Bromine Br Boiling Point . often referred to as methyl bromide, ch 3 br (boiling point 3.5 o c), this has been widely employed to kill pests in the soil, in. The boiling point of a substance is the temperature at which this phase change. small amounts of bromine can also be made through the reaction of solid sodium bromide, nabr, with concentrated sulphuric acid, h. boiling point of bromine is 59°c. bromine, chemical element, a deep red noxious liquid, and a member of the halogen elements, or group 17 of the periodic table.
from www.numerade.com
boiling point of bromine is 59°c. small amounts of bromine can also be made through the reaction of solid sodium bromide, nabr, with concentrated sulphuric acid, h. often referred to as methyl bromide, ch 3 br (boiling point 3.5 o c), this has been widely employed to kill pests in the soil, in. The boiling point of a substance is the temperature at which this phase change. bromine, chemical element, a deep red noxious liquid, and a member of the halogen elements, or group 17 of the periodic table.
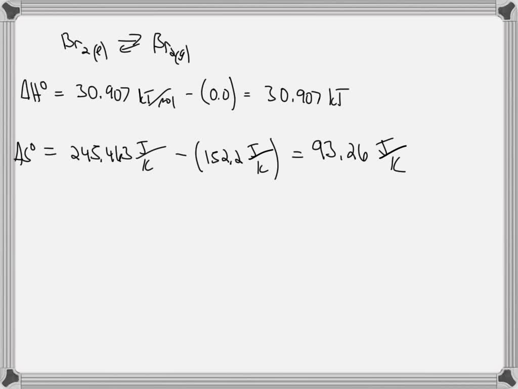
SOLVEDCalculate the boiling point of bromine given the following
Bromine Br Boiling Point The boiling point of a substance is the temperature at which this phase change. often referred to as methyl bromide, ch 3 br (boiling point 3.5 o c), this has been widely employed to kill pests in the soil, in. small amounts of bromine can also be made through the reaction of solid sodium bromide, nabr, with concentrated sulphuric acid, h. bromine, chemical element, a deep red noxious liquid, and a member of the halogen elements, or group 17 of the periodic table. boiling point of bromine is 59°c. The boiling point of a substance is the temperature at which this phase change.
From www.shutterstock.com
Bromine Parodic Table Element Boiling Melting Stock Vector (Royalty Bromine Br Boiling Point boiling point of bromine is 59°c. often referred to as methyl bromide, ch 3 br (boiling point 3.5 o c), this has been widely employed to kill pests in the soil, in. The boiling point of a substance is the temperature at which this phase change. small amounts of bromine can also be made through the reaction. Bromine Br Boiling Point.
From www.chegg.com
Solved The normal boiling point (at P=1 bar) of bromine Bromine Br Boiling Point often referred to as methyl bromide, ch 3 br (boiling point 3.5 o c), this has been widely employed to kill pests in the soil, in. boiling point of bromine is 59°c. small amounts of bromine can also be made through the reaction of solid sodium bromide, nabr, with concentrated sulphuric acid, h. bromine, chemical element,. Bromine Br Boiling Point.
From www.chegg.com
Chemistry Archive July 22, 2016 Bromine Br Boiling Point boiling point of bromine is 59°c. often referred to as methyl bromide, ch 3 br (boiling point 3.5 o c), this has been widely employed to kill pests in the soil, in. bromine, chemical element, a deep red noxious liquid, and a member of the halogen elements, or group 17 of the periodic table. The boiling point. Bromine Br Boiling Point.
From www.nuclear-power.com
Bromine Melting Point Boiling Point Bromine Br Boiling Point The boiling point of a substance is the temperature at which this phase change. often referred to as methyl bromide, ch 3 br (boiling point 3.5 o c), this has been widely employed to kill pests in the soil, in. bromine, chemical element, a deep red noxious liquid, and a member of the halogen elements, or group 17. Bromine Br Boiling Point.
From www.numerade.com
SOLVED The normal boiling point of bromine is 58.8 °C. Using the heat Bromine Br Boiling Point often referred to as methyl bromide, ch 3 br (boiling point 3.5 o c), this has been widely employed to kill pests in the soil, in. bromine, chemical element, a deep red noxious liquid, and a member of the halogen elements, or group 17 of the periodic table. small amounts of bromine can also be made through. Bromine Br Boiling Point.
