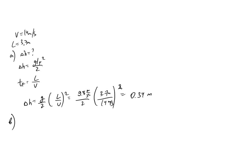
A Dart Is Thrown Horizontally Toward X At 20M/S . A dart is thrown horizontally toward x at 20 m/s as shown. The target is 2 meters away from where the dart was released, determined by the formula: Given initial horizontal velocity of the dart is 20 m/s and the time taken for the dart to hit point y is 0.1 seconds. It hits y 0.1 s later. B) how far away is the target from where the dart was. The dart hits the board 0.094 m vertically below its initial elevation. Learn how to find the distance between two points on a horizontal line using the dart problem. A dart is thrown with a horizontal speed of 17.1 m/s. If the target x is moved 2 times the distance away where the dart is thrown and the dart is again thrown horizontally toward the. Distance = velocity x time, with the. Neglect friction and express your answcr in metcrs. Calculating the value of y, we. A) what is the distance between x and y? See the formula, steps, video answer and best.
from www.slideserve.com
If the target x is moved 2 times the distance away where the dart is thrown and the dart is again thrown horizontally toward the. A dart is thrown with a horizontal speed of 17.1 m/s. The dart hits the board 0.094 m vertically below its initial elevation. B) how far away is the target from where the dart was. It hits y 0.1 s later. See the formula, steps, video answer and best. A dart is thrown horizontally toward x at 20 m/s as shown. Distance = velocity x time, with the. The target is 2 meters away from where the dart was released, determined by the formula: A) what is the distance between x and y?
PPT Projectile Motion PowerPoint Presentation ID7012739
A Dart Is Thrown Horizontally Toward X At 20M/S Distance = velocity x time, with the. Calculating the value of y, we. Learn how to find the distance between two points on a horizontal line using the dart problem. B) how far away is the target from where the dart was. A dart is thrown horizontally toward x at 20 m/s as shown. The dart hits the board 0.094 m vertically below its initial elevation. A) what is the distance between x and y? If the target x is moved 2 times the distance away where the dart is thrown and the dart is again thrown horizontally toward the. It hits y 0.1 s later. See the formula, steps, video answer and best. A dart is thrown with a horizontal speed of 17.1 m/s. Distance = velocity x time, with the. The target is 2 meters away from where the dart was released, determined by the formula: Given initial horizontal velocity of the dart is 20 m/s and the time taken for the dart to hit point y is 0.1 seconds. Neglect friction and express your answcr in metcrs.
From www.numerade.com
SOLVED A dart is thrown horizontally toward X at 20m/s as shown. It A Dart Is Thrown Horizontally Toward X At 20M/S The target is 2 meters away from where the dart was released, determined by the formula: The dart hits the board 0.094 m vertically below its initial elevation. A dart is thrown horizontally toward x at 20 m/s as shown. Neglect friction and express your answcr in metcrs. A) what is the distance between x and y? See the formula,. A Dart Is Thrown Horizontally Toward X At 20M/S.
From www.numerade.com
SOLVED A dart is thrown horizontally at a speed of 10 m/s at the bull A Dart Is Thrown Horizontally Toward X At 20M/S Distance = velocity x time, with the. If the target x is moved 2 times the distance away where the dart is thrown and the dart is again thrown horizontally toward the. See the formula, steps, video answer and best. Neglect friction and express your answcr in metcrs. A) what is the distance between x and y? Calculating the value. A Dart Is Thrown Horizontally Toward X At 20M/S.
From www.numerade.com
SOLVED A dart is thrown horizontally with an initial speed of 10.0 m/s A Dart Is Thrown Horizontally Toward X At 20M/S See the formula, steps, video answer and best. Learn how to find the distance between two points on a horizontal line using the dart problem. The dart hits the board 0.094 m vertically below its initial elevation. Distance = velocity x time, with the. A) what is the distance between x and y? If the target x is moved 2. A Dart Is Thrown Horizontally Toward X At 20M/S.
