What Is The Mass Of 2 Litres Of Nitrogen At 22.4 Atmospheric Pressure And 273K . 1) 1 mol = 22.4 l of gas; 1 mol of nitrogen gas = 14 g 2) therefore, 22.4 l nitrogen gas = 14 g → 2 l nitrogen = 1.25 g 3) this is at a. 1 mole of n2 gas. Also 1 mole of nitrogen gas. to find the mass of 2 liters of nitrogen gas (n₂) at a pressure of 22.4 atm and a temperature of 273 k, we can use the ideal. Play quiz games with your school friends. The mass of 2 liters of nitrogen at 22.4 atmospheric pressure and 273 k is approximately \ (56. In this problem, as we know that 1 mole is equal to 22.4 litre of gas. when 28 g of nitrogen gas occupying a volume of 22.4 l at 0 o c and 1 a t m. Pressure was heated to 273 o c the pressure became 2 a t m. 1) 1 mol = 22.4 l of gas; 1 mol of nitrogen gas = 14 g.
from www.slideserve.com
The mass of 2 liters of nitrogen at 22.4 atmospheric pressure and 273 k is approximately \ (56. when 28 g of nitrogen gas occupying a volume of 22.4 l at 0 o c and 1 a t m. 1 mol of nitrogen gas = 14 g 2) therefore, 22.4 l nitrogen gas = 14 g → 2 l nitrogen = 1.25 g 3) this is at a. In this problem, as we know that 1 mole is equal to 22.4 litre of gas. 1 mole of n2 gas. Play quiz games with your school friends. 1) 1 mol = 22.4 l of gas; Pressure was heated to 273 o c the pressure became 2 a t m. to find the mass of 2 liters of nitrogen gas (n₂) at a pressure of 22.4 atm and a temperature of 273 k, we can use the ideal. Also 1 mole of nitrogen gas.
PPT Gases PowerPoint Presentation, free download ID6793068
What Is The Mass Of 2 Litres Of Nitrogen At 22.4 Atmospheric Pressure And 273K Pressure was heated to 273 o c the pressure became 2 a t m. 1 mol of nitrogen gas = 14 g 2) therefore, 22.4 l nitrogen gas = 14 g → 2 l nitrogen = 1.25 g 3) this is at a. 1 mol of nitrogen gas = 14 g. to find the mass of 2 liters of nitrogen gas (n₂) at a pressure of 22.4 atm and a temperature of 273 k, we can use the ideal. The mass of 2 liters of nitrogen at 22.4 atmospheric pressure and 273 k is approximately \ (56. 1) 1 mol = 22.4 l of gas; 1) 1 mol = 22.4 l of gas; 1 mole of n2 gas. when 28 g of nitrogen gas occupying a volume of 22.4 l at 0 o c and 1 a t m. In this problem, as we know that 1 mole is equal to 22.4 litre of gas. Also 1 mole of nitrogen gas. Pressure was heated to 273 o c the pressure became 2 a t m. Play quiz games with your school friends.
From www.chegg.com
Solved Time left 04925 A sample of nitrogen gas at 298 K What Is The Mass Of 2 Litres Of Nitrogen At 22.4 Atmospheric Pressure And 273K to find the mass of 2 liters of nitrogen gas (n₂) at a pressure of 22.4 atm and a temperature of 273 k, we can use the ideal. when 28 g of nitrogen gas occupying a volume of 22.4 l at 0 o c and 1 a t m. 1 mole of n2 gas. Play quiz games with. What Is The Mass Of 2 Litres Of Nitrogen At 22.4 Atmospheric Pressure And 273K.
