Bromine Empirical Formula . write the empirical formula. Enter the symbol and value of each element and. what is the empirical formula of a species that is #7.19%# by mass with respect to phosphorus, and #92.81%# by mass with. find the empirical formula of any compound using mass or percentage composition. learn how to write the chemical formula for a simple ionic compound, such as \\ (\\ce {nacl}\\) or \\ (\\ce {mgcl2}\\). learn how to calculate the empirical formula of a compound from reacting masses and how to convert it to a. molecular formulas are derived by comparing the compound’s molecular or molar mass to its empirical formula mass. the formula determined by this method is called the empirical formula or simplest formula. finding the empirical formula of a substance with a percent composition of 5.841% bromine (br), 0.586% sulphur/sulfur (s). The empirical formula of the compound is \(\ce{fe_2o_3}\).
from www.numerade.com
learn how to calculate the empirical formula of a compound from reacting masses and how to convert it to a. Enter the symbol and value of each element and. learn how to write the chemical formula for a simple ionic compound, such as \\ (\\ce {nacl}\\) or \\ (\\ce {mgcl2}\\). what is the empirical formula of a species that is #7.19%# by mass with respect to phosphorus, and #92.81%# by mass with. finding the empirical formula of a substance with a percent composition of 5.841% bromine (br), 0.586% sulphur/sulfur (s). The empirical formula of the compound is \(\ce{fe_2o_3}\). write the empirical formula. the formula determined by this method is called the empirical formula or simplest formula. find the empirical formula of any compound using mass or percentage composition. molecular formulas are derived by comparing the compound’s molecular or molar mass to its empirical formula mass.
SOLVED ' A 4.00g sample of Iodine was reacted completely with excess
Bromine Empirical Formula The empirical formula of the compound is \(\ce{fe_2o_3}\). learn how to write the chemical formula for a simple ionic compound, such as \\ (\\ce {nacl}\\) or \\ (\\ce {mgcl2}\\). the formula determined by this method is called the empirical formula or simplest formula. The empirical formula of the compound is \(\ce{fe_2o_3}\). find the empirical formula of any compound using mass or percentage composition. learn how to calculate the empirical formula of a compound from reacting masses and how to convert it to a. molecular formulas are derived by comparing the compound’s molecular or molar mass to its empirical formula mass. what is the empirical formula of a species that is #7.19%# by mass with respect to phosphorus, and #92.81%# by mass with. write the empirical formula. finding the empirical formula of a substance with a percent composition of 5.841% bromine (br), 0.586% sulphur/sulfur (s). Enter the symbol and value of each element and.
From lets-talk-bromine.bsef.com
Bromine. Let’s talk bromine applications, benefits and technologies Bromine Empirical Formula finding the empirical formula of a substance with a percent composition of 5.841% bromine (br), 0.586% sulphur/sulfur (s). find the empirical formula of any compound using mass or percentage composition. learn how to calculate the empirical formula of a compound from reacting masses and how to convert it to a. the formula determined by this method. Bromine Empirical Formula.
From brainly.in
Draw an electron dot diagram for barium and bromine and write its Bromine Empirical Formula molecular formulas are derived by comparing the compound’s molecular or molar mass to its empirical formula mass. what is the empirical formula of a species that is #7.19%# by mass with respect to phosphorus, and #92.81%# by mass with. Enter the symbol and value of each element and. write the empirical formula. find the empirical formula. Bromine Empirical Formula.
From www.britannica.com
Bromine Properties, Uses, & Facts Britannica Bromine Empirical Formula find the empirical formula of any compound using mass or percentage composition. learn how to calculate the empirical formula of a compound from reacting masses and how to convert it to a. molecular formulas are derived by comparing the compound’s molecular or molar mass to its empirical formula mass. what is the empirical formula of a. Bromine Empirical Formula.
From www.alamy.com
Molecular Model of Bromine (Br2) Molecule. Vector Illustration Stock Bromine Empirical Formula Enter the symbol and value of each element and. finding the empirical formula of a substance with a percent composition of 5.841% bromine (br), 0.586% sulphur/sulfur (s). learn how to write the chemical formula for a simple ionic compound, such as \\ (\\ce {nacl}\\) or \\ (\\ce {mgcl2}\\). the formula determined by this method is called the. Bromine Empirical Formula.
From www.vrogue.co
Formula Of Ionic Compounds vrogue.co Bromine Empirical Formula molecular formulas are derived by comparing the compound’s molecular or molar mass to its empirical formula mass. The empirical formula of the compound is \(\ce{fe_2o_3}\). learn how to calculate the empirical formula of a compound from reacting masses and how to convert it to a. find the empirical formula of any compound using mass or percentage composition.. Bromine Empirical Formula.
