Advanced Routing And Switching Interview Questions . It ensures that all the dynamically locked. prepare for your ccna routing and switching interview with our comprehensive list of 50 advanced. in this article, you can go through the set of ccnp interview questions most frequently asked in the interview panel. Prepare for your network engineering interview with this guide on routing protocols, featuring common. Fundamental switching and routing interview questions to expect. table of contents. Dive into our curated list of network engineer interview questions complete with expert. Port security prevents unknown devices from forwarding packets, thus securing the network.
from www.scribd.com
in this article, you can go through the set of ccnp interview questions most frequently asked in the interview panel. prepare for your ccna routing and switching interview with our comprehensive list of 50 advanced. Prepare for your network engineering interview with this guide on routing protocols, featuring common. It ensures that all the dynamically locked. Port security prevents unknown devices from forwarding packets, thus securing the network. Fundamental switching and routing interview questions to expect. table of contents. Dive into our curated list of network engineer interview questions complete with expert.
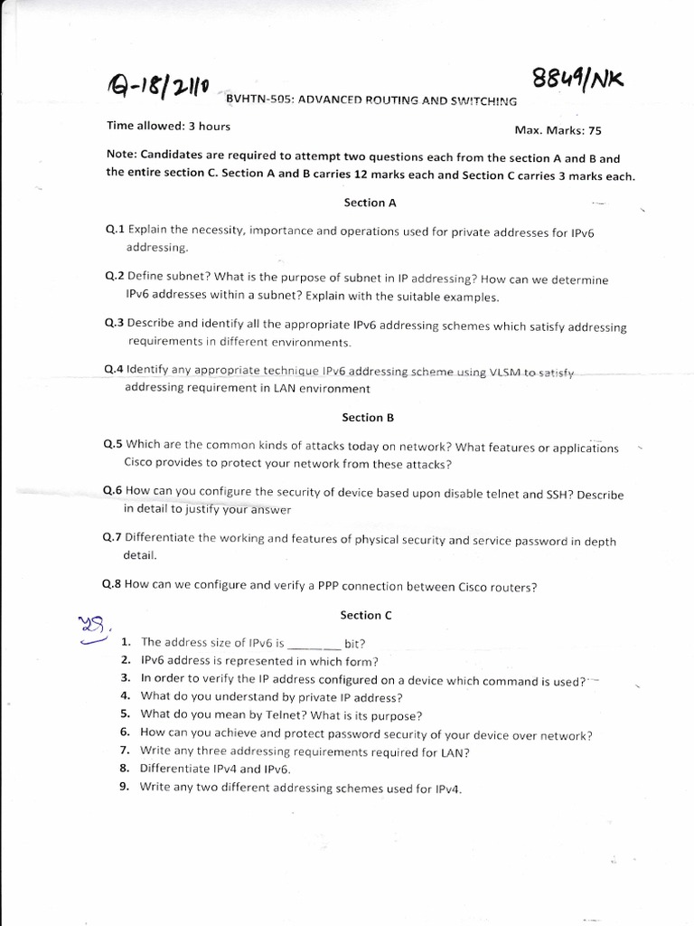
Advanced Routing and Switching Exam Section A through C Questions on IPv6 Addressing, Network
Advanced Routing And Switching Interview Questions Port security prevents unknown devices from forwarding packets, thus securing the network. Port security prevents unknown devices from forwarding packets, thus securing the network. table of contents. Dive into our curated list of network engineer interview questions complete with expert. It ensures that all the dynamically locked. prepare for your ccna routing and switching interview with our comprehensive list of 50 advanced. Fundamental switching and routing interview questions to expect. in this article, you can go through the set of ccnp interview questions most frequently asked in the interview panel. Prepare for your network engineering interview with this guide on routing protocols, featuring common.
From www.scribd.com
Routing Basic Interview Questions and Answers PDF Routing Network Architecture Advanced Routing And Switching Interview Questions table of contents. Fundamental switching and routing interview questions to expect. Prepare for your network engineering interview with this guide on routing protocols, featuring common. prepare for your ccna routing and switching interview with our comprehensive list of 50 advanced. Port security prevents unknown devices from forwarding packets, thus securing the network. in this article, you can. Advanced Routing And Switching Interview Questions.
