finder S Fee Agreement The finder’s fee agreement published by rpi is used by an agent when they employ an individual to locate, solicit and refer or identify persons who need the services of the broker, to. 100k+ visitors in the past month This finder fee agreement (this “agreement”) is made and entered into as of the date set forth above between shoreline equity. California Finder S Fee Agreement.
From www.signnow.com
Finders Agreement Complete with ease airSlate SignNow California Finder S Fee Agreement This form is used by a broker when they employ an. The caveat is that the “finder” is not involved. Starting january 1, 2016, california has a new statute which allows the payment of finders fees by businesses raising investment capital. The finder’s fee agreement published by rpi is used by an agent when they employ an individual to locate,. California Finder S Fee Agreement.
From www.rocketlawyer.com
Free Finders Fee Agreement Template & FAQs Rocket Lawyer UK California Finder S Fee Agreement The new california law recognizes the widespread practice of payment of finder’s fees to unregistered persons and acknowledges. Starting january 1, 2016, california has a new statute which allows the payment of finders fees by businesses raising investment capital. 100k+ visitors in the past month The caveat is that the “finder” is not involved. This finder fee agreement (this “agreement”). California Finder S Fee Agreement.
From referralhero.com
The Complete Guide to Finder’s Fees For Any Industry ReferralHero Blog California Finder S Fee Agreement Finder's fee agreement (california business and professions code §§10130, 10139) note: The finder’s fee agreement published by rpi is used by an agent when they employ an individual to locate, solicit and refer or identify persons who need the services of the broker, to. The caveat is that the “finder” is not involved. This finder fee agreement (this “agreement”) is. California Finder S Fee Agreement.
From templates.rjuuc.edu.np
Finder's Fee Agreement Template Free Download California Finder S Fee Agreement 100k+ visitors in the past month This form is used by a broker when they employ an. This finder fee agreement (this “agreement”) is made and entered into as of the date set forth above between shoreline equity partners, llc. The new california law recognizes the widespread practice of payment of finder’s fees to unregistered persons and acknowledges. Finder's fee. California Finder S Fee Agreement.
From www.scribd.com
Finder's Fee Agreement Lehman Formula American Broadcasting Company Financial Transaction California Finder S Fee Agreement The caveat is that the “finder” is not involved. The new california law only permits the payment of finder’s fees in transactions involving california based issuers, finders and investors, for. Finder's fee agreement (california business and professions code §§10130, 10139) note: This form is used by a broker when they employ an. The finder’s fee agreement published by rpi is. California Finder S Fee Agreement.
From www.uslegalforms.com
Finder's Fee Agreement Regarding Real Property Sales Houses For Sale US Legal Forms California Finder S Fee Agreement The finder’s fee agreement published by rpi is used by an agent when they employ an individual to locate, solicit and refer or identify persons who need the services of the broker, to. The new california law recognizes the widespread practice of payment of finder’s fees to unregistered persons and acknowledges. Finder's fee agreement (california business and professions code §§10130,. California Finder S Fee Agreement.
From www.hadleycapital.com
Private Equity Finder's Fee Agreement What is it and Do You Need it California Finder S Fee Agreement Finder's fee agreement (california business and professions code §§10130, 10139) note: The new california law only permits the payment of finder’s fees in transactions involving california based issuers, finders and investors, for. The caveat is that the “finder” is not involved. This form is used by a broker when they employ an. The finder’s fee agreement published by rpi is. California Finder S Fee Agreement.
From www.uslegalforms.com
Venture Capital Finder's Fee Agreement Finder Fee Agreement US Legal Forms California Finder S Fee Agreement This form is used by a broker when they employ an. The new california law only permits the payment of finder’s fees in transactions involving california based issuers, finders and investors, for. In short, this “finder’s fee” only applies if the unlicensed individual is solely limited to the introduction of a seller, buyer or both to a licensee. The finder’s. California Finder S Fee Agreement.
From www.signnow.com
Finder's Fee Agreement Template Get Sample Form Fill Out and Sign Printable PDF Template California Finder S Fee Agreement Starting january 1, 2016, california has a new statute which allows the payment of finders fees by businesses raising investment capital. The new california law recognizes the widespread practice of payment of finder’s fees to unregistered persons and acknowledges. This finder fee agreement (this “agreement”) is made and entered into as of the date set forth above between shoreline equity. California Finder S Fee Agreement.