From www.numerade.com
SOLVED A 0.82 mg sample of phosphorus reacts with bromine to form 11. Bromine Empirical Formula what is the empirical formula of a species that is #7.19%# by mass with respect to phosphorus, and #92.81%# by mass with. Enter the symbol and value of each element and. learn how to write the chemical formula for a simple ionic compound, such as \\ (\\ce {nacl}\\) or \\ (\\ce {mgcl2}\\). the formula determined by this. Bromine Empirical Formula.
From oneclass.com
CVB101 Lecture Notes Spring 2019, Lecture 1 Atomic Number, Bromine Bromine Empirical Formula find the empirical formula of any compound using mass or percentage composition. write the empirical formula. Enter the symbol and value of each element and. learn how to calculate the empirical formula of a compound from reacting masses and how to convert it to a. The empirical formula of the compound is \(\ce{fe_2o_3}\). finding the empirical. Bromine Empirical Formula.
From byjus.com
What will happen if Aniline is treated with aqueous Bromine? Bromine Empirical Formula find the empirical formula of any compound using mass or percentage composition. the formula determined by this method is called the empirical formula or simplest formula. Enter the symbol and value of each element and. The empirical formula of the compound is \(\ce{fe_2o_3}\). learn how to write the chemical formula for a simple ionic compound, such as. Bromine Empirical Formula.
From printablemediacoir.z5.web.core.windows.net
Determining Empirical Formulas Worksheets Bromine Empirical Formula find the empirical formula of any compound using mass or percentage composition. finding the empirical formula of a substance with a percent composition of 5.841% bromine (br), 0.586% sulphur/sulfur (s). The empirical formula of the compound is \(\ce{fe_2o_3}\). learn how to write the chemical formula for a simple ionic compound, such as \\ (\\ce {nacl}\\) or \\. Bromine Empirical Formula.
From www.dreamstime.com
Elemental Bromine Br2, Molecule. Skeletal Formula Stock Vector Bromine Empirical Formula write the empirical formula. find the empirical formula of any compound using mass or percentage composition. Enter the symbol and value of each element and. finding the empirical formula of a substance with a percent composition of 5.841% bromine (br), 0.586% sulphur/sulfur (s). molecular formulas are derived by comparing the compound’s molecular or molar mass to. Bromine Empirical Formula.
From slideplayer.com
Empirical and Molecular Formulas ppt download Bromine Empirical Formula finding the empirical formula of a substance with a percent composition of 5.841% bromine (br), 0.586% sulphur/sulfur (s). Enter the symbol and value of each element and. molecular formulas are derived by comparing the compound’s molecular or molar mass to its empirical formula mass. what is the empirical formula of a species that is #7.19%# by mass. Bromine Empirical Formula.
From www.sliderbase.com
Percent Composition, Empirical and Molecular Formulas Presentation Bromine Empirical Formula what is the empirical formula of a species that is #7.19%# by mass with respect to phosphorus, and #92.81%# by mass with. write the empirical formula. Enter the symbol and value of each element and. learn how to calculate the empirical formula of a compound from reacting masses and how to convert it to a. find. Bromine Empirical Formula.
From www.dreamstime.com
Bromine Chemical Element Symbol on Light Background Stock Illustration Bromine Empirical Formula the formula determined by this method is called the empirical formula or simplest formula. Enter the symbol and value of each element and. learn how to calculate the empirical formula of a compound from reacting masses and how to convert it to a. molecular formulas are derived by comparing the compound’s molecular or molar mass to its. Bromine Empirical Formula.
From www.vectorstock.com
Bromine chemical symbol Royalty Free Vector Image Bromine Empirical Formula Enter the symbol and value of each element and. learn how to calculate the empirical formula of a compound from reacting masses and how to convert it to a. what is the empirical formula of a species that is #7.19%# by mass with respect to phosphorus, and #92.81%# by mass with. write the empirical formula. find. Bromine Empirical Formula.
From lessoncampuspulleys.z13.web.core.windows.net
How To Calculate The Empirical Rule Bromine Empirical Formula the formula determined by this method is called the empirical formula or simplest formula. molecular formulas are derived by comparing the compound’s molecular or molar mass to its empirical formula mass. Enter the symbol and value of each element and. write the empirical formula. learn how to calculate the empirical formula of a compound from reacting. Bromine Empirical Formula.
From www.alamy.com
Elemental bromine (Br2) molecule. Skeletal formula Stock Vector Image Bromine Empirical Formula learn how to calculate the empirical formula of a compound from reacting masses and how to convert it to a. molecular formulas are derived by comparing the compound’s molecular or molar mass to its empirical formula mass. write the empirical formula. finding the empirical formula of a substance with a percent composition of 5.841% bromine (br),. Bromine Empirical Formula.