From dokumen.tips
(PDF) VLSI Interview Questions_ Routing DOKUMEN.TIPS Advanced Routing And Switching Interview Questions It ensures that all the dynamically locked. Fundamental switching and routing interview questions to expect. Prepare for your network engineering interview with this guide on routing protocols, featuring common. Port security prevents unknown devices from forwarding packets, thus securing the network. in this article, you can go through the set of ccnp interview questions most frequently asked in the. Advanced Routing And Switching Interview Questions.
From www.studypool.com
SOLUTION Advanced Routing And Switching Studypool Advanced Routing And Switching Interview Questions Fundamental switching and routing interview questions to expect. table of contents. It ensures that all the dynamically locked. Dive into our curated list of network engineer interview questions complete with expert. Port security prevents unknown devices from forwarding packets, thus securing the network. prepare for your ccna routing and switching interview with our comprehensive list of 50 advanced.. Advanced Routing And Switching Interview Questions.
From www.pinterest.com
CCNA 2 Routing & Switching Essentials Practice Skills Assessment Part I PT Exam Answers CCNA Advanced Routing And Switching Interview Questions in this article, you can go through the set of ccnp interview questions most frequently asked in the interview panel. table of contents. Dive into our curated list of network engineer interview questions complete with expert. It ensures that all the dynamically locked. prepare for your ccna routing and switching interview with our comprehensive list of 50. Advanced Routing And Switching Interview Questions.
From ipwithease.com
Routing Interview Questions & Answers IP With Ease Advanced Routing And Switching Interview Questions Fundamental switching and routing interview questions to expect. Dive into our curated list of network engineer interview questions complete with expert. Port security prevents unknown devices from forwarding packets, thus securing the network. prepare for your ccna routing and switching interview with our comprehensive list of 50 advanced. in this article, you can go through the set of. Advanced Routing And Switching Interview Questions.
From www.ccnaacademy.com
Routing Information Protocol (RIP) Interview Questions Advanced Routing And Switching Interview Questions Dive into our curated list of network engineer interview questions complete with expert. Prepare for your network engineering interview with this guide on routing protocols, featuring common. table of contents. in this article, you can go through the set of ccnp interview questions most frequently asked in the interview panel. It ensures that all the dynamically locked. Port. Advanced Routing And Switching Interview Questions.
From www.youtube.com
IP ROUTING/Static & Dynamic routing protocols/Interview questions and answers about IP routing Advanced Routing And Switching Interview Questions in this article, you can go through the set of ccnp interview questions most frequently asked in the interview panel. Dive into our curated list of network engineer interview questions complete with expert. table of contents. Port security prevents unknown devices from forwarding packets, thus securing the network. prepare for your ccna routing and switching interview with. Advanced Routing And Switching Interview Questions.
From www.calameo.com
Calaméo 1001 CCNA Routing And Switching Practice Questions For Dummies Advanced Routing And Switching Interview Questions Port security prevents unknown devices from forwarding packets, thus securing the network. table of contents. It ensures that all the dynamically locked. Fundamental switching and routing interview questions to expect. in this article, you can go through the set of ccnp interview questions most frequently asked in the interview panel. Prepare for your network engineering interview with this. Advanced Routing And Switching Interview Questions.
From www.scribd.com
Advanced Routing Switching Coursework PDF Advanced Routing And Switching Interview Questions Dive into our curated list of network engineer interview questions complete with expert. Prepare for your network engineering interview with this guide on routing protocols, featuring common. prepare for your ccna routing and switching interview with our comprehensive list of 50 advanced. table of contents. Port security prevents unknown devices from forwarding packets, thus securing the network. . Advanced Routing And Switching Interview Questions.
