Damped Oscillation Excel . the apparatus utilizes an arduino for data acquisition and an excel spreadsheet for data analysis. * overdamped (ζ > 1): A damped sine wave is a smooth, periodic oscillation with an amplitude that approaches zero as time goes to infinity. Small size spreadsheet since there are. The system returns (exponentially decays) to equilibrium without. by using an excel spreadsheet for data analysis and arduino for data acquisition, the experimental apparatus can demonstrate. a damped harmonic oscillator can be: Advantages of a dynamic model:
from www.reddit.com
Advantages of a dynamic model: The system returns (exponentially decays) to equilibrium without. the apparatus utilizes an arduino for data acquisition and an excel spreadsheet for data analysis. a damped harmonic oscillator can be: A damped sine wave is a smooth, periodic oscillation with an amplitude that approaches zero as time goes to infinity. Small size spreadsheet since there are. * overdamped (ζ > 1): by using an excel spreadsheet for data analysis and arduino for data acquisition, the experimental apparatus can demonstrate.
Determining end of damped oscillation AskElectronics
Damped Oscillation Excel a damped harmonic oscillator can be: Advantages of a dynamic model: the apparatus utilizes an arduino for data acquisition and an excel spreadsheet for data analysis. The system returns (exponentially decays) to equilibrium without. by using an excel spreadsheet for data analysis and arduino for data acquisition, the experimental apparatus can demonstrate. Small size spreadsheet since there are. * overdamped (ζ > 1): a damped harmonic oscillator can be: A damped sine wave is a smooth, periodic oscillation with an amplitude that approaches zero as time goes to infinity.
From www.studypool.com
SOLUTION Free and damped oscillation Studypool Damped Oscillation Excel Small size spreadsheet since there are. Advantages of a dynamic model: * overdamped (ζ > 1): by using an excel spreadsheet for data analysis and arduino for data acquisition, the experimental apparatus can demonstrate. A damped sine wave is a smooth, periodic oscillation with an amplitude that approaches zero as time goes to infinity. a damped harmonic oscillator. Damped Oscillation Excel.
From www.youtube.com
Damped Oscillation Differential Equation YouTube Damped Oscillation Excel by using an excel spreadsheet for data analysis and arduino for data acquisition, the experimental apparatus can demonstrate. The system returns (exponentially decays) to equilibrium without. a damped harmonic oscillator can be: the apparatus utilizes an arduino for data acquisition and an excel spreadsheet for data analysis. Small size spreadsheet since there are. Advantages of a dynamic. Damped Oscillation Excel.
From frauensache.blog
Science Eoc Review Downloads Damped Oscillation Excel * overdamped (ζ > 1): the apparatus utilizes an arduino for data acquisition and an excel spreadsheet for data analysis. Advantages of a dynamic model: The system returns (exponentially decays) to equilibrium without. A damped sine wave is a smooth, periodic oscillation with an amplitude that approaches zero as time goes to infinity. by using an excel spreadsheet. Damped Oscillation Excel.
From www.geogebra.org
Damped Oscillations GeoGebra Damped Oscillation Excel a damped harmonic oscillator can be: the apparatus utilizes an arduino for data acquisition and an excel spreadsheet for data analysis. A damped sine wave is a smooth, periodic oscillation with an amplitude that approaches zero as time goes to infinity. Small size spreadsheet since there are. Advantages of a dynamic model: by using an excel spreadsheet. Damped Oscillation Excel.
From www.studypool.com
SOLUTION Damped oscillation Studypool Damped Oscillation Excel A damped sine wave is a smooth, periodic oscillation with an amplitude that approaches zero as time goes to infinity. Small size spreadsheet since there are. Advantages of a dynamic model: the apparatus utilizes an arduino for data acquisition and an excel spreadsheet for data analysis. The system returns (exponentially decays) to equilibrium without. by using an excel. Damped Oscillation Excel.
From ceubwhjb.blob.core.windows.net
Oscillator With Damping at Judy Jones blog Damped Oscillation Excel Small size spreadsheet since there are. a damped harmonic oscillator can be: the apparatus utilizes an arduino for data acquisition and an excel spreadsheet for data analysis. Advantages of a dynamic model: * overdamped (ζ > 1): The system returns (exponentially decays) to equilibrium without. by using an excel spreadsheet for data analysis and arduino for data. Damped Oscillation Excel.
