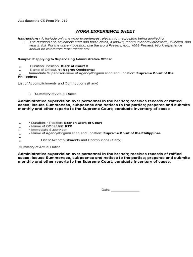
Cs Form Work Experience Sheet . This document provides instructions and a sample for completing a work experience sheet when applying for a position. Include only the work experiences relevant to the position being applied for. Download the editable file here. The sample lists the applicant's two most recent. 5 certification that there is no applicant who meets all the qualification requirements. Include only the work experiences relevant to the position being applied to. Guide to filling up the personal. Work experience sheet is one of the attachment to the personal data sheet (cs form no.
from www.studocu.com
Include only the work experiences relevant to the position being applied to. 5 certification that there is no applicant who meets all the qualification requirements. Include only the work experiences relevant to the position being applied for. Download the editable file here. Guide to filling up the personal. This document provides instructions and a sample for completing a work experience sheet when applying for a position. The sample lists the applicant's two most recent. Work experience sheet is one of the attachment to the personal data sheet (cs form no.
CS Form No. 212 Attachment Work Experience Sheet WORK EXPERIENCE
Cs Form Work Experience Sheet This document provides instructions and a sample for completing a work experience sheet when applying for a position. 5 certification that there is no applicant who meets all the qualification requirements. Guide to filling up the personal. Include only the work experiences relevant to the position being applied to. This document provides instructions and a sample for completing a work experience sheet when applying for a position. Work experience sheet is one of the attachment to the personal data sheet (cs form no. The sample lists the applicant's two most recent. Download the editable file here. Include only the work experiences relevant to the position being applied for.
From studylib.net
CS Form No 212 Work Experience Sheet Cs Form Work Experience Sheet Download the editable file here. The sample lists the applicant's two most recent. Include only the work experiences relevant to the position being applied to. 5 certification that there is no applicant who meets all the qualification requirements. Guide to filling up the personal. Include only the work experiences relevant to the position being applied for. Work experience sheet is. Cs Form Work Experience Sheet.
From www.vrogue.co
Cs Form No 212 Attachment Work Experience Sheet Work vrogue.co Cs Form Work Experience Sheet The sample lists the applicant's two most recent. Include only the work experiences relevant to the position being applied for. This document provides instructions and a sample for completing a work experience sheet when applying for a position. Work experience sheet is one of the attachment to the personal data sheet (cs form no. Guide to filling up the personal.. Cs Form Work Experience Sheet.
From www.scribd.com
CS Form No. 212 Attachment Work Experience Sheet PDF Cs Form Work Experience Sheet Work experience sheet is one of the attachment to the personal data sheet (cs form no. Guide to filling up the personal. Download the editable file here. This document provides instructions and a sample for completing a work experience sheet when applying for a position. Include only the work experiences relevant to the position being applied for. The sample lists. Cs Form Work Experience Sheet.
From newstogov.com
Personal Data Sheet (PDS form) CSC Form 212 Revised 2017 Newstogov Cs Form Work Experience Sheet Include only the work experiences relevant to the position being applied to. The sample lists the applicant's two most recent. Download the editable file here. Work experience sheet is one of the attachment to the personal data sheet (cs form no. Guide to filling up the personal. 5 certification that there is no applicant who meets all the qualification requirements.. Cs Form Work Experience Sheet.
From www.scribd.com
Work Experience Sheet CS Form No. 212 PDF Cs Form Work Experience Sheet Include only the work experiences relevant to the position being applied to. The sample lists the applicant's two most recent. Download the editable file here. 5 certification that there is no applicant who meets all the qualification requirements. Guide to filling up the personal. Include only the work experiences relevant to the position being applied for. Work experience sheet is. Cs Form Work Experience Sheet.
From www.studocu.com
Work Experience Sheet Attachment to CS Form 212 WORK EXPERIENCE SHEET Cs Form Work Experience Sheet Download the editable file here. This document provides instructions and a sample for completing a work experience sheet when applying for a position. 5 certification that there is no applicant who meets all the qualification requirements. Guide to filling up the personal. Include only the work experiences relevant to the position being applied to. Include only the work experiences relevant. Cs Form Work Experience Sheet.