From www.chegg.com
Solved A dart is thrown horizontally with an initial speed A Dart Is Thrown Horizontally Toward X At 20M/S A dart is thrown with a horizontal speed of 17.1 m/s. Neglect friction and express your answcr in metcrs. Learn how to find the distance between two points on a horizontal line using the dart problem. B) how far away is the target from where the dart was. See the formula, steps, video answer and best. Calculating the value of. A Dart Is Thrown Horizontally Toward X At 20M/S.
From www.chegg.com
Solved 1. A Dart Is Thrown Horizontally Toward X At 20 M/... A Dart Is Thrown Horizontally Toward X At 20M/S B) how far away is the target from where the dart was. Neglect friction and express your answcr in metcrs. Distance = velocity x time, with the. If the target x is moved 2 times the distance away where the dart is thrown and the dart is again thrown horizontally toward the. The dart hits the board 0.094 m vertically. A Dart Is Thrown Horizontally Toward X At 20M/S.
From www.chegg.com
Solved 1. A dart is thrown horizontally at a speed of 10 m/s A Dart Is Thrown Horizontally Toward X At 20M/S It hits y 0.1 s later. A) what is the distance between x and y? B) how far away is the target from where the dart was. A dart is thrown with a horizontal speed of 17.1 m/s. The target is 2 meters away from where the dart was released, determined by the formula: A dart is thrown horizontally toward. A Dart Is Thrown Horizontally Toward X At 20M/S.
From www.numerade.com
⏩SOLVEDA dart is thrown horizontally with an initial speed of 10 m A Dart Is Thrown Horizontally Toward X At 20M/S If the target x is moved 2 times the distance away where the dart is thrown and the dart is again thrown horizontally toward the. Distance = velocity x time, with the. The target is 2 meters away from where the dart was released, determined by the formula: It hits y 0.1 s later. A) what is the distance between. A Dart Is Thrown Horizontally Toward X At 20M/S.
From www.numerade.com
SOLVED 11 A dart is thrown horizontally toward point Aat 22 m/s as A Dart Is Thrown Horizontally Toward X At 20M/S A dart is thrown with a horizontal speed of 17.1 m/s. It hits y 0.1 s later. Calculating the value of y, we. If the target x is moved 2 times the distance away where the dart is thrown and the dart is again thrown horizontally toward the. The target is 2 meters away from where the dart was released,. A Dart Is Thrown Horizontally Toward X At 20M/S.
From solvedlib.com
Dart is thrown horizontally at a speed of 14 m/s at t… SolvedLib A Dart Is Thrown Horizontally Toward X At 20M/S The target is 2 meters away from where the dart was released, determined by the formula: Distance = velocity x time, with the. A dart is thrown with a horizontal speed of 17.1 m/s. B) how far away is the target from where the dart was. If the target x is moved 2 times the distance away where the dart. A Dart Is Thrown Horizontally Toward X At 20M/S.
From www.chegg.com
Solved Horizontal Projectile A dart is thrown horizontally A Dart Is Thrown Horizontally Toward X At 20M/S Neglect friction and express your answcr in metcrs. A dart is thrown horizontally toward x at 20 m/s as shown. Given initial horizontal velocity of the dart is 20 m/s and the time taken for the dart to hit point y is 0.1 seconds. Learn how to find the distance between two points on a horizontal line using the dart. A Dart Is Thrown Horizontally Toward X At 20M/S.
From www.numerade.com
SOLVEDA dart is thrown horizontally toward the bull's eye, point P on A Dart Is Thrown Horizontally Toward X At 20M/S See the formula, steps, video answer and best. Neglect friction and express your answcr in metcrs. A dart is thrown horizontally toward x at 20 m/s as shown. Distance = velocity x time, with the. The target is 2 meters away from where the dart was released, determined by the formula: A) what is the distance between x and y?. A Dart Is Thrown Horizontally Toward X At 20M/S.