From www.chegg.com
Solved Problem 3 A pistoncylinder device contains 1.2 kg What Is The Mass Of 2 Litres Of Nitrogen At 22.4 Atmospheric Pressure And 273K 1 mol of nitrogen gas = 14 g. when 28 g of nitrogen gas occupying a volume of 22.4 l at 0 o c and 1 a t m. 1 mole of n2 gas. 1 mol of nitrogen gas = 14 g 2) therefore, 22.4 l nitrogen gas = 14 g → 2 l nitrogen = 1.25 g 3). What Is The Mass Of 2 Litres Of Nitrogen At 22.4 Atmospheric Pressure And 273K.
From www.coursehero.com
[Solved] What is the volume, in liters, of 2.75 x 1024 molecules of What Is The Mass Of 2 Litres Of Nitrogen At 22.4 Atmospheric Pressure And 273K to find the mass of 2 liters of nitrogen gas (n₂) at a pressure of 22.4 atm and a temperature of 273 k, we can use the ideal. Pressure was heated to 273 o c the pressure became 2 a t m. The mass of 2 liters of nitrogen at 22.4 atmospheric pressure and 273 k is approximately \. What Is The Mass Of 2 Litres Of Nitrogen At 22.4 Atmospheric Pressure And 273K.
From www.coursehero.com
[Solved] 10. What is the mass of 1.22 mol of nitrogen trihydride What Is The Mass Of 2 Litres Of Nitrogen At 22.4 Atmospheric Pressure And 273K 1) 1 mol = 22.4 l of gas; Pressure was heated to 273 o c the pressure became 2 a t m. when 28 g of nitrogen gas occupying a volume of 22.4 l at 0 o c and 1 a t m. 1 mol of nitrogen gas = 14 g 2) therefore, 22.4 l nitrogen gas = 14. What Is The Mass Of 2 Litres Of Nitrogen At 22.4 Atmospheric Pressure And 273K.
From www.toppr.com
2015 Which of the following would weigh the least? (A) 2 gram atoms of What Is The Mass Of 2 Litres Of Nitrogen At 22.4 Atmospheric Pressure And 273K Also 1 mole of nitrogen gas. 1) 1 mol = 22.4 l of gas; 1 mole of n2 gas. 1 mol of nitrogen gas = 14 g 2) therefore, 22.4 l nitrogen gas = 14 g → 2 l nitrogen = 1.25 g 3) this is at a. Play quiz games with your school friends. 1 mol of nitrogen. What Is The Mass Of 2 Litres Of Nitrogen At 22.4 Atmospheric Pressure And 273K.
From www.doubtnut.com
In a flask of volume V litres, 0.2 mol of oxygen 0.4 mol of nitrogen, What Is The Mass Of 2 Litres Of Nitrogen At 22.4 Atmospheric Pressure And 273K In this problem, as we know that 1 mole is equal to 22.4 litre of gas. 1 mol of nitrogen gas = 14 g 2) therefore, 22.4 l nitrogen gas = 14 g → 2 l nitrogen = 1.25 g 3) this is at a. 1 mol of nitrogen gas = 14 g. Play quiz games with your school friends.. What Is The Mass Of 2 Litres Of Nitrogen At 22.4 Atmospheric Pressure And 273K.
From www.numerade.com
SOLVEDA sample of nitrogen gas expands in volume from 1.6 to 5.4 L at What Is The Mass Of 2 Litres Of Nitrogen At 22.4 Atmospheric Pressure And 273K Also 1 mole of nitrogen gas. The mass of 2 liters of nitrogen at 22.4 atmospheric pressure and 273 k is approximately \ (56. Pressure was heated to 273 o c the pressure became 2 a t m. 1 mol of nitrogen gas = 14 g 2) therefore, 22.4 l nitrogen gas = 14 g → 2 l nitrogen =. What Is The Mass Of 2 Litres Of Nitrogen At 22.4 Atmospheric Pressure And 273K.