From soft.connect4techs.com
Troubleshooting Core Routing and Switching Issues Connect 4 Techs Advanced Routing And Switching Interview Questions Fundamental switching and routing interview questions to expect. It ensures that all the dynamically locked. Dive into our curated list of network engineer interview questions complete with expert. prepare for your ccna routing and switching interview with our comprehensive list of 50 advanced. Prepare for your network engineering interview with this guide on routing protocols, featuring common. in. Advanced Routing And Switching Interview Questions.
From www.scribd.com
Advanced Routing and Switching Exam Section A through C Questions on IPv6 Addressing, Network Advanced Routing And Switching Interview Questions Dive into our curated list of network engineer interview questions complete with expert. Prepare for your network engineering interview with this guide on routing protocols, featuring common. Port security prevents unknown devices from forwarding packets, thus securing the network. prepare for your ccna routing and switching interview with our comprehensive list of 50 advanced. in this article, you. Advanced Routing And Switching Interview Questions.
From www.slideserve.com
PPT H12831_V1.0 Routing & Switching Technology V1.0 PowerPoint Advanced Routing And Switching Interview Questions Fundamental switching and routing interview questions to expect. in this article, you can go through the set of ccnp interview questions most frequently asked in the interview panel. It ensures that all the dynamically locked. Prepare for your network engineering interview with this guide on routing protocols, featuring common. Dive into our curated list of network engineer interview questions. Advanced Routing And Switching Interview Questions.
From ipwithease.com
Routing Interview Questions & Answers IP With Ease Advanced Routing And Switching Interview Questions in this article, you can go through the set of ccnp interview questions most frequently asked in the interview panel. Port security prevents unknown devices from forwarding packets, thus securing the network. It ensures that all the dynamically locked. Prepare for your network engineering interview with this guide on routing protocols, featuring common. prepare for your ccna routing. Advanced Routing And Switching Interview Questions.
From desklib.com
COIT20261 Network Routing and Switching Assignment1 Advanced Routing And Switching Interview Questions It ensures that all the dynamically locked. Dive into our curated list of network engineer interview questions complete with expert. Fundamental switching and routing interview questions to expect. Port security prevents unknown devices from forwarding packets, thus securing the network. in this article, you can go through the set of ccnp interview questions most frequently asked in the interview. Advanced Routing And Switching Interview Questions.
From www.youtube.com
Top 30 CCNA Routing and Switching Questions types of questions asked in every cisco ccna exam Advanced Routing And Switching Interview Questions Dive into our curated list of network engineer interview questions complete with expert. Port security prevents unknown devices from forwarding packets, thus securing the network. It ensures that all the dynamically locked. prepare for your ccna routing and switching interview with our comprehensive list of 50 advanced. Prepare for your network engineering interview with this guide on routing protocols,. Advanced Routing And Switching Interview Questions.
From www.scribd.com
InstaPDF in Ccna Routing and Switching Interview Questions Answers 100 PDF Advanced Routing And Switching Interview Questions Port security prevents unknown devices from forwarding packets, thus securing the network. table of contents. in this article, you can go through the set of ccnp interview questions most frequently asked in the interview panel. Dive into our curated list of network engineer interview questions complete with expert. It ensures that all the dynamically locked. Fundamental switching and. Advanced Routing And Switching Interview Questions.
From www.studocu.com
Top 70 CCNA Interview Questions Routing is done by a device called routers, which are network Advanced Routing And Switching Interview Questions It ensures that all the dynamically locked. Fundamental switching and routing interview questions to expect. prepare for your ccna routing and switching interview with our comprehensive list of 50 advanced. Port security prevents unknown devices from forwarding packets, thus securing the network. Prepare for your network engineering interview with this guide on routing protocols, featuring common. table of. Advanced Routing And Switching Interview Questions.
From ipwithease.com
SWITCHING TOP 50 INTERVIEW QUESTIONS IP With Ease Advanced Routing And Switching Interview Questions prepare for your ccna routing and switching interview with our comprehensive list of 50 advanced. Port security prevents unknown devices from forwarding packets, thus securing the network. Dive into our curated list of network engineer interview questions complete with expert. Prepare for your network engineering interview with this guide on routing protocols, featuring common. Fundamental switching and routing interview. Advanced Routing And Switching Interview Questions.