From www.scribd.com
Cs Form No. 212 Attachment Work Experience Sheet PDF Cs Form Work Experience Sheet The sample lists the applicant's two most recent. This document provides instructions and a sample for completing a work experience sheet when applying for a position. Work experience sheet is one of the attachment to the personal data sheet (cs form no. Guide to filling up the personal. 5 certification that there is no applicant who meets all the qualification. Cs Form Work Experience Sheet.
From www.scribd.com
Work Experience Sheet Attachment To CS Form No. 212 PDF Cs Form Work Experience Sheet Work experience sheet is one of the attachment to the personal data sheet (cs form no. Include only the work experiences relevant to the position being applied for. Include only the work experiences relevant to the position being applied to. 5 certification that there is no applicant who meets all the qualification requirements. The sample lists the applicant's two most. Cs Form Work Experience Sheet.
From www.studocu.com
WORK Experience Sheet WORK EXPERIENCE SHEET Instructions 1. Include Cs Form Work Experience Sheet This document provides instructions and a sample for completing a work experience sheet when applying for a position. 5 certification that there is no applicant who meets all the qualification requirements. The sample lists the applicant's two most recent. Include only the work experiences relevant to the position being applied for. Guide to filling up the personal. Work experience sheet. Cs Form Work Experience Sheet.
From www.scribd.com
CS Form No. 212 Attachment Work Experience Sheet PDF Cs Form Work Experience Sheet Guide to filling up the personal. Download the editable file here. Include only the work experiences relevant to the position being applied for. Include only the work experiences relevant to the position being applied to. This document provides instructions and a sample for completing a work experience sheet when applying for a position. The sample lists the applicant's two most. Cs Form Work Experience Sheet.
From www.vrogue.co
Cs Form No 212 Attachment Work Experience Sheet Educa vrogue.co Cs Form Work Experience Sheet Work experience sheet is one of the attachment to the personal data sheet (cs form no. Download the editable file here. This document provides instructions and a sample for completing a work experience sheet when applying for a position. 5 certification that there is no applicant who meets all the qualification requirements. Include only the work experiences relevant to the. Cs Form Work Experience Sheet.
From www.scribd.com
CS Form No 212 Work Experience Sheet For Print PDF Cs Form Work Experience Sheet Include only the work experiences relevant to the position being applied for. Work experience sheet is one of the attachment to the personal data sheet (cs form no. Include only the work experiences relevant to the position being applied to. 5 certification that there is no applicant who meets all the qualification requirements. Guide to filling up the personal. The. Cs Form Work Experience Sheet.
From www.scribd.com
CS Form No. 212 Attachment Work Experience Sheet_In_CSC_180101.docx Cs Form Work Experience Sheet This document provides instructions and a sample for completing a work experience sheet when applying for a position. Include only the work experiences relevant to the position being applied for. Download the editable file here. Include only the work experiences relevant to the position being applied to. Work experience sheet is one of the attachment to the personal data sheet. Cs Form Work Experience Sheet.
From www.scribd.com
CS Form No. 212 Attachment Work Experience Sheet.docx Human Cs Form Work Experience Sheet Download the editable file here. Guide to filling up the personal. Include only the work experiences relevant to the position being applied to. Include only the work experiences relevant to the position being applied for. Work experience sheet is one of the attachment to the personal data sheet (cs form no. 5 certification that there is no applicant who meets. Cs Form Work Experience Sheet.
From www.scribd.com
ANNEX C CS Form No212 Attachment Work Experience Sheet PDF Cs Form Work Experience Sheet Include only the work experiences relevant to the position being applied for. This document provides instructions and a sample for completing a work experience sheet when applying for a position. Download the editable file here. Work experience sheet is one of the attachment to the personal data sheet (cs form no. Include only the work experiences relevant to the position. Cs Form Work Experience Sheet.
From www.scribd.com
CS Form No. 212 Attachment Work Experience Sheet Blank PDF Cs Form Work Experience Sheet The sample lists the applicant's two most recent. This document provides instructions and a sample for completing a work experience sheet when applying for a position. Download the editable file here. Work experience sheet is one of the attachment to the personal data sheet (cs form no. 5 certification that there is no applicant who meets all the qualification requirements.. Cs Form Work Experience Sheet.
