Financial Analysis Quiz . Are you ready to test your knowledge of financial analysis, corporate finance, and accounting? The financial analyst test evaluates skill in analyzing financial statements and report data to assess businesses' viability and profitability. Use our selection of finance practice exams to. Examining financial data over time helps identify patterns, trends, and changes in a company’s financial. This finance test is designed to help you assess your knowledge on finance concepts and calculations. Study with quizlet and memorize flashcards containing terms like define financial analysis, financial analysis is based on information. In a nutshell, financial study involves the distribution of assets and liabilities (debts) in a period of time. Create an online quiz for free! If you have difficulty answering the following questions, learn more about this topic by reading our financial ratios (explanation). Financial analysis quizzes, questions & answers.
from www.studocu.com
Financial analysis quizzes, questions & answers. The financial analyst test evaluates skill in analyzing financial statements and report data to assess businesses' viability and profitability. If you have difficulty answering the following questions, learn more about this topic by reading our financial ratios (explanation). Create an online quiz for free! Use our selection of finance practice exams to. In a nutshell, financial study involves the distribution of assets and liabilities (debts) in a period of time. Examining financial data over time helps identify patterns, trends, and changes in a company’s financial. Study with quizlet and memorize flashcards containing terms like define financial analysis, financial analysis is based on information. Are you ready to test your knowledge of financial analysis, corporate finance, and accounting? This finance test is designed to help you assess your knowledge on finance concepts and calculations.
Quiz 1 Reviewer ACC102 Financial Accounting and Reporting Quiz No. 1
Financial Analysis Quiz The financial analyst test evaluates skill in analyzing financial statements and report data to assess businesses' viability and profitability. Study with quizlet and memorize flashcards containing terms like define financial analysis, financial analysis is based on information. This finance test is designed to help you assess your knowledge on finance concepts and calculations. Examining financial data over time helps identify patterns, trends, and changes in a company’s financial. Financial analysis quizzes, questions & answers. Create an online quiz for free! Use our selection of finance practice exams to. If you have difficulty answering the following questions, learn more about this topic by reading our financial ratios (explanation). Are you ready to test your knowledge of financial analysis, corporate finance, and accounting? In a nutshell, financial study involves the distribution of assets and liabilities (debts) in a period of time. The financial analyst test evaluates skill in analyzing financial statements and report data to assess businesses' viability and profitability.
From www.scribd.com
Financial Analysis Tests Balance Sheet Bonds (Finance) Financial Analysis Quiz Are you ready to test your knowledge of financial analysis, corporate finance, and accounting? Study with quizlet and memorize flashcards containing terms like define financial analysis, financial analysis is based on information. Examining financial data over time helps identify patterns, trends, and changes in a company’s financial. Create an online quiz for free! Financial analysis quizzes, questions & answers. If. Financial Analysis Quiz.
From www.studocu.com
The Financial Statement Analysistest bank Financial Statement Financial Analysis Quiz This finance test is designed to help you assess your knowledge on finance concepts and calculations. Use our selection of finance practice exams to. Are you ready to test your knowledge of financial analysis, corporate finance, and accounting? Examining financial data over time helps identify patterns, trends, and changes in a company’s financial. Create an online quiz for free! The. Financial Analysis Quiz.
From www.youtube.com
Purpose of Financial Analysis Analysis of Financial Statements, Ratio Financial Analysis Quiz Financial analysis quizzes, questions & answers. Are you ready to test your knowledge of financial analysis, corporate finance, and accounting? This finance test is designed to help you assess your knowledge on finance concepts and calculations. Create an online quiz for free! The financial analyst test evaluates skill in analyzing financial statements and report data to assess businesses' viability and. Financial Analysis Quiz.
From www.stuvia.com
Financial Analysis Quiz AES Latest Update Graded A Stuvia US Financial Analysis Quiz Examining financial data over time helps identify patterns, trends, and changes in a company’s financial. In a nutshell, financial study involves the distribution of assets and liabilities (debts) in a period of time. Study with quizlet and memorize flashcards containing terms like define financial analysis, financial analysis is based on information. Create an online quiz for free! This finance test. Financial Analysis Quiz.