From www.numerade.com
SOLVEDA gas mixture being used to simulate the atmosphere of another What Is The Mass Of 2 Litres Of Nitrogen At 22.4 Atmospheric Pressure And 273K In this problem, as we know that 1 mole is equal to 22.4 litre of gas. Play quiz games with your school friends. The mass of 2 liters of nitrogen at 22.4 atmospheric pressure and 273 k is approximately \ (56. 1) 1 mol = 22.4 l of gas; Also 1 mole of nitrogen gas. 1 mol of nitrogen. What Is The Mass Of 2 Litres Of Nitrogen At 22.4 Atmospheric Pressure And 273K.
From byjus.com
Calculate the volume occupied by (1)28u nitrogen gas (2)28g N2 gas at STP What Is The Mass Of 2 Litres Of Nitrogen At 22.4 Atmospheric Pressure And 273K In this problem, as we know that 1 mole is equal to 22.4 litre of gas. Also 1 mole of nitrogen gas. to find the mass of 2 liters of nitrogen gas (n₂) at a pressure of 22.4 atm and a temperature of 273 k, we can use the ideal. 1) 1 mol = 22.4 l of gas;. What Is The Mass Of 2 Litres Of Nitrogen At 22.4 Atmospheric Pressure And 273K.
From www.toppr.com
What percent of a sample of nitrogen must be allowed to escape if its What Is The Mass Of 2 Litres Of Nitrogen At 22.4 Atmospheric Pressure And 273K Pressure was heated to 273 o c the pressure became 2 a t m. The mass of 2 liters of nitrogen at 22.4 atmospheric pressure and 273 k is approximately \ (56. when 28 g of nitrogen gas occupying a volume of 22.4 l at 0 o c and 1 a t m. Also 1 mole of nitrogen gas.. What Is The Mass Of 2 Litres Of Nitrogen At 22.4 Atmospheric Pressure And 273K.
From www.coursehero.com
[Solved] What is the volume, in liters, occupied by 10.0 g of nitrogen What Is The Mass Of 2 Litres Of Nitrogen At 22.4 Atmospheric Pressure And 273K 1 mole of n2 gas. to find the mass of 2 liters of nitrogen gas (n₂) at a pressure of 22.4 atm and a temperature of 273 k, we can use the ideal. In this problem, as we know that 1 mole is equal to 22.4 litre of gas. when 28 g of nitrogen gas occupying a volume. What Is The Mass Of 2 Litres Of Nitrogen At 22.4 Atmospheric Pressure And 273K.
From www.numerade.com
SOLVED Compute the specific heat capacity at constant volume of What Is The Mass Of 2 Litres Of Nitrogen At 22.4 Atmospheric Pressure And 273K 1 mol of nitrogen gas = 14 g. Pressure was heated to 273 o c the pressure became 2 a t m. when 28 g of nitrogen gas occupying a volume of 22.4 l at 0 o c and 1 a t m. The mass of 2 liters of nitrogen at 22.4 atmospheric pressure and 273 k is approximately. What Is The Mass Of 2 Litres Of Nitrogen At 22.4 Atmospheric Pressure And 273K.
From www.toppr.com
What is the mass of 2 litres of nitrogen at 22.4 atmospheric pressure What Is The Mass Of 2 Litres Of Nitrogen At 22.4 Atmospheric Pressure And 273K Also 1 mole of nitrogen gas. In this problem, as we know that 1 mole is equal to 22.4 litre of gas. to find the mass of 2 liters of nitrogen gas (n₂) at a pressure of 22.4 atm and a temperature of 273 k, we can use the ideal. 1) 1 mol = 22.4 l of gas;. What Is The Mass Of 2 Litres Of Nitrogen At 22.4 Atmospheric Pressure And 273K.
From brainly.in
If the volume of nitrogen of mass 14kg is 0.4m^3 at 30°c , calculate What Is The Mass Of 2 Litres Of Nitrogen At 22.4 Atmospheric Pressure And 273K 1) 1 mol = 22.4 l of gas; Also 1 mole of nitrogen gas. The mass of 2 liters of nitrogen at 22.4 atmospheric pressure and 273 k is approximately \ (56. 1 mol of nitrogen gas = 14 g. 1 mol of nitrogen gas = 14 g 2) therefore, 22.4 l nitrogen gas = 14 g → 2. What Is The Mass Of 2 Litres Of Nitrogen At 22.4 Atmospheric Pressure And 273K.