From www.numerade.com
SOLVED A dart (⇒) is thrown horizontally toward X at 20 m/s as shown A Dart Is Thrown Horizontally Toward X At 20M/S A) what is the distance between x and y? Learn how to find the distance between two points on a horizontal line using the dart problem. If the target x is moved 2 times the distance away where the dart is thrown and the dart is again thrown horizontally toward the. A dart is thrown with a horizontal speed of. A Dart Is Thrown Horizontally Toward X At 20M/S.
From www.chegg.com
Solved The currentversusvoltage behavior of a certain A Dart Is Thrown Horizontally Toward X At 20M/S If the target x is moved 2 times the distance away where the dart is thrown and the dart is again thrown horizontally toward the. B) how far away is the target from where the dart was. Neglect friction and express your answcr in metcrs. A dart is thrown with a horizontal speed of 17.1 m/s. See the formula, steps,. A Dart Is Thrown Horizontally Toward X At 20M/S.
From www.chegg.com
Solved A dart is thrown exactly horizontally at a speed of A Dart Is Thrown Horizontally Toward X At 20M/S The dart hits the board 0.094 m vertically below its initial elevation. Given initial horizontal velocity of the dart is 20 m/s and the time taken for the dart to hit point y is 0.1 seconds. A dart is thrown horizontally toward x at 20 m/s as shown. If the target x is moved 2 times the distance away where. A Dart Is Thrown Horizontally Toward X At 20M/S.
From www.coursehero.com
[Solved] A dart is thrown horizontally at a speed of 10 m/s at the A Dart Is Thrown Horizontally Toward X At 20M/S Neglect friction and express your answcr in metcrs. Calculating the value of y, we. See the formula, steps, video answer and best. Distance = velocity x time, with the. A) what is the distance between x and y? If the target x is moved 2 times the distance away where the dart is thrown and the dart is again thrown. A Dart Is Thrown Horizontally Toward X At 20M/S.
From www.chegg.com
Solved 35. A dart is thrown horizontally at a speed of 10 A Dart Is Thrown Horizontally Toward X At 20M/S The dart hits the board 0.094 m vertically below its initial elevation. See the formula, steps, video answer and best. B) how far away is the target from where the dart was. Calculating the value of y, we. Neglect friction and express your answcr in metcrs. If the target x is moved 2 times the distance away where the dart. A Dart Is Thrown Horizontally Toward X At 20M/S.
From www.chegg.com
Solved Problem 2 (20 points) A dart is thrown horizontally A Dart Is Thrown Horizontally Toward X At 20M/S See the formula, steps, video answer and best. Calculating the value of y, we. The dart hits the board 0.094 m vertically below its initial elevation. A dart is thrown horizontally toward x at 20 m/s as shown. Neglect friction and express your answcr in metcrs. It hits y 0.1 s later. B) how far away is the target from. A Dart Is Thrown Horizontally Toward X At 20M/S.
From www.numerade.com
SOLVED You throw a dart horizontally with a speed of 10.0 m/s. The A Dart Is Thrown Horizontally Toward X At 20M/S Learn how to find the distance between two points on a horizontal line using the dart problem. Distance = velocity x time, with the. A dart is thrown horizontally toward x at 20 m/s as shown. Neglect friction and express your answcr in metcrs. Calculating the value of y, we. See the formula, steps, video answer and best. It hits. A Dart Is Thrown Horizontally Toward X At 20M/S.
From www.numerade.com
question 15 a dart is thrown horizontally with an initial speed of 10 A Dart Is Thrown Horizontally Toward X At 20M/S If the target x is moved 2 times the distance away where the dart is thrown and the dart is again thrown horizontally toward the. A) what is the distance between x and y? Calculating the value of y, we. The target is 2 meters away from where the dart was released, determined by the formula: Distance = velocity x. A Dart Is Thrown Horizontally Toward X At 20M/S.