From www.studocu.com
CS Form No. 212 Attachment Work Experience Sheet WORK EXPERIENCE Cs Form Work Experience Sheet Download the editable file here. Guide to filling up the personal. The sample lists the applicant's two most recent. Work experience sheet is one of the attachment to the personal data sheet (cs form no. Include only the work experiences relevant to the position being applied to. 5 certification that there is no applicant who meets all the qualification requirements.. Cs Form Work Experience Sheet.
From www.scribd.com
CS Form No. 212 Attachment Work Experience Sheet Docx Wilson PDF Cs Form Work Experience Sheet 5 certification that there is no applicant who meets all the qualification requirements. Download the editable file here. Include only the work experiences relevant to the position being applied for. Include only the work experiences relevant to the position being applied to. The sample lists the applicant's two most recent. Guide to filling up the personal. This document provides instructions. Cs Form Work Experience Sheet.
From studylib.net
CS Form No. 212 Attachment Work Experience Sheet Cs Form Work Experience Sheet Include only the work experiences relevant to the position being applied to. Work experience sheet is one of the attachment to the personal data sheet (cs form no. 5 certification that there is no applicant who meets all the qualification requirements. Download the editable file here. Guide to filling up the personal. Include only the work experiences relevant to the. Cs Form Work Experience Sheet.
From www.studocu.com
CS Form No. 212 Attachment Work Experience Sheet WORK EXPERIENCE Cs Form Work Experience Sheet The sample lists the applicant's two most recent. Guide to filling up the personal. Include only the work experiences relevant to the position being applied for. 5 certification that there is no applicant who meets all the qualification requirements. This document provides instructions and a sample for completing a work experience sheet when applying for a position. Work experience sheet. Cs Form Work Experience Sheet.
From www.studocu.com
Csformno.212attachmentworkexperiencesheet WORK EXPERIENCE Cs Form Work Experience Sheet Work experience sheet is one of the attachment to the personal data sheet (cs form no. Download the editable file here. The sample lists the applicant's two most recent. Include only the work experiences relevant to the position being applied to. Guide to filling up the personal. This document provides instructions and a sample for completing a work experience sheet. Cs Form Work Experience Sheet.
From www.studocu.com
CS Form No. 212 Attachment Work Experience Sheet WORK EXPERIENCE Cs Form Work Experience Sheet Include only the work experiences relevant to the position being applied to. This document provides instructions and a sample for completing a work experience sheet when applying for a position. Guide to filling up the personal. Include only the work experiences relevant to the position being applied for. Download the editable file here. 5 certification that there is no applicant. Cs Form Work Experience Sheet.
From www.scribd.com
Work Experience Sheet CS Form No. 21223 PDF Cs Form Work Experience Sheet Include only the work experiences relevant to the position being applied to. Work experience sheet is one of the attachment to the personal data sheet (cs form no. Include only the work experiences relevant to the position being applied for. Download the editable file here. The sample lists the applicant's two most recent. Guide to filling up the personal. 5. Cs Form Work Experience Sheet.
From www.studocu.com
Csformno.212attachmentworkexperiencesheet 1 WORK EXPERIENCE Cs Form Work Experience Sheet The sample lists the applicant's two most recent. This document provides instructions and a sample for completing a work experience sheet when applying for a position. Include only the work experiences relevant to the position being applied to. Work experience sheet is one of the attachment to the personal data sheet (cs form no. 5 certification that there is no. Cs Form Work Experience Sheet.
From studyquadrisect.z4.web.core.windows.net
Work Experience Sheet Cs Form No 212 Cs Form Work Experience Sheet 5 certification that there is no applicant who meets all the qualification requirements. This document provides instructions and a sample for completing a work experience sheet when applying for a position. Include only the work experiences relevant to the position being applied to. Include only the work experiences relevant to the position being applied for. Work experience sheet is one. Cs Form Work Experience Sheet.