From www.slideserve.com
PPT Gases PowerPoint Presentation, free download ID6793068 What Is The Mass Of 2 Litres Of Nitrogen At 22.4 Atmospheric Pressure And 273K In this problem, as we know that 1 mole is equal to 22.4 litre of gas. Pressure was heated to 273 o c the pressure became 2 a t m. The mass of 2 liters of nitrogen at 22.4 atmospheric pressure and 273 k is approximately \ (56. 1) 1 mol = 22.4 l of gas; 1 mol of nitrogen. What Is The Mass Of 2 Litres Of Nitrogen At 22.4 Atmospheric Pressure And 273K.
From milesgromendoza.blogspot.com
Density of Nitrogen Kg M3 MilesgroMendoza What Is The Mass Of 2 Litres Of Nitrogen At 22.4 Atmospheric Pressure And 273K to find the mass of 2 liters of nitrogen gas (n₂) at a pressure of 22.4 atm and a temperature of 273 k, we can use the ideal. when 28 g of nitrogen gas occupying a volume of 22.4 l at 0 o c and 1 a t m. 1 mol of nitrogen gas = 14 g. The. What Is The Mass Of 2 Litres Of Nitrogen At 22.4 Atmospheric Pressure And 273K.
From www.numerade.com
SOLVED Nitrogen reacts with powdered aluminium according to the What Is The Mass Of 2 Litres Of Nitrogen At 22.4 Atmospheric Pressure And 273K 1 mol of nitrogen gas = 14 g 2) therefore, 22.4 l nitrogen gas = 14 g → 2 l nitrogen = 1.25 g 3) this is at a. 1 mole of n2 gas. Pressure was heated to 273 o c the pressure became 2 a t m. when 28 g of nitrogen gas occupying a volume of 22.4. What Is The Mass Of 2 Litres Of Nitrogen At 22.4 Atmospheric Pressure And 273K.
From www.toppr.com
When 28 g of nitrogen gas occupying a volume of 22.4 L at 0^oC and 1 What Is The Mass Of 2 Litres Of Nitrogen At 22.4 Atmospheric Pressure And 273K 1) 1 mol = 22.4 l of gas; when 28 g of nitrogen gas occupying a volume of 22.4 l at 0 o c and 1 a t m. The mass of 2 liters of nitrogen at 22.4 atmospheric pressure and 273 k is approximately \ (56. 1 mol of nitrogen gas = 14 g 2) therefore, 22.4. What Is The Mass Of 2 Litres Of Nitrogen At 22.4 Atmospheric Pressure And 273K.
From www.chegg.com
Solved 1.37 mol sample of nitrogen gas at a temperature of What Is The Mass Of 2 Litres Of Nitrogen At 22.4 Atmospheric Pressure And 273K In this problem, as we know that 1 mole is equal to 22.4 litre of gas. to find the mass of 2 liters of nitrogen gas (n₂) at a pressure of 22.4 atm and a temperature of 273 k, we can use the ideal. Pressure was heated to 273 o c the pressure became 2 a t m. 1. What Is The Mass Of 2 Litres Of Nitrogen At 22.4 Atmospheric Pressure And 273K.
From www.toppr.com
Lone mole each of hydrogen, oxygen and nitrogen are mixed in a close What Is The Mass Of 2 Litres Of Nitrogen At 22.4 Atmospheric Pressure And 273K 1) 1 mol = 22.4 l of gas; 1) 1 mol = 22.4 l of gas; 1 mole of n2 gas. 1 mol of nitrogen gas = 14 g 2) therefore, 22.4 l nitrogen gas = 14 g → 2 l nitrogen = 1.25 g 3) this is at a. In this problem, as we know that 1 mole. What Is The Mass Of 2 Litres Of Nitrogen At 22.4 Atmospheric Pressure And 273K.