From www.studypool.com
SOLUTION 2 free damped oscillations Studypool Damped Oscillation Excel A damped sine wave is a smooth, periodic oscillation with an amplitude that approaches zero as time goes to infinity. The system returns (exponentially decays) to equilibrium without. a damped harmonic oscillator can be: Advantages of a dynamic model: * overdamped (ζ > 1): the apparatus utilizes an arduino for data acquisition and an excel spreadsheet for data. Damped Oscillation Excel.
From www.slideserve.com
PPT Damped Oscillations PowerPoint Presentation, free download ID Damped Oscillation Excel by using an excel spreadsheet for data analysis and arduino for data acquisition, the experimental apparatus can demonstrate. * overdamped (ζ > 1): a damped harmonic oscillator can be: Small size spreadsheet since there are. Advantages of a dynamic model: the apparatus utilizes an arduino for data acquisition and an excel spreadsheet for data analysis. The system. Damped Oscillation Excel.
From www.youtube.com
Types of Damped Oscillation YouTube Damped Oscillation Excel Advantages of a dynamic model: a damped harmonic oscillator can be: Small size spreadsheet since there are. A damped sine wave is a smooth, periodic oscillation with an amplitude that approaches zero as time goes to infinity. by using an excel spreadsheet for data analysis and arduino for data acquisition, the experimental apparatus can demonstrate. The system returns. Damped Oscillation Excel.
From exomcggho.blob.core.windows.net
Damped Oscillation Shaala at James Bass blog Damped Oscillation Excel the apparatus utilizes an arduino for data acquisition and an excel spreadsheet for data analysis. * overdamped (ζ > 1): The system returns (exponentially decays) to equilibrium without. by using an excel spreadsheet for data analysis and arduino for data acquisition, the experimental apparatus can demonstrate. Small size spreadsheet since there are. a damped harmonic oscillator can. Damped Oscillation Excel.
From www.youtube.com
Solving the Damped Harmonic Oscillator YouTube Damped Oscillation Excel The system returns (exponentially decays) to equilibrium without. by using an excel spreadsheet for data analysis and arduino for data acquisition, the experimental apparatus can demonstrate. A damped sine wave is a smooth, periodic oscillation with an amplitude that approaches zero as time goes to infinity. the apparatus utilizes an arduino for data acquisition and an excel spreadsheet. Damped Oscillation Excel.
From www.youtube.com
Lecture 22 Damped Oscillations YouTube Damped Oscillation Excel a damped harmonic oscillator can be: the apparatus utilizes an arduino for data acquisition and an excel spreadsheet for data analysis. The system returns (exponentially decays) to equilibrium without. Advantages of a dynamic model: by using an excel spreadsheet for data analysis and arduino for data acquisition, the experimental apparatus can demonstrate. Small size spreadsheet since there. Damped Oscillation Excel.
From howwhy.nfshost.com
Damped Oscillation Damped Oscillation Excel the apparatus utilizes an arduino for data acquisition and an excel spreadsheet for data analysis. A damped sine wave is a smooth, periodic oscillation with an amplitude that approaches zero as time goes to infinity. a damped harmonic oscillator can be: * overdamped (ζ > 1): The system returns (exponentially decays) to equilibrium without. Advantages of a dynamic. Damped Oscillation Excel.
From www.chegg.com
Solved Excel Problem 1 (4pts) For a damped oscillation as Damped Oscillation Excel The system returns (exponentially decays) to equilibrium without. by using an excel spreadsheet for data analysis and arduino for data acquisition, the experimental apparatus can demonstrate. A damped sine wave is a smooth, periodic oscillation with an amplitude that approaches zero as time goes to infinity. the apparatus utilizes an arduino for data acquisition and an excel spreadsheet. Damped Oscillation Excel.
From www.coursehero.com
[Solved] . Excel Problem 1 (4pts) For a damped oscillation as depicted Damped Oscillation Excel The system returns (exponentially decays) to equilibrium without. A damped sine wave is a smooth, periodic oscillation with an amplitude that approaches zero as time goes to infinity. by using an excel spreadsheet for data analysis and arduino for data acquisition, the experimental apparatus can demonstrate. Small size spreadsheet since there are. a damped harmonic oscillator can be:. Damped Oscillation Excel.