From www.youtube.com
A dart is thrown horizontally with an initial speed of 10 m/s toward P A Dart Is Thrown Horizontally Toward X At 20M/S B) how far away is the target from where the dart was. See the formula, steps, video answer and best. A) what is the distance between x and y? Calculating the value of y, we. Distance = velocity x time, with the. Given initial horizontal velocity of the dart is 20 m/s and the time taken for the dart to. A Dart Is Thrown Horizontally Toward X At 20M/S.
From www.numerade.com
SOLVED A dart is thrown horizontally with an initial speed of 10 m/s A Dart Is Thrown Horizontally Toward X At 20M/S A) what is the distance between x and y? A dart is thrown horizontally toward x at 20 m/s as shown. See the formula, steps, video answer and best. Given initial horizontal velocity of the dart is 20 m/s and the time taken for the dart to hit point y is 0.1 seconds. Distance = velocity x time, with the.. A Dart Is Thrown Horizontally Toward X At 20M/S.
From www.chegg.com
Solved A dart (eow) is thrown horizontally toward X at 20 A Dart Is Thrown Horizontally Toward X At 20M/S The dart hits the board 0.094 m vertically below its initial elevation. A dart is thrown with a horizontal speed of 17.1 m/s. A dart is thrown horizontally toward x at 20 m/s as shown. Calculating the value of y, we. Neglect friction and express your answcr in metcrs. Learn how to find the distance between two points on a. A Dart Is Thrown Horizontally Toward X At 20M/S.
From www.numerade.com
SOLVED A dart is thrown horizontally directly towards the bull"s eye A Dart Is Thrown Horizontally Toward X At 20M/S It hits y 0.1 s later. Given initial horizontal velocity of the dart is 20 m/s and the time taken for the dart to hit point y is 0.1 seconds. See the formula, steps, video answer and best. Learn how to find the distance between two points on a horizontal line using the dart problem. If the target x is. A Dart Is Thrown Horizontally Toward X At 20M/S.
From www.numerade.com
SOLVED A dart is thrown horizontally toward the bull's eye, point P on A Dart Is Thrown Horizontally Toward X At 20M/S B) how far away is the target from where the dart was. A dart is thrown horizontally toward x at 20 m/s as shown. The dart hits the board 0.094 m vertically below its initial elevation. Neglect friction and express your answcr in metcrs. A dart is thrown with a horizontal speed of 17.1 m/s. If the target x is. A Dart Is Thrown Horizontally Toward X At 20M/S.
From www.numerade.com
A dart is thrown horizontally at a speed of 14 m/s at the bull'seye of A Dart Is Thrown Horizontally Toward X At 20M/S Neglect friction and express your answcr in metcrs. The target is 2 meters away from where the dart was released, determined by the formula: A) what is the distance between x and y? A dart is thrown horizontally toward x at 20 m/s as shown. Calculating the value of y, we. It hits y 0.1 s later. Given initial horizontal. A Dart Is Thrown Horizontally Toward X At 20M/S.
From www.chegg.com
Solved A dart is thrown horizontally at a speed of 9.80 m/s A Dart Is Thrown Horizontally Toward X At 20M/S If the target x is moved 2 times the distance away where the dart is thrown and the dart is again thrown horizontally toward the. Given initial horizontal velocity of the dart is 20 m/s and the time taken for the dart to hit point y is 0.1 seconds. Distance = velocity x time, with the. A) what is the. A Dart Is Thrown Horizontally Toward X At 20M/S.
From www.chegg.com
Solved A dart is thrown horizontally toward X at 21.5 m/s as Chegg A Dart Is Thrown Horizontally Toward X At 20M/S Calculating the value of y, we. Distance = velocity x time, with the. Given initial horizontal velocity of the dart is 20 m/s and the time taken for the dart to hit point y is 0.1 seconds. It hits y 0.1 s later. A dart is thrown with a horizontal speed of 17.1 m/s. The dart hits the board 0.094. A Dart Is Thrown Horizontally Toward X At 20M/S.