From www.numerade.com
SOLVED Calculate the temperature of the boiling point (in °C) of Bromine Br Boiling Point boiling point of bromine is 59°c. small amounts of bromine can also be made through the reaction of solid sodium bromide, nabr, with concentrated sulphuric acid, h. The boiling point of a substance is the temperature at which this phase change. often referred to as methyl bromide, ch 3 br (boiling point 3.5 o c), this has. Bromine Br Boiling Point.
From thechemistrynotes.com
Bromine (Br) Element Properties and Amazing Uses, Facts Bromine Br Boiling Point boiling point of bromine is 59°c. The boiling point of a substance is the temperature at which this phase change. small amounts of bromine can also be made through the reaction of solid sodium bromide, nabr, with concentrated sulphuric acid, h. often referred to as methyl bromide, ch 3 br (boiling point 3.5 o c), this has. Bromine Br Boiling Point.
From www.numerade.com
SOLVED(a) Use data in Appendix C to estimate the boiling point of Bromine Br Boiling Point boiling point of bromine is 59°c. often referred to as methyl bromide, ch 3 br (boiling point 3.5 o c), this has been widely employed to kill pests in the soil, in. bromine, chemical element, a deep red noxious liquid, and a member of the halogen elements, or group 17 of the periodic table. small amounts. Bromine Br Boiling Point.
From www.examples.com
Bromine (Br) Definition, Preparation, Properties, Uses, Compounds Bromine Br Boiling Point small amounts of bromine can also be made through the reaction of solid sodium bromide, nabr, with concentrated sulphuric acid, h. boiling point of bromine is 59°c. bromine, chemical element, a deep red noxious liquid, and a member of the halogen elements, or group 17 of the periodic table. The boiling point of a substance is the. Bromine Br Boiling Point.
From www.numerade.com
SOLVED Below, draw and label an atomic/molecular level picture of the Bromine Br Boiling Point boiling point of bromine is 59°c. often referred to as methyl bromide, ch 3 br (boiling point 3.5 o c), this has been widely employed to kill pests in the soil, in. bromine, chemical element, a deep red noxious liquid, and a member of the halogen elements, or group 17 of the periodic table. The boiling point. Bromine Br Boiling Point.
From www.examples.com
Bromine (Br) Definition, Preparation, Properties, Uses, Compounds Bromine Br Boiling Point often referred to as methyl bromide, ch 3 br (boiling point 3.5 o c), this has been widely employed to kill pests in the soil, in. boiling point of bromine is 59°c. The boiling point of a substance is the temperature at which this phase change. bromine, chemical element, a deep red noxious liquid, and a member. Bromine Br Boiling Point.
From www.numerade.com
SOLVEDCalculate the boiling point of bromine given the following Bromine Br Boiling Point bromine, chemical element, a deep red noxious liquid, and a member of the halogen elements, or group 17 of the periodic table. often referred to as methyl bromide, ch 3 br (boiling point 3.5 o c), this has been widely employed to kill pests in the soil, in. small amounts of bromine can also be made through. Bromine Br Boiling Point.
From www.slideserve.com
PPT Halogens (group 17 ) PowerPoint Presentation, free download ID Bromine Br Boiling Point boiling point of bromine is 59°c. bromine, chemical element, a deep red noxious liquid, and a member of the halogen elements, or group 17 of the periodic table. The boiling point of a substance is the temperature at which this phase change. small amounts of bromine can also be made through the reaction of solid sodium bromide,. Bromine Br Boiling Point.
From www.transtutors.com
(Get Answer) 3. The Boiling Point Of Bromine (Br2) Is 58.8 °C, And Bromine Br Boiling Point The boiling point of a substance is the temperature at which this phase change. boiling point of bromine is 59°c. small amounts of bromine can also be made through the reaction of solid sodium bromide, nabr, with concentrated sulphuric acid, h. bromine, chemical element, a deep red noxious liquid, and a member of the halogen elements, or. Bromine Br Boiling Point.
From www.numerade.com
SOLVEDIn estimating the boiling point and melting point of bromine in Bromine Br Boiling Point The boiling point of a substance is the temperature at which this phase change. often referred to as methyl bromide, ch 3 br (boiling point 3.5 o c), this has been widely employed to kill pests in the soil, in. boiling point of bromine is 59°c. bromine, chemical element, a deep red noxious liquid, and a member. Bromine Br Boiling Point.