From www.youtube.com
Python and statistics for financial analysis Quiz2 (answer) YouTube Financial Analysis Quiz This finance test is designed to help you assess your knowledge on finance concepts and calculations. In a nutshell, financial study involves the distribution of assets and liabilities (debts) in a period of time. Create an online quiz for free! Use our selection of finance practice exams to. Financial analysis quizzes, questions & answers. Study with quizlet and memorize flashcards. Financial Analysis Quiz.
From pt.slideshare.net
Financial Ratios and Formulas for Analysis Financial Analysis Quiz Study with quizlet and memorize flashcards containing terms like define financial analysis, financial analysis is based on information. Examining financial data over time helps identify patterns, trends, and changes in a company’s financial. The financial analyst test evaluates skill in analyzing financial statements and report data to assess businesses' viability and profitability. If you have difficulty answering the following questions,. Financial Analysis Quiz.
From study.com
Quiz & Worksheet Financial Statement Analysis Financial Analysis Quiz In a nutshell, financial study involves the distribution of assets and liabilities (debts) in a period of time. The financial analyst test evaluates skill in analyzing financial statements and report data to assess businesses' viability and profitability. Study with quizlet and memorize flashcards containing terms like define financial analysis, financial analysis is based on information. Are you ready to test. Financial Analysis Quiz.
From www.scribd.com
FINANCIALANALYSIS_QUIZ41.docx PDF Financial Analysis Quiz Study with quizlet and memorize flashcards containing terms like define financial analysis, financial analysis is based on information. This finance test is designed to help you assess your knowledge on finance concepts and calculations. If you have difficulty answering the following questions, learn more about this topic by reading our financial ratios (explanation). Use our selection of finance practice exams. Financial Analysis Quiz.
From alayneabrahams.com
Comparative Financial Statement Analysis Project Report List Of Assets Financial Analysis Quiz Examining financial data over time helps identify patterns, trends, and changes in a company’s financial. The financial analyst test evaluates skill in analyzing financial statements and report data to assess businesses' viability and profitability. Study with quizlet and memorize flashcards containing terms like define financial analysis, financial analysis is based on information. Create an online quiz for free! Use our. Financial Analysis Quiz.
From www.scribd.com
Financial Analysis Test 2 PDF Depreciation Equity (Finance) Financial Analysis Quiz Are you ready to test your knowledge of financial analysis, corporate finance, and accounting? Financial analysis quizzes, questions & answers. Create an online quiz for free! If you have difficulty answering the following questions, learn more about this topic by reading our financial ratios (explanation). In a nutshell, financial study involves the distribution of assets and liabilities (debts) in a. Financial Analysis Quiz.
From oetab.blogspot.com
UpWork (oDesk) & Elance Financial Analysis Test Question & Answers Financial Analysis Quiz In a nutshell, financial study involves the distribution of assets and liabilities (debts) in a period of time. If you have difficulty answering the following questions, learn more about this topic by reading our financial ratios (explanation). Financial analysis quizzes, questions & answers. Use our selection of finance practice exams to. The financial analyst test evaluates skill in analyzing financial. Financial Analysis Quiz.
From www.studocu.com
Quiz 1 Reviewer ACC102 Financial Accounting and Reporting Quiz No. 1 Financial Analysis Quiz In a nutshell, financial study involves the distribution of assets and liabilities (debts) in a period of time. Financial analysis quizzes, questions & answers. Are you ready to test your knowledge of financial analysis, corporate finance, and accounting? If you have difficulty answering the following questions, learn more about this topic by reading our financial ratios (explanation). Examining financial data. Financial Analysis Quiz.
From happay.com
Financial Analysis What is it, Types, Objectives, Limitations & Tools Financial Analysis Quiz Financial analysis quizzes, questions & answers. Examining financial data over time helps identify patterns, trends, and changes in a company’s financial. In a nutshell, financial study involves the distribution of assets and liabilities (debts) in a period of time. Use our selection of finance practice exams to. Create an online quiz for free! The financial analyst test evaluates skill in. Financial Analysis Quiz.
From iimskills.com
What is Financial Analysis and Forecasting IIM SKILLS Financial Analysis Quiz In a nutshell, financial study involves the distribution of assets and liabilities (debts) in a period of time. The financial analyst test evaluates skill in analyzing financial statements and report data to assess businesses' viability and profitability. Study with quizlet and memorize flashcards containing terms like define financial analysis, financial analysis is based on information. If you have difficulty answering. Financial Analysis Quiz.