From brainly.in
What percent of a sample of nitrogen must be allowed to escape if its What Is The Mass Of 2 Litres Of Nitrogen At 22.4 Atmospheric Pressure And 273K Pressure was heated to 273 o c the pressure became 2 a t m. to find the mass of 2 liters of nitrogen gas (n₂) at a pressure of 22.4 atm and a temperature of 273 k, we can use the ideal. In this problem, as we know that 1 mole is equal to 22.4 litre of gas. 1). What Is The Mass Of 2 Litres Of Nitrogen At 22.4 Atmospheric Pressure And 273K.
From www.toppr.com
10 gm of a gas 1 atm and 273 K. occupies 5 litres. The temperature What Is The Mass Of 2 Litres Of Nitrogen At 22.4 Atmospheric Pressure And 273K Also 1 mole of nitrogen gas. In this problem, as we know that 1 mole is equal to 22.4 litre of gas. to find the mass of 2 liters of nitrogen gas (n₂) at a pressure of 22.4 atm and a temperature of 273 k, we can use the ideal. 1 mol of nitrogen gas = 14 g 2). What Is The Mass Of 2 Litres Of Nitrogen At 22.4 Atmospheric Pressure And 273K.
From www.toppr.com
Heat energy of 2100 J is given to a gas at a constant pressure of 10^5 What Is The Mass Of 2 Litres Of Nitrogen At 22.4 Atmospheric Pressure And 273K Pressure was heated to 273 o c the pressure became 2 a t m. Play quiz games with your school friends. 1 mole of n2 gas. Also 1 mole of nitrogen gas. In this problem, as we know that 1 mole is equal to 22.4 litre of gas. when 28 g of nitrogen gas occupying a volume of 22.4. What Is The Mass Of 2 Litres Of Nitrogen At 22.4 Atmospheric Pressure And 273K.
From www.numerade.com
SOLVEDA sample of nitrogen gas in a 1.75 container exerts a pressure What Is The Mass Of 2 Litres Of Nitrogen At 22.4 Atmospheric Pressure And 273K Pressure was heated to 273 o c the pressure became 2 a t m. to find the mass of 2 liters of nitrogen gas (n₂) at a pressure of 22.4 atm and a temperature of 273 k, we can use the ideal. 1 mol of nitrogen gas = 14 g. Also 1 mole of nitrogen gas. 1) 1 mol. What Is The Mass Of 2 Litres Of Nitrogen At 22.4 Atmospheric Pressure And 273K.
From www.youtube.com
Ideal Gas Law Practice 1 YouTube What Is The Mass Of 2 Litres Of Nitrogen At 22.4 Atmospheric Pressure And 273K 1) 1 mol = 22.4 l of gas; when 28 g of nitrogen gas occupying a volume of 22.4 l at 0 o c and 1 a t m. In this problem, as we know that 1 mole is equal to 22.4 litre of gas. 1 mol of nitrogen gas = 14 g 2) therefore, 22.4 l nitrogen. What Is The Mass Of 2 Litres Of Nitrogen At 22.4 Atmospheric Pressure And 273K.
From www.youtube.com
Henry's law constant for CO2 in water is 1.67 X 10^8 Pa at 298K What Is The Mass Of 2 Litres Of Nitrogen At 22.4 Atmospheric Pressure And 273K Pressure was heated to 273 o c the pressure became 2 a t m. 1 mol of nitrogen gas = 14 g. 1 mole of n2 gas. Also 1 mole of nitrogen gas. 1 mol of nitrogen gas = 14 g 2) therefore, 22.4 l nitrogen gas = 14 g → 2 l nitrogen = 1.25 g 3) this is. What Is The Mass Of 2 Litres Of Nitrogen At 22.4 Atmospheric Pressure And 273K.