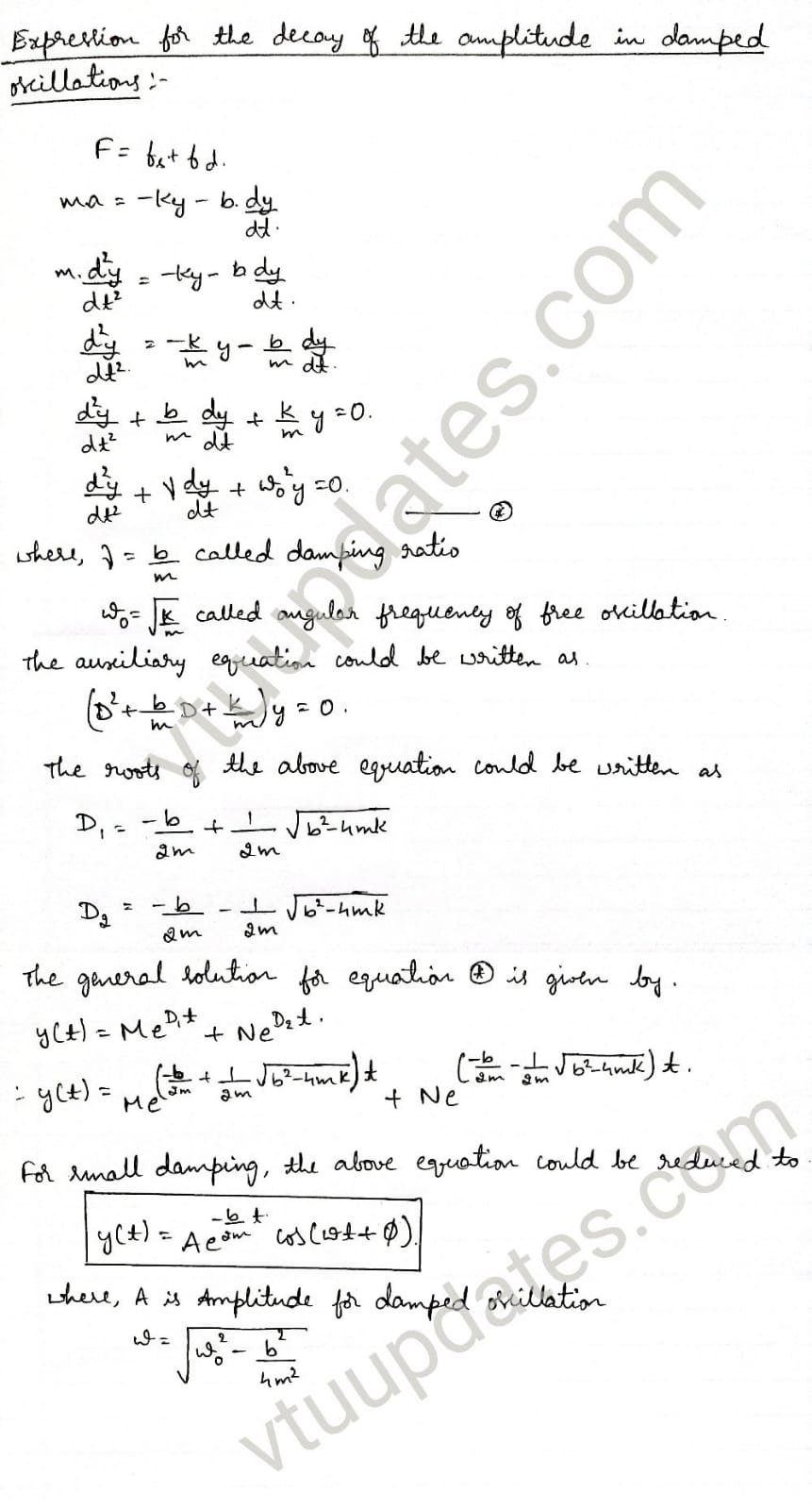
From vtuupdates.com
What are damped oscillations? Discuss the theory of damped oscillations Damped Oscillation Excel by using an excel spreadsheet for data analysis and arduino for data acquisition, the experimental apparatus can demonstrate. A damped sine wave is a smooth, periodic oscillation with an amplitude that approaches zero as time goes to infinity. Advantages of a dynamic model: Small size spreadsheet since there are. a damped harmonic oscillator can be: The system returns. Damped Oscillation Excel.