From www.studocu.com
Answers TO Coporate Financial Analysis QUIZ Actuarial gains and Financial Analysis Quiz Use our selection of finance practice exams to. Create an online quiz for free! Examining financial data over time helps identify patterns, trends, and changes in a company’s financial. In a nutshell, financial study involves the distribution of assets and liabilities (debts) in a period of time. The financial analyst test evaluates skill in analyzing financial statements and report data. Financial Analysis Quiz.
From www.scribd.com
Financial Analysis Quiz 1 PDF Internal Control Financial Ratio Financial Analysis Quiz Study with quizlet and memorize flashcards containing terms like define financial analysis, financial analysis is based on information. Financial analysis quizzes, questions & answers. Are you ready to test your knowledge of financial analysis, corporate finance, and accounting? The financial analyst test evaluates skill in analyzing financial statements and report data to assess businesses' viability and profitability. In a nutshell,. Financial Analysis Quiz.
From tradingqna.com
Daily Financial Literacy Quiz Creators Trading Q&A by Zerodha All Financial Analysis Quiz Examining financial data over time helps identify patterns, trends, and changes in a company’s financial. Study with quizlet and memorize flashcards containing terms like define financial analysis, financial analysis is based on information. Use our selection of finance practice exams to. Are you ready to test your knowledge of financial analysis, corporate finance, and accounting? Financial analysis quizzes, questions &. Financial Analysis Quiz.
From www.youtube.com
Financial Statement Analysis Quiz Questions and Answers PDF Cost Financial Analysis Quiz Use our selection of finance practice exams to. Examining financial data over time helps identify patterns, trends, and changes in a company’s financial. Create an online quiz for free! If you have difficulty answering the following questions, learn more about this topic by reading our financial ratios (explanation). Financial analysis quizzes, questions & answers. Are you ready to test your. Financial Analysis Quiz.
From www.studypool.com
SOLUTION 1 financial markets quiz introduction to financial markets Financial Analysis Quiz Financial analysis quizzes, questions & answers. In a nutshell, financial study involves the distribution of assets and liabilities (debts) in a period of time. Examining financial data over time helps identify patterns, trends, and changes in a company’s financial. Create an online quiz for free! Are you ready to test your knowledge of financial analysis, corporate finance, and accounting? This. Financial Analysis Quiz.
From www.pinterest.com
Pin on Mcq Financial Analysis Quiz In a nutshell, financial study involves the distribution of assets and liabilities (debts) in a period of time. Use our selection of finance practice exams to. If you have difficulty answering the following questions, learn more about this topic by reading our financial ratios (explanation). Are you ready to test your knowledge of financial analysis, corporate finance, and accounting? Financial. Financial Analysis Quiz.
From fourweekmba.com
Financial Analysis Example For Complete Beginners FourWeekMBA Financial Analysis Quiz Study with quizlet and memorize flashcards containing terms like define financial analysis, financial analysis is based on information. The financial analyst test evaluates skill in analyzing financial statements and report data to assess businesses' viability and profitability. This finance test is designed to help you assess your knowledge on finance concepts and calculations. In a nutshell, financial study involves the. Financial Analysis Quiz.
From assessmenthero.com
Financial Analysis Online Test Skill Assessment Financial Analysis Quiz This finance test is designed to help you assess your knowledge on finance concepts and calculations. The financial analyst test evaluates skill in analyzing financial statements and report data to assess businesses' viability and profitability. Financial analysis quizzes, questions & answers. Study with quizlet and memorize flashcards containing terms like define financial analysis, financial analysis is based on information. If. Financial Analysis Quiz.