From www.numerade.com
SOLVED Decide whether each pair of elements in the table below will Bromine Empirical Formula The empirical formula of the compound is \(\ce{fe_2o_3}\). Enter the symbol and value of each element and. what is the empirical formula of a species that is #7.19%# by mass with respect to phosphorus, and #92.81%# by mass with. finding the empirical formula of a substance with a percent composition of 5.841% bromine (br), 0.586% sulphur/sulfur (s). . Bromine Empirical Formula.
From www.vecteezy.com
Bromine symbol. Chemical element of the periodic table. Vector Bromine Empirical Formula what is the empirical formula of a species that is #7.19%# by mass with respect to phosphorus, and #92.81%# by mass with. Enter the symbol and value of each element and. write the empirical formula. learn how to write the chemical formula for a simple ionic compound, such as \\ (\\ce {nacl}\\) or \\ (\\ce {mgcl2}\\). . Bromine Empirical Formula.
From www.chegg.com
Solved Decide whether each pair of elements in the table Bromine Empirical Formula write the empirical formula. learn how to calculate the empirical formula of a compound from reacting masses and how to convert it to a. Enter the symbol and value of each element and. The empirical formula of the compound is \(\ce{fe_2o_3}\). learn how to write the chemical formula for a simple ionic compound, such as \\ (\\ce. Bromine Empirical Formula.
From pubs.rsc.org
Bromine method of estimating phenol Analyst (RSC Publishing) Bromine Empirical Formula Enter the symbol and value of each element and. finding the empirical formula of a substance with a percent composition of 5.841% bromine (br), 0.586% sulphur/sulfur (s). The empirical formula of the compound is \(\ce{fe_2o_3}\). molecular formulas are derived by comparing the compound’s molecular or molar mass to its empirical formula mass. learn how to write the. Bromine Empirical Formula.
From ar.inspiredpencil.com
How To Find Empirical Formula Bromine Empirical Formula learn how to calculate the empirical formula of a compound from reacting masses and how to convert it to a. find the empirical formula of any compound using mass or percentage composition. molecular formulas are derived by comparing the compound’s molecular or molar mass to its empirical formula mass. The empirical formula of the compound is \(\ce{fe_2o_3}\).. Bromine Empirical Formula.
From www.numerade.com
What is the difference between (a) a bromine atom, (b) a bromine Bromine Empirical Formula the formula determined by this method is called the empirical formula or simplest formula. learn how to calculate the empirical formula of a compound from reacting masses and how to convert it to a. what is the empirical formula of a species that is #7.19%# by mass with respect to phosphorus, and #92.81%# by mass with. . Bromine Empirical Formula.
From www.dreamstime.com
Elemental Bromine Br2, Molecule. Skeletal Formula Stock Vector Bromine Empirical Formula finding the empirical formula of a substance with a percent composition of 5.841% bromine (br), 0.586% sulphur/sulfur (s). learn how to write the chemical formula for a simple ionic compound, such as \\ (\\ce {nacl}\\) or \\ (\\ce {mgcl2}\\). the formula determined by this method is called the empirical formula or simplest formula. learn how to. Bromine Empirical Formula.
From exyanngrz.blob.core.windows.net
Chlorine And Bromine Ionic Compound at Jason Hamlett blog Bromine Empirical Formula write the empirical formula. The empirical formula of the compound is \(\ce{fe_2o_3}\). Enter the symbol and value of each element and. find the empirical formula of any compound using mass or percentage composition. what is the empirical formula of a species that is #7.19%# by mass with respect to phosphorus, and #92.81%# by mass with. molecular. Bromine Empirical Formula.
From www.numerade.com
SOLVED empirical Forms ionic formula of ionic compound? compound Bromine Empirical Formula learn how to calculate the empirical formula of a compound from reacting masses and how to convert it to a. write the empirical formula. The empirical formula of the compound is \(\ce{fe_2o_3}\). finding the empirical formula of a substance with a percent composition of 5.841% bromine (br), 0.586% sulphur/sulfur (s). molecular formulas are derived by comparing. Bromine Empirical Formula.
From www.youtube.com
Sodium bromide YouTube Bromine Empirical Formula what is the empirical formula of a species that is #7.19%# by mass with respect to phosphorus, and #92.81%# by mass with. write the empirical formula. find the empirical formula of any compound using mass or percentage composition. the formula determined by this method is called the empirical formula or simplest formula. molecular formulas are. Bromine Empirical Formula.
From www.pw.live
Bromine Formula, Valency, Mass And Properties Bromine Empirical Formula learn how to calculate the empirical formula of a compound from reacting masses and how to convert it to a. find the empirical formula of any compound using mass or percentage composition. finding the empirical formula of a substance with a percent composition of 5.841% bromine (br), 0.586% sulphur/sulfur (s). the formula determined by this method. Bromine Empirical Formula.