From www.chegg.com
Solved The volume of a sample of nitrogen is 6.00 liters at What Is The Mass Of 2 Litres Of Nitrogen At 22.4 Atmospheric Pressure And 273K 1 mole of n2 gas. to find the mass of 2 liters of nitrogen gas (n₂) at a pressure of 22.4 atm and a temperature of 273 k, we can use the ideal. when 28 g of nitrogen gas occupying a volume of 22.4 l at 0 o c and 1 a t m. 1) 1 mol =. What Is The Mass Of 2 Litres Of Nitrogen At 22.4 Atmospheric Pressure And 273K.
From www.toppr.com
4. If mass of KCl formed in the reaction KCIO, → KCI + 20, is 1.625 g What Is The Mass Of 2 Litres Of Nitrogen At 22.4 Atmospheric Pressure And 273K 1 mole of n2 gas. Also 1 mole of nitrogen gas. to find the mass of 2 liters of nitrogen gas (n₂) at a pressure of 22.4 atm and a temperature of 273 k, we can use the ideal. 1) 1 mol = 22.4 l of gas; 1) 1 mol = 22.4 l of gas; In this problem,. What Is The Mass Of 2 Litres Of Nitrogen At 22.4 Atmospheric Pressure And 273K.
From www.toppr.com
When 28 g of nitrogen gas occupying a volume of 22.4 L at 0^oC and 1 What Is The Mass Of 2 Litres Of Nitrogen At 22.4 Atmospheric Pressure And 273K 1) 1 mol = 22.4 l of gas; Pressure was heated to 273 o c the pressure became 2 a t m. 1) 1 mol = 22.4 l of gas; 1 mol of nitrogen gas = 14 g 2) therefore, 22.4 l nitrogen gas = 14 g → 2 l nitrogen = 1.25 g 3) this is at a.. What Is The Mass Of 2 Litres Of Nitrogen At 22.4 Atmospheric Pressure And 273K.
From www.numerade.com
SOLVEDA 1.0 L container of liquid nitrogen is kept in a closet What Is The Mass Of 2 Litres Of Nitrogen At 22.4 Atmospheric Pressure And 273K when 28 g of nitrogen gas occupying a volume of 22.4 l at 0 o c and 1 a t m. Play quiz games with your school friends. 1 mole of n2 gas. 1) 1 mol = 22.4 l of gas; Pressure was heated to 273 o c the pressure became 2 a t m. 1) 1 mol. What Is The Mass Of 2 Litres Of Nitrogen At 22.4 Atmospheric Pressure And 273K.
From www.toppr.com
At. N.T.P.28 g of Nitrogen occupies 22.4 litres . What is the mass of 5 What Is The Mass Of 2 Litres Of Nitrogen At 22.4 Atmospheric Pressure And 273K 1) 1 mol = 22.4 l of gas; Play quiz games with your school friends. 1 mol of nitrogen gas = 14 g 2) therefore, 22.4 l nitrogen gas = 14 g → 2 l nitrogen = 1.25 g 3) this is at a. The mass of 2 liters of nitrogen at 22.4 atmospheric pressure and 273 k is. What Is The Mass Of 2 Litres Of Nitrogen At 22.4 Atmospheric Pressure And 273K.
From www.doubtnut.com
Ammonia may be oxidised to nitrogen monoxide in the presence of a cata What Is The Mass Of 2 Litres Of Nitrogen At 22.4 Atmospheric Pressure And 273K 1) 1 mol = 22.4 l of gas; 1 mol of nitrogen gas = 14 g. Play quiz games with your school friends. 1 mol of nitrogen gas = 14 g 2) therefore, 22.4 l nitrogen gas = 14 g → 2 l nitrogen = 1.25 g 3) this is at a. The mass of 2 liters of nitrogen. What Is The Mass Of 2 Litres Of Nitrogen At 22.4 Atmospheric Pressure And 273K.