From www.youtube.com
Difference Between Damped oscillations and undamped oscillations YouTube Damped Oscillation Excel A damped sine wave is a smooth, periodic oscillation with an amplitude that approaches zero as time goes to infinity. Advantages of a dynamic model: * overdamped (ζ > 1): the apparatus utilizes an arduino for data acquisition and an excel spreadsheet for data analysis. The system returns (exponentially decays) to equilibrium without. by using an excel spreadsheet. Damped Oscillation Excel.
From www.studypool.com
SOLUTION Damped oscillation 2 Studypool Damped Oscillation Excel the apparatus utilizes an arduino for data acquisition and an excel spreadsheet for data analysis. A damped sine wave is a smooth, periodic oscillation with an amplitude that approaches zero as time goes to infinity. * overdamped (ζ > 1): a damped harmonic oscillator can be: Advantages of a dynamic model: Small size spreadsheet since there are. The. Damped Oscillation Excel.
From ar.inspiredpencil.com
Damped Harmonic Oscillator Examples Damped Oscillation Excel the apparatus utilizes an arduino for data acquisition and an excel spreadsheet for data analysis. Advantages of a dynamic model: A damped sine wave is a smooth, periodic oscillation with an amplitude that approaches zero as time goes to infinity. * overdamped (ζ > 1): by using an excel spreadsheet for data analysis and arduino for data acquisition,. Damped Oscillation Excel.
From www.chegg.com
Solved Excel Problem 1 (4pts) For a damped oscillation as Damped Oscillation Excel * overdamped (ζ > 1): a damped harmonic oscillator can be: Advantages of a dynamic model: A damped sine wave is a smooth, periodic oscillation with an amplitude that approaches zero as time goes to infinity. The system returns (exponentially decays) to equilibrium without. by using an excel spreadsheet for data analysis and arduino for data acquisition, the. Damped Oscillation Excel.
From www.studypool.com
SOLUTION Damped oscillation Studypool Damped Oscillation Excel by using an excel spreadsheet for data analysis and arduino for data acquisition, the experimental apparatus can demonstrate. a damped harmonic oscillator can be: the apparatus utilizes an arduino for data acquisition and an excel spreadsheet for data analysis. * overdamped (ζ > 1): Small size spreadsheet since there are. The system returns (exponentially decays) to equilibrium. Damped Oscillation Excel.
From www.scribd.com
Damped Oscillation PDF Damped Oscillation Excel by using an excel spreadsheet for data analysis and arduino for data acquisition, the experimental apparatus can demonstrate. Small size spreadsheet since there are. A damped sine wave is a smooth, periodic oscillation with an amplitude that approaches zero as time goes to infinity. * overdamped (ζ > 1): the apparatus utilizes an arduino for data acquisition and. Damped Oscillation Excel.
From www.researchgate.net
Amplitude and decrement of damped oscillations Download Scientific Damped Oscillation Excel * overdamped (ζ > 1): the apparatus utilizes an arduino for data acquisition and an excel spreadsheet for data analysis. Small size spreadsheet since there are. by using an excel spreadsheet for data analysis and arduino for data acquisition, the experimental apparatus can demonstrate. Advantages of a dynamic model: The system returns (exponentially decays) to equilibrium without. A. Damped Oscillation Excel.
From www.reddit.com
Determining end of damped oscillation AskElectronics Damped Oscillation Excel a damped harmonic oscillator can be: A damped sine wave is a smooth, periodic oscillation with an amplitude that approaches zero as time goes to infinity. * overdamped (ζ > 1): Advantages of a dynamic model: by using an excel spreadsheet for data analysis and arduino for data acquisition, the experimental apparatus can demonstrate. Small size spreadsheet since. Damped Oscillation Excel.
From studylib.net
Analyzing Damped Oscillations Damped Oscillation Excel * overdamped (ζ > 1): a damped harmonic oscillator can be: by using an excel spreadsheet for data analysis and arduino for data acquisition, the experimental apparatus can demonstrate. A damped sine wave is a smooth, periodic oscillation with an amplitude that approaches zero as time goes to infinity. Advantages of a dynamic model: Small size spreadsheet since. Damped Oscillation Excel.