From www.studocu.com
CS Form No. 212 Attachment Work Experience Sheet WORK EXPERIENCE Cs Form Work Experience Sheet Work experience sheet is one of the attachment to the personal data sheet (cs form no. 5 certification that there is no applicant who meets all the qualification requirements. Include only the work experiences relevant to the position being applied to. This document provides instructions and a sample for completing a work experience sheet when applying for a position. Download. Cs Form Work Experience Sheet.
From www.scribd.com
Work Experience Sheet CS Form No. 212 PDF Cs Form Work Experience Sheet Download the editable file here. This document provides instructions and a sample for completing a work experience sheet when applying for a position. The sample lists the applicant's two most recent. Guide to filling up the personal. Include only the work experiences relevant to the position being applied to. 5 certification that there is no applicant who meets all the. Cs Form Work Experience Sheet.
From www.pdffiller.com
Csc Form 212 Work Experience Sheet Editable Fill Online, Printable Cs Form Work Experience Sheet Include only the work experiences relevant to the position being applied for. Guide to filling up the personal. 5 certification that there is no applicant who meets all the qualification requirements. The sample lists the applicant's two most recent. Work experience sheet is one of the attachment to the personal data sheet (cs form no. Download the editable file here.. Cs Form Work Experience Sheet.
From www.scribd.com
Work Experience Sheet CS Form No. 212 PDF Classroom Management Cs Form Work Experience Sheet Download the editable file here. Work experience sheet is one of the attachment to the personal data sheet (cs form no. Guide to filling up the personal. Include only the work experiences relevant to the position being applied to. This document provides instructions and a sample for completing a work experience sheet when applying for a position. The sample lists. Cs Form Work Experience Sheet.
From www.scribd.com
CS Form No. 212 Attachment Work Experience Sheet PDF Cs Form Work Experience Sheet Include only the work experiences relevant to the position being applied to. Include only the work experiences relevant to the position being applied for. Guide to filling up the personal. This document provides instructions and a sample for completing a work experience sheet when applying for a position. Work experience sheet is one of the attachment to the personal data. Cs Form Work Experience Sheet.
From www.scribd.com
WORK EXPERIENCE SHEET (CS Form No. 212) PDF PDF Cs Form Work Experience Sheet Download the editable file here. Include only the work experiences relevant to the position being applied to. Include only the work experiences relevant to the position being applied for. This document provides instructions and a sample for completing a work experience sheet when applying for a position. Guide to filling up the personal. 5 certification that there is no applicant. Cs Form Work Experience Sheet.
From www.studocu.com
CSFormNo.212AttachmentWorkExperienceSheet WORK EXPERIENCE Cs Form Work Experience Sheet Download the editable file here. Include only the work experiences relevant to the position being applied for. Guide to filling up the personal. The sample lists the applicant's two most recent. This document provides instructions and a sample for completing a work experience sheet when applying for a position. Include only the work experiences relevant to the position being applied. Cs Form Work Experience Sheet.
From www.vrogue.co
Cs Form No 212 Attachment Work Experience Sheet Work vrogue.co Cs Form Work Experience Sheet Include only the work experiences relevant to the position being applied to. Work experience sheet is one of the attachment to the personal data sheet (cs form no. Guide to filling up the personal. This document provides instructions and a sample for completing a work experience sheet when applying for a position. 5 certification that there is no applicant who. Cs Form Work Experience Sheet.
From www.studocu.com
CS Form No. 212 Attachment Work Experience Sheet WORK EXPERIENCE Cs Form Work Experience Sheet The sample lists the applicant's two most recent. Include only the work experiences relevant to the position being applied for. Include only the work experiences relevant to the position being applied to. Download the editable file here. 5 certification that there is no applicant who meets all the qualification requirements. This document provides instructions and a sample for completing a. Cs Form Work Experience Sheet.
From www.studocu.com
CS Form No 212 Work Experience Sheet Civil Engineering StuDocu Cs Form Work Experience Sheet 5 certification that there is no applicant who meets all the qualification requirements. Guide to filling up the personal. Work experience sheet is one of the attachment to the personal data sheet (cs form no. Include only the work experiences relevant to the position being applied for. Include only the work experiences relevant to the position being applied to. The. Cs Form Work Experience Sheet.