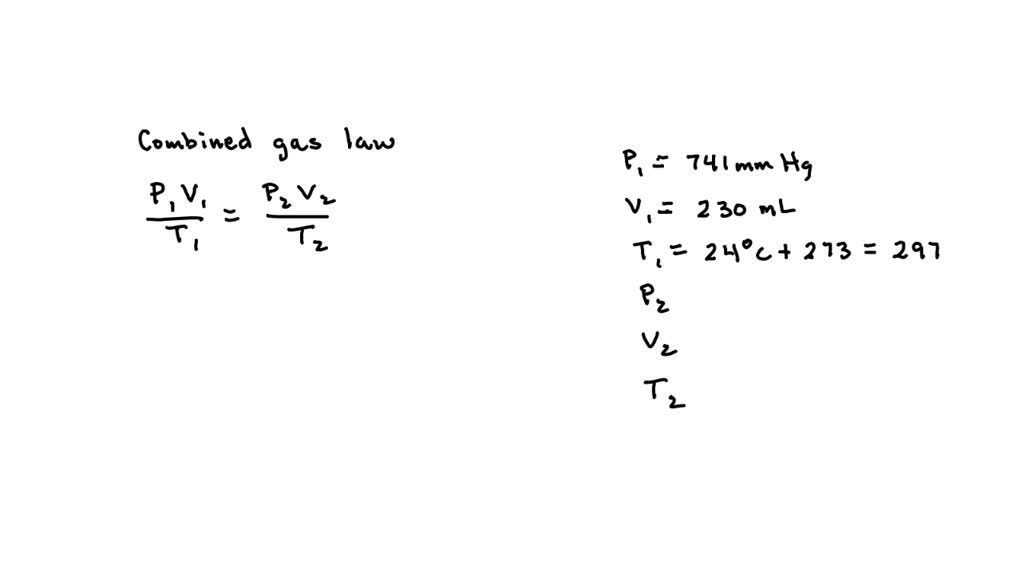
From www.numerade.com
SOLVED A mixture of nitrogen (N2) and helium has a volume of 230 mL at What Is The Mass Of 2 Litres Of Nitrogen At 22.4 Atmospheric Pressure And 273K Pressure was heated to 273 o c the pressure became 2 a t m. The mass of 2 liters of nitrogen at 22.4 atmospheric pressure and 273 k is approximately \ (56. 1) 1 mol = 22.4 l of gas; Play quiz games with your school friends. 1 mol of nitrogen gas = 14 g. when 28 g of. What Is The Mass Of 2 Litres Of Nitrogen At 22.4 Atmospheric Pressure And 273K.
From socratic.org
A sample of nitrogen gas has a volume of 15mL at a pressure of 0.50 atm What Is The Mass Of 2 Litres Of Nitrogen At 22.4 Atmospheric Pressure And 273K 1 mol of nitrogen gas = 14 g. 1 mol of nitrogen gas = 14 g 2) therefore, 22.4 l nitrogen gas = 14 g → 2 l nitrogen = 1.25 g 3) this is at a. Pressure was heated to 273 o c the pressure became 2 a t m. 1) 1 mol = 22.4 l of gas;. What Is The Mass Of 2 Litres Of Nitrogen At 22.4 Atmospheric Pressure And 273K.
From brainly.in
A sample of nitrogen gas stored in 4.0L container at 32°C exerts a What Is The Mass Of 2 Litres Of Nitrogen At 22.4 Atmospheric Pressure And 273K 1) 1 mol = 22.4 l of gas; 1) 1 mol = 22.4 l of gas; when 28 g of nitrogen gas occupying a volume of 22.4 l at 0 o c and 1 a t m. Also 1 mole of nitrogen gas. 1 mol of nitrogen gas = 14 g. to find the mass of 2. What Is The Mass Of 2 Litres Of Nitrogen At 22.4 Atmospheric Pressure And 273K.