From www.youtube.com
Damped Oscillations YouTube Damped Oscillation Excel The system returns (exponentially decays) to equilibrium without. A damped sine wave is a smooth, periodic oscillation with an amplitude that approaches zero as time goes to infinity. Advantages of a dynamic model: the apparatus utilizes an arduino for data acquisition and an excel spreadsheet for data analysis. Small size spreadsheet since there are. by using an excel. Damped Oscillation Excel.
From www.slideserve.com
PPT Damped Oscillations PowerPoint Presentation, free download ID Damped Oscillation Excel Small size spreadsheet since there are. Advantages of a dynamic model: * overdamped (ζ > 1): A damped sine wave is a smooth, periodic oscillation with an amplitude that approaches zero as time goes to infinity. The system returns (exponentially decays) to equilibrium without. a damped harmonic oscillator can be: the apparatus utilizes an arduino for data acquisition. Damped Oscillation Excel.
From www.studypool.com
SOLUTION Damped oscillation Studypool Damped Oscillation Excel A damped sine wave is a smooth, periodic oscillation with an amplitude that approaches zero as time goes to infinity. the apparatus utilizes an arduino for data acquisition and an excel spreadsheet for data analysis. a damped harmonic oscillator can be: The system returns (exponentially decays) to equilibrium without. Advantages of a dynamic model: by using an. Damped Oscillation Excel.
From www.researchgate.net
Representative data showing damped oscillations in the vertical Damped Oscillation Excel Small size spreadsheet since there are. A damped sine wave is a smooth, periodic oscillation with an amplitude that approaches zero as time goes to infinity. by using an excel spreadsheet for data analysis and arduino for data acquisition, the experimental apparatus can demonstrate. * overdamped (ζ > 1): Advantages of a dynamic model: a damped harmonic oscillator. Damped Oscillation Excel.
From www.chegg.com
Solved The yposition of a damped oscillator as a function Damped Oscillation Excel * overdamped (ζ > 1): a damped harmonic oscillator can be: Small size spreadsheet since there are. A damped sine wave is a smooth, periodic oscillation with an amplitude that approaches zero as time goes to infinity. the apparatus utilizes an arduino for data acquisition and an excel spreadsheet for data analysis. The system returns (exponentially decays) to. Damped Oscillation Excel.
From www.studypool.com
SOLUTION Damped oscillation Studypool Damped Oscillation Excel A damped sine wave is a smooth, periodic oscillation with an amplitude that approaches zero as time goes to infinity. the apparatus utilizes an arduino for data acquisition and an excel spreadsheet for data analysis. by using an excel spreadsheet for data analysis and arduino for data acquisition, the experimental apparatus can demonstrate. * overdamped (ζ > 1):. Damped Oscillation Excel.
From eduinput.com
Damped OscillationDefinition And Types Damped Oscillation Excel Small size spreadsheet since there are. by using an excel spreadsheet for data analysis and arduino for data acquisition, the experimental apparatus can demonstrate. The system returns (exponentially decays) to equilibrium without. A damped sine wave is a smooth, periodic oscillation with an amplitude that approaches zero as time goes to infinity. Advantages of a dynamic model: * overdamped. Damped Oscillation Excel.
From www.youtube.com
Derivation of displacement in damped oscillation, Time period and Damped Oscillation Excel The system returns (exponentially decays) to equilibrium without. by using an excel spreadsheet for data analysis and arduino for data acquisition, the experimental apparatus can demonstrate. A damped sine wave is a smooth, periodic oscillation with an amplitude that approaches zero as time goes to infinity. a damped harmonic oscillator can be: Small size spreadsheet since there are.. Damped Oscillation Excel.
From www.studypool.com
SOLUTION Damped oscillation Studypool Damped Oscillation Excel by using an excel spreadsheet for data analysis and arduino for data acquisition, the experimental apparatus can demonstrate. Small size spreadsheet since there are. A damped sine wave is a smooth, periodic oscillation with an amplitude that approaches zero as time goes to infinity. Advantages of a dynamic model: the apparatus utilizes an arduino for data acquisition and. Damped Oscillation Excel.
From www.studypool.com
SOLUTION Damped oscillation Studypool Damped Oscillation Excel Advantages of a dynamic model: by using an excel spreadsheet for data analysis and arduino for data acquisition, the experimental apparatus can demonstrate. A damped sine wave is a smooth, periodic oscillation with an amplitude that approaches zero as time goes to infinity. Small size spreadsheet since there are. The system returns (exponentially decays) to equilibrium without. * overdamped. Damped Oscillation Excel.