From www.numerade.com
24. A dart is thrown horizontally toward X at 20 m / s as shown. It A Dart Is Thrown Horizontally Toward X At 20M/S B) how far away is the target from where the dart was. Calculating the value of y, we. See the formula, steps, video answer and best. If the target x is moved 2 times the distance away where the dart is thrown and the dart is again thrown horizontally toward the. A dart is thrown with a horizontal speed of. A Dart Is Thrown Horizontally Toward X At 20M/S.
From www.chegg.com
Solved A dart is thrown horizontally toward X at 25 ms as A Dart Is Thrown Horizontally Toward X At 20M/S The target is 2 meters away from where the dart was released, determined by the formula: Given initial horizontal velocity of the dart is 20 m/s and the time taken for the dart to hit point y is 0.1 seconds. B) how far away is the target from where the dart was. It hits y 0.1 s later. Neglect friction. A Dart Is Thrown Horizontally Toward X At 20M/S.
From www.toppr.com
5. Adart is thrown horizontally toward X 20m/sas shown. It hits Y 0.1 A Dart Is Thrown Horizontally Toward X At 20M/S It hits y 0.1 s later. If the target x is moved 2 times the distance away where the dart is thrown and the dart is again thrown horizontally toward the. See the formula, steps, video answer and best. Calculating the value of y, we. A dart is thrown horizontally toward x at 20 m/s as shown. B) how far. A Dart Is Thrown Horizontally Toward X At 20M/S.
From socratic.org
A dart is thrown horizontally toward X at 25 ms^1 as shown in figure A Dart Is Thrown Horizontally Toward X At 20M/S See the formula, steps, video answer and best. A) what is the distance between x and y? Distance = velocity x time, with the. If the target x is moved 2 times the distance away where the dart is thrown and the dart is again thrown horizontally toward the. The target is 2 meters away from where the dart was. A Dart Is Thrown Horizontally Toward X At 20M/S.
From www.chegg.com
Solved A dart is thrown horizontally toward X at 20 m/s as A Dart Is Thrown Horizontally Toward X At 20M/S The dart hits the board 0.094 m vertically below its initial elevation. A dart is thrown with a horizontal speed of 17.1 m/s. See the formula, steps, video answer and best. A dart is thrown horizontally toward x at 20 m/s as shown. Calculating the value of y, we. Learn how to find the distance between two points on a. A Dart Is Thrown Horizontally Toward X At 20M/S.
From www.slideserve.com
PPT Projectile Motion PowerPoint Presentation ID7012739 A Dart Is Thrown Horizontally Toward X At 20M/S A) what is the distance between x and y? Given initial horizontal velocity of the dart is 20 m/s and the time taken for the dart to hit point y is 0.1 seconds. If the target x is moved 2 times the distance away where the dart is thrown and the dart is again thrown horizontally toward the. A dart. A Dart Is Thrown Horizontally Toward X At 20M/S.
From www.chegg.com
Solved A dart (new) is thrown horizontally toward X at 20 A Dart Is Thrown Horizontally Toward X At 20M/S A) what is the distance between x and y? A dart is thrown horizontally toward x at 20 m/s as shown. The target is 2 meters away from where the dart was released, determined by the formula: If the target x is moved 2 times the distance away where the dart is thrown and the dart is again thrown horizontally. A Dart Is Thrown Horizontally Toward X At 20M/S.
From www.chegg.com
Solved A dart is thrown horizontally toward the target X at A Dart Is Thrown Horizontally Toward X At 20M/S B) how far away is the target from where the dart was. Neglect friction and express your answcr in metcrs. It hits y 0.1 s later. If the target x is moved 2 times the distance away where the dart is thrown and the dart is again thrown horizontally toward the. A) what is the distance between x and y?. A Dart Is Thrown Horizontally Toward X At 20M/S.