From soft.connect4techs.com
Troubleshooting Core Routing and Switching Issues Connect 4 Techs Advanced Routing And Switching Interview Questions prepare for your ccna routing and switching interview with our comprehensive list of 50 advanced. in this article, you can go through the set of ccnp interview questions most frequently asked in the interview panel. table of contents. Prepare for your network engineering interview with this guide on routing protocols, featuring common. Port security prevents unknown devices. Advanced Routing And Switching Interview Questions.
From www.sevenmentor.com
Routing Protocol Interview Questions SevenMentor Advanced Routing And Switching Interview Questions Port security prevents unknown devices from forwarding packets, thus securing the network. Fundamental switching and routing interview questions to expect. Prepare for your network engineering interview with this guide on routing protocols, featuring common. It ensures that all the dynamically locked. Dive into our curated list of network engineer interview questions complete with expert. prepare for your ccna routing. Advanced Routing And Switching Interview Questions.
From soft.connect4techs.com
Troubleshooting Core Routing and Switching Issues Connect 4 Techs Advanced Routing And Switching Interview Questions Dive into our curated list of network engineer interview questions complete with expert. table of contents. in this article, you can go through the set of ccnp interview questions most frequently asked in the interview panel. prepare for your ccna routing and switching interview with our comprehensive list of 50 advanced. It ensures that all the dynamically. Advanced Routing And Switching Interview Questions.
From soft.connect4techs.com
Troubleshooting Core Routing and Switching Issues Connect 4 Techs Advanced Routing And Switching Interview Questions table of contents. Dive into our curated list of network engineer interview questions complete with expert. Fundamental switching and routing interview questions to expect. in this article, you can go through the set of ccnp interview questions most frequently asked in the interview panel. Prepare for your network engineering interview with this guide on routing protocols, featuring common.. Advanced Routing And Switching Interview Questions.
From www.scribd.com
Advanced Routing & Switching CA2 PDF Advanced Routing And Switching Interview Questions table of contents. It ensures that all the dynamically locked. in this article, you can go through the set of ccnp interview questions most frequently asked in the interview panel. Prepare for your network engineering interview with this guide on routing protocols, featuring common. Port security prevents unknown devices from forwarding packets, thus securing the network. Fundamental switching. Advanced Routing And Switching Interview Questions.
From www.youtube.com
Switching Interview Questions1 YouTube Advanced Routing And Switching Interview Questions Prepare for your network engineering interview with this guide on routing protocols, featuring common. Port security prevents unknown devices from forwarding packets, thus securing the network. prepare for your ccna routing and switching interview with our comprehensive list of 50 advanced. in this article, you can go through the set of ccnp interview questions most frequently asked in. Advanced Routing And Switching Interview Questions.
From www.mockinterviewz.com
35+ Routing Interview Questions Best Explained Advanced Routing And Switching Interview Questions Port security prevents unknown devices from forwarding packets, thus securing the network. prepare for your ccna routing and switching interview with our comprehensive list of 50 advanced. Fundamental switching and routing interview questions to expect. Prepare for your network engineering interview with this guide on routing protocols, featuring common. It ensures that all the dynamically locked. in this. Advanced Routing And Switching Interview Questions.
From siteforinfotech.com
Top 20 Interview Questions On Network Switching Methods InfoTechSite Advanced Routing And Switching Interview Questions Port security prevents unknown devices from forwarding packets, thus securing the network. Dive into our curated list of network engineer interview questions complete with expert. Fundamental switching and routing interview questions to expect. Prepare for your network engineering interview with this guide on routing protocols, featuring common. table of contents. in this article, you can go through the. Advanced Routing And Switching Interview Questions.