From www.studocu.com
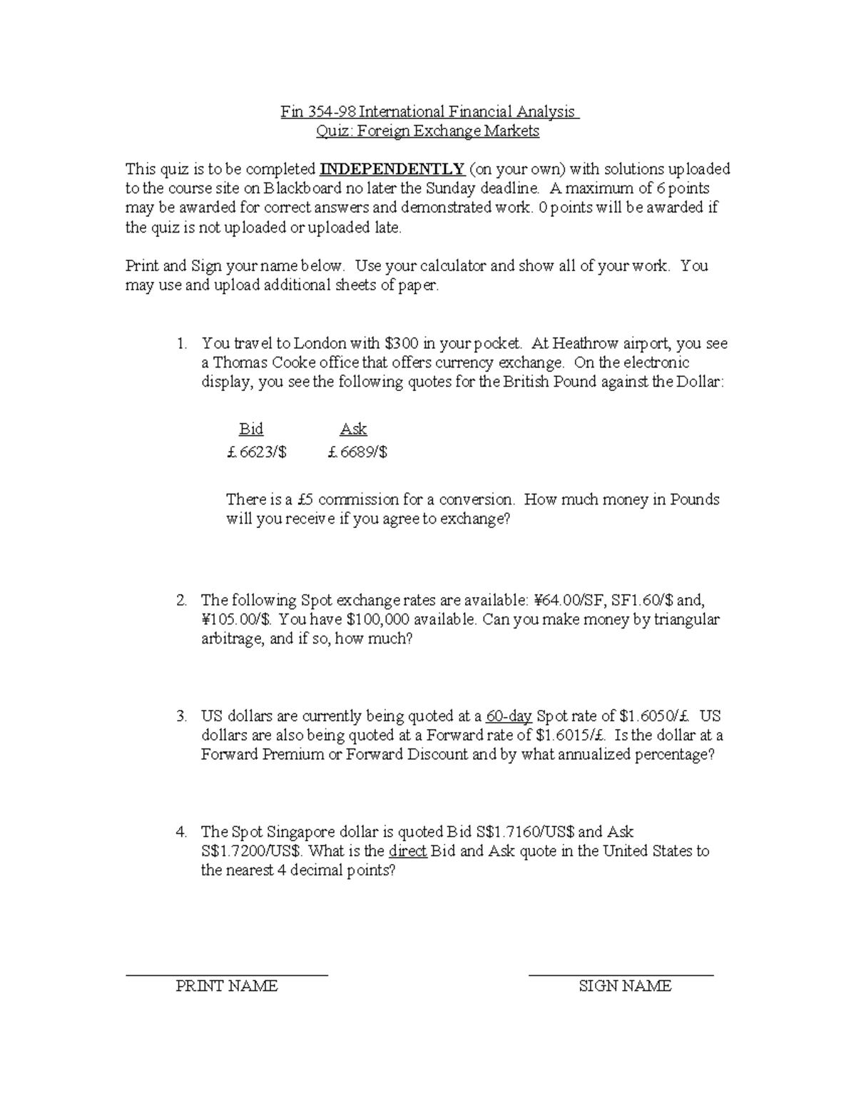
Quiz 1 FX Markets Quiz 1 Fin 35498 International Financial Financial Analysis Quiz Create an online quiz for free! Study with quizlet and memorize flashcards containing terms like define financial analysis, financial analysis is based on information. The financial analyst test evaluates skill in analyzing financial statements and report data to assess businesses' viability and profitability. Financial analysis quizzes, questions & answers. Use our selection of finance practice exams to. Examining financial data. Financial Analysis Quiz.
From www.scribd.com
Financial Accounting Test Financial Analysis Quiz This finance test is designed to help you assess your knowledge on finance concepts and calculations. The financial analyst test evaluates skill in analyzing financial statements and report data to assess businesses' viability and profitability. Are you ready to test your knowledge of financial analysis, corporate finance, and accounting? In a nutshell, financial study involves the distribution of assets and. Financial Analysis Quiz.
From www.studeersnel.nl
Exam Financial Statement Analysis, Questions and Answers rn ANSWERS Financial Analysis Quiz Create an online quiz for free! This finance test is designed to help you assess your knowledge on finance concepts and calculations. Use our selection of finance practice exams to. Examining financial data over time helps identify patterns, trends, and changes in a company’s financial. Study with quizlet and memorize flashcards containing terms like define financial analysis, financial analysis is. Financial Analysis Quiz.