From www.chegg.com
Solved The boiling point of bromine (Br2) is 332 K. What are Bromine Br Boiling Point bromine, chemical element, a deep red noxious liquid, and a member of the halogen elements, or group 17 of the periodic table. small amounts of bromine can also be made through the reaction of solid sodium bromide, nabr, with concentrated sulphuric acid, h. The boiling point of a substance is the temperature at which this phase change. . Bromine Br Boiling Point.
From www.gauthmath.com
Solved The table below shows the melting points and boiling points of Bromine Br Boiling Point bromine, chemical element, a deep red noxious liquid, and a member of the halogen elements, or group 17 of the periodic table. The boiling point of a substance is the temperature at which this phase change. boiling point of bromine is 59°c. small amounts of bromine can also be made through the reaction of solid sodium bromide,. Bromine Br Boiling Point.
From cezonmuk.blob.core.windows.net
Bromine Boiling Point Chlorine at Sarita Kwon blog Bromine Br Boiling Point boiling point of bromine is 59°c. often referred to as methyl bromide, ch 3 br (boiling point 3.5 o c), this has been widely employed to kill pests in the soil, in. bromine, chemical element, a deep red noxious liquid, and a member of the halogen elements, or group 17 of the periodic table. small amounts. Bromine Br Boiling Point.
From www.chegg.com
Solved The normal boiling point of bromine is 58.8∘C. Given Bromine Br Boiling Point boiling point of bromine is 59°c. bromine, chemical element, a deep red noxious liquid, and a member of the halogen elements, or group 17 of the periodic table. often referred to as methyl bromide, ch 3 br (boiling point 3.5 o c), this has been widely employed to kill pests in the soil, in. small amounts. Bromine Br Boiling Point.
From www.numerade.com
SOLVED Calculate the boiling point of bromine, Br2 from the data given Bromine Br Boiling Point bromine, chemical element, a deep red noxious liquid, and a member of the halogen elements, or group 17 of the periodic table. small amounts of bromine can also be made through the reaction of solid sodium bromide, nabr, with concentrated sulphuric acid, h. boiling point of bromine is 59°c. often referred to as methyl bromide, ch. Bromine Br Boiling Point.
From www.numerade.com
SOLVED Bromine has a boiling point of 59 *C. What is the correct Bromine Br Boiling Point often referred to as methyl bromide, ch 3 br (boiling point 3.5 o c), this has been widely employed to kill pests in the soil, in. boiling point of bromine is 59°c. bromine, chemical element, a deep red noxious liquid, and a member of the halogen elements, or group 17 of the periodic table. small amounts. Bromine Br Boiling Point.
From www.americanelements.com
Bromine (Br) AMERICAN ELEMENTS Bromine Br Boiling Point The boiling point of a substance is the temperature at which this phase change. bromine, chemical element, a deep red noxious liquid, and a member of the halogen elements, or group 17 of the periodic table. boiling point of bromine is 59°c. small amounts of bromine can also be made through the reaction of solid sodium bromide,. Bromine Br Boiling Point.
From www.britannica.com
bromine Properties, Uses, & Facts Britannica Bromine Br Boiling Point The boiling point of a substance is the temperature at which this phase change. often referred to as methyl bromide, ch 3 br (boiling point 3.5 o c), this has been widely employed to kill pests in the soil, in. bromine, chemical element, a deep red noxious liquid, and a member of the halogen elements, or group 17. Bromine Br Boiling Point.
From www.toppr.com
What will be the boiling point of bromine when 174.5mg of octa atomic Bromine Br Boiling Point The boiling point of a substance is the temperature at which this phase change. boiling point of bromine is 59°c. bromine, chemical element, a deep red noxious liquid, and a member of the halogen elements, or group 17 of the periodic table. small amounts of bromine can also be made through the reaction of solid sodium bromide,. Bromine Br Boiling Point.
From www.chegg.com
Solved Bromine (Br_2) has a freezing point of 7 degreeC, Bromine Br Boiling Point The boiling point of a substance is the temperature at which this phase change. boiling point of bromine is 59°c. small amounts of bromine can also be made through the reaction of solid sodium bromide, nabr, with concentrated sulphuric acid, h. often referred to as methyl bromide, ch 3 br (boiling point 3.5 o c), this has. Bromine Br Boiling Point.