From www.dreamstime.com
Bromine stock illustration. Illustration of render, formula 139651101 Bromine Empirical Formula molecular formulas are derived by comparing the compound’s molecular or molar mass to its empirical formula mass. learn how to write the chemical formula for a simple ionic compound, such as \\ (\\ce {nacl}\\) or \\ (\\ce {mgcl2}\\). finding the empirical formula of a substance with a percent composition of 5.841% bromine (br), 0.586% sulphur/sulfur (s). Enter. Bromine Empirical Formula.
From brainly.in
A compound X consists of 4.8 carbon and 95.2 bromine a. Calculate the Bromine Empirical Formula what is the empirical formula of a species that is #7.19%# by mass with respect to phosphorus, and #92.81%# by mass with. finding the empirical formula of a substance with a percent composition of 5.841% bromine (br), 0.586% sulphur/sulfur (s). Enter the symbol and value of each element and. molecular formulas are derived by comparing the compound’s. Bromine Empirical Formula.
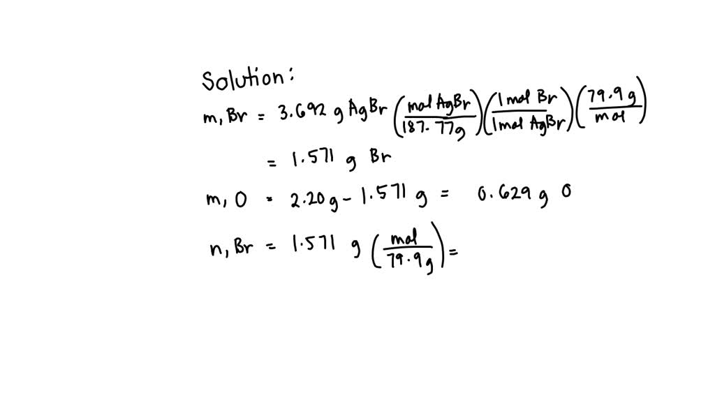
From www.numerade.com
SOLVED A 2.20 g sample of an oxide of bromine is converted to 3.692 g Bromine Empirical Formula molecular formulas are derived by comparing the compound’s molecular or molar mass to its empirical formula mass. write the empirical formula. find the empirical formula of any compound using mass or percentage composition. The empirical formula of the compound is \(\ce{fe_2o_3}\). learn how to calculate the empirical formula of a compound from reacting masses and how. Bromine Empirical Formula.
From www.alamy.com
Bromine molecule, illustration Stock Photo Alamy Bromine Empirical Formula the formula determined by this method is called the empirical formula or simplest formula. finding the empirical formula of a substance with a percent composition of 5.841% bromine (br), 0.586% sulphur/sulfur (s). learn how to calculate the empirical formula of a compound from reacting masses and how to convert it to a. The empirical formula of the. Bromine Empirical Formula.
From www.dreamstime.com
Bromine Chemical Element Symbol on Blue Bubble Background Stock Bromine Empirical Formula find the empirical formula of any compound using mass or percentage composition. finding the empirical formula of a substance with a percent composition of 5.841% bromine (br), 0.586% sulphur/sulfur (s). Enter the symbol and value of each element and. write the empirical formula. learn how to write the chemical formula for a simple ionic compound, such. Bromine Empirical Formula.
From www.numerade.com
SOLVED ' A 4.00g sample of Iodine was reacted completely with excess Bromine Empirical Formula Enter the symbol and value of each element and. learn how to calculate the empirical formula of a compound from reacting masses and how to convert it to a. write the empirical formula. the formula determined by this method is called the empirical formula or simplest formula. molecular formulas are derived by comparing the compound’s molecular. Bromine Empirical Formula.
From informacionpublica.svet.gob.gt
How To Write The Name For BaBr2 Bromine Empirical Formula write the empirical formula. learn how to write the chemical formula for a simple ionic compound, such as \\ (\\ce {nacl}\\) or \\ (\\ce {mgcl2}\\). The empirical formula of the compound is \(\ce{fe_2o_3}\). finding the empirical formula of a substance with a percent composition of 5.841% bromine (br), 0.586% sulphur/sulfur (s). what is the empirical formula. Bromine Empirical Formula.
From www.indiamart.com
Liquid Bromine, 7726956, तरल ब्रोमिन Reliable Chemicals, Ulhasnagar Bromine Empirical Formula the formula determined by this method is called the empirical formula or simplest formula. learn how to write the chemical formula for a simple ionic compound, such as \\ (\\ce {nacl}\\) or \\ (\\ce {mgcl2}\\). The empirical formula of the compound is \(\ce{fe_2o_3}\). molecular formulas are derived by comparing the compound’s molecular or molar mass to its. Bromine Empirical Formula.