From www.studocu.com
Financial Analysis quiz 1 Agshin Azizov Principles of Finance Quiz Financial Analysis Quiz Examining financial data over time helps identify patterns, trends, and changes in a company’s financial. This finance test is designed to help you assess your knowledge on finance concepts and calculations. Study with quizlet and memorize flashcards containing terms like define financial analysis, financial analysis is based on information. Create an online quiz for free! Financial analysis quizzes, questions &. Financial Analysis Quiz.
From www.template.net
6+ Financial Statement Analysis Templates PDF, XLS Financial Analysis Quiz Create an online quiz for free! Examining financial data over time helps identify patterns, trends, and changes in a company’s financial. Are you ready to test your knowledge of financial analysis, corporate finance, and accounting? Study with quizlet and memorize flashcards containing terms like define financial analysis, financial analysis is based on information. If you have difficulty answering the following. Financial Analysis Quiz.
From studylib.net
Financial Statement Analysis Quiz 1 Financial Analysis Quiz Study with quizlet and memorize flashcards containing terms like define financial analysis, financial analysis is based on information. Create an online quiz for free! Examining financial data over time helps identify patterns, trends, and changes in a company’s financial. In a nutshell, financial study involves the distribution of assets and liabilities (debts) in a period of time. Use our selection. Financial Analysis Quiz.
From www.chegg.com
Financial Statement Analysis Test and Quiz Combined Financial Analysis Quiz Create an online quiz for free! Financial analysis quizzes, questions & answers. Study with quizlet and memorize flashcards containing terms like define financial analysis, financial analysis is based on information. This finance test is designed to help you assess your knowledge on finance concepts and calculations. Use our selection of finance practice exams to. Are you ready to test your. Financial Analysis Quiz.
From www.studocu.com
Financial analysis TEST A 1. Economic analysis consist of a Financial Analysis Quiz This finance test is designed to help you assess your knowledge on finance concepts and calculations. The financial analyst test evaluates skill in analyzing financial statements and report data to assess businesses' viability and profitability. Create an online quiz for free! Examining financial data over time helps identify patterns, trends, and changes in a company’s financial. If you have difficulty. Financial Analysis Quiz.
From www.scribd.com
Financial Statement Analysis Quiz Financial Analysis Quiz The financial analyst test evaluates skill in analyzing financial statements and report data to assess businesses' viability and profitability. Are you ready to test your knowledge of financial analysis, corporate finance, and accounting? Examining financial data over time helps identify patterns, trends, and changes in a company’s financial. If you have difficulty answering the following questions, learn more about this. Financial Analysis Quiz.
From www.studypool.com
SOLUTION Coursera specilization foundation of management accounting Financial Analysis Quiz In a nutshell, financial study involves the distribution of assets and liabilities (debts) in a period of time. The financial analyst test evaluates skill in analyzing financial statements and report data to assess businesses' viability and profitability. Financial analysis quizzes, questions & answers. Examining financial data over time helps identify patterns, trends, and changes in a company’s financial. Study with. Financial Analysis Quiz.
From www.studocu.com
Corporate finance quiz 1 CORPORATE FINANCE QUIZ 1 QUESTION 1 Given Financial Analysis Quiz In a nutshell, financial study involves the distribution of assets and liabilities (debts) in a period of time. Use our selection of finance practice exams to. Financial analysis quizzes, questions & answers. Study with quizlet and memorize flashcards containing terms like define financial analysis, financial analysis is based on information. Are you ready to test your knowledge of financial analysis,. Financial Analysis Quiz.
From testbook.com
Financial Statement Analysis MCQ [Free PDF] Objective Question Answer Financial Analysis Quiz Financial analysis quizzes, questions & answers. Create an online quiz for free! In a nutshell, financial study involves the distribution of assets and liabilities (debts) in a period of time. The financial analyst test evaluates skill in analyzing financial statements and report data to assess businesses' viability and profitability. This finance test is designed to help you assess your knowledge. Financial Analysis Quiz.
From www.studocu.com
Financial quiz Financial quiz Sample Test for Financial Accounting Financial Analysis Quiz This finance test is designed to help you assess your knowledge on finance concepts and calculations. Use our selection of finance practice exams to. Examining financial data over time helps identify patterns, trends, and changes in a company’s financial. Are you ready to test your knowledge of financial analysis, corporate finance, and accounting? Financial analysis quizzes, questions & answers. The. Financial Analysis Quiz.