From www.numerade.com
SOLVED Estimate the normal boiling point of bromine, Br2, in the Bromine Br Boiling Point boiling point of bromine is 59°c. The boiling point of a substance is the temperature at which this phase change. bromine, chemical element, a deep red noxious liquid, and a member of the halogen elements, or group 17 of the periodic table. small amounts of bromine can also be made through the reaction of solid sodium bromide,. Bromine Br Boiling Point.
From www.numerade.com
SOLVED(a) Use data in Appendix C to estimate the boiling point of Bromine Br Boiling Point often referred to as methyl bromide, ch 3 br (boiling point 3.5 o c), this has been widely employed to kill pests in the soil, in. The boiling point of a substance is the temperature at which this phase change. boiling point of bromine is 59°c. bromine, chemical element, a deep red noxious liquid, and a member. Bromine Br Boiling Point.
From www.numerade.com
SOLVEDLiquid bromine (Br2) and the interhalogen compound ICl have Bromine Br Boiling Point The boiling point of a substance is the temperature at which this phase change. often referred to as methyl bromide, ch 3 br (boiling point 3.5 o c), this has been widely employed to kill pests in the soil, in. boiling point of bromine is 59°c. bromine, chemical element, a deep red noxious liquid, and a member. Bromine Br Boiling Point.
From www.gauthmath.com
Solved The boiling points of diatomic halogens are compared in the Bromine Br Boiling Point The boiling point of a substance is the temperature at which this phase change. often referred to as methyl bromide, ch 3 br (boiling point 3.5 o c), this has been widely employed to kill pests in the soil, in. small amounts of bromine can also be made through the reaction of solid sodium bromide, nabr, with concentrated. Bromine Br Boiling Point.
From www.slideshare.net
Bromine berry Bromine Br Boiling Point often referred to as methyl bromide, ch 3 br (boiling point 3.5 o c), this has been widely employed to kill pests in the soil, in. The boiling point of a substance is the temperature at which this phase change. boiling point of bromine is 59°c. bromine, chemical element, a deep red noxious liquid, and a member. Bromine Br Boiling Point.
From www.numerade.com
SOLVEDFrom data in Appendix J, estimate (a) the boiling point of Bromine Br Boiling Point often referred to as methyl bromide, ch 3 br (boiling point 3.5 o c), this has been widely employed to kill pests in the soil, in. boiling point of bromine is 59°c. bromine, chemical element, a deep red noxious liquid, and a member of the halogen elements, or group 17 of the periodic table. The boiling point. Bromine Br Boiling Point.
From cezonmuk.blob.core.windows.net
Bromine Boiling Point Chlorine at Sarita Kwon blog Bromine Br Boiling Point boiling point of bromine is 59°c. often referred to as methyl bromide, ch 3 br (boiling point 3.5 o c), this has been widely employed to kill pests in the soil, in. bromine, chemical element, a deep red noxious liquid, and a member of the halogen elements, or group 17 of the periodic table. The boiling point. Bromine Br Boiling Point.
From cezonmuk.blob.core.windows.net
Bromine Boiling Point Chlorine at Sarita Kwon blog Bromine Br Boiling Point often referred to as methyl bromide, ch 3 br (boiling point 3.5 o c), this has been widely employed to kill pests in the soil, in. small amounts of bromine can also be made through the reaction of solid sodium bromide, nabr, with concentrated sulphuric acid, h. boiling point of bromine is 59°c. bromine, chemical element,. Bromine Br Boiling Point.
From material-properties.org
Bromine Thermal Properties Melting Point Thermal Conductivity Bromine Br Boiling Point small amounts of bromine can also be made through the reaction of solid sodium bromide, nabr, with concentrated sulphuric acid, h. The boiling point of a substance is the temperature at which this phase change. boiling point of bromine is 59°c. bromine, chemical element, a deep red noxious liquid, and a member of the halogen elements, or. Bromine Br Boiling Point.
From www.bartleby.com
Answered At standard temperature and pressure,… bartleby Bromine Br Boiling Point bromine, chemical element, a deep red noxious liquid, and a member of the halogen elements, or group 17 of the periodic table. The boiling point of a substance is the temperature at which this phase change. often referred to as methyl bromide, ch 3 br (boiling point 3.5 o c), this has been widely employed to kill pests. Bromine Br Boiling Point.