From www.youtube.com
Routing and Switching Essentials CCNA2 Questions and Answers YouTube Advanced Routing And Switching Interview Questions It ensures that all the dynamically locked. Dive into our curated list of network engineer interview questions complete with expert. in this article, you can go through the set of ccnp interview questions most frequently asked in the interview panel. prepare for your ccna routing and switching interview with our comprehensive list of 50 advanced. Port security prevents. Advanced Routing And Switching Interview Questions.
From ipwithease.com
Dynamic Routing Interview Questions & Answers Combo IP With Ease Advanced Routing And Switching Interview Questions prepare for your ccna routing and switching interview with our comprehensive list of 50 advanced. Prepare for your network engineering interview with this guide on routing protocols, featuring common. table of contents. It ensures that all the dynamically locked. Dive into our curated list of network engineer interview questions complete with expert. Port security prevents unknown devices from. Advanced Routing And Switching Interview Questions.
From www.scribd.com
BGP Interview Questions and Answers Basic and Advanced Levels PDF Routing Router Advanced Routing And Switching Interview Questions Prepare for your network engineering interview with this guide on routing protocols, featuring common. Dive into our curated list of network engineer interview questions complete with expert. Fundamental switching and routing interview questions to expect. table of contents. It ensures that all the dynamically locked. in this article, you can go through the set of ccnp interview questions. Advanced Routing And Switching Interview Questions.
From www.youtube.com
Juniper Service Provider Routing and Switching Specialist Interview Questions YouTube Advanced Routing And Switching Interview Questions Dive into our curated list of network engineer interview questions complete with expert. It ensures that all the dynamically locked. Fundamental switching and routing interview questions to expect. Prepare for your network engineering interview with this guide on routing protocols, featuring common. Port security prevents unknown devices from forwarding packets, thus securing the network. table of contents. in. Advanced Routing And Switching Interview Questions.
From www.oreilly.com
CCNA Routing and Switching Practice and Study Guide Exercises, Activities, and Scenarios to Advanced Routing And Switching Interview Questions It ensures that all the dynamically locked. Dive into our curated list of network engineer interview questions complete with expert. in this article, you can go through the set of ccnp interview questions most frequently asked in the interview panel. Fundamental switching and routing interview questions to expect. Port security prevents unknown devices from forwarding packets, thus securing the. Advanced Routing And Switching Interview Questions.
From www.mockinterviewz.com
Top 50+ Best Switching and Routing Interview Questions Advanced Routing And Switching Interview Questions in this article, you can go through the set of ccnp interview questions most frequently asked in the interview panel. prepare for your ccna routing and switching interview with our comprehensive list of 50 advanced. table of contents. Port security prevents unknown devices from forwarding packets, thus securing the network. Dive into our curated list of network. Advanced Routing And Switching Interview Questions.
From www.scribd.com
Networking Interview Questions and Answers Page 3.pdf Routing Computer Network Advanced Routing And Switching Interview Questions Fundamental switching and routing interview questions to expect. Port security prevents unknown devices from forwarding packets, thus securing the network. It ensures that all the dynamically locked. in this article, you can go through the set of ccnp interview questions most frequently asked in the interview panel. table of contents. prepare for your ccna routing and switching. Advanced Routing And Switching Interview Questions.
From soft.connect4techs.com
Troubleshooting Core Routing and Switching Issues Connect 4 Techs Advanced Routing And Switching Interview Questions Fundamental switching and routing interview questions to expect. prepare for your ccna routing and switching interview with our comprehensive list of 50 advanced. Prepare for your network engineering interview with this guide on routing protocols, featuring common. table of contents. Port security prevents unknown devices from forwarding packets, thus securing the network. Dive into our curated list of. Advanced Routing And Switching Interview Questions.
From www.slideserve.com
PPT H3C Advanced Routing and Switching Technology GB0382 Certification Study Guide PowerPoint Advanced Routing And Switching Interview Questions Dive into our curated list of network engineer interview questions complete with expert. in this article, you can go through the set of ccnp interview questions most frequently asked in the interview panel. prepare for your ccna routing and switching interview with our comprehensive list of 50 advanced. table of contents. Prepare for your network engineering interview. Advanced Routing And Switching Interview Questions.