Practice Quizbowl Questions . (downloadable pdf and tips included) Repository of archived quizbowl packets for study and practice use. Qb reader allows for filtering by question difficulty and. The packet archive at quizbowlpackets.com contains thousands of question sets available for free practice use! Use this comprehensive list of quiz bowl questions and answers to prepare for a diverse topics and subjects before the actual day! If you are looking for questions for students playing quizbowl for the first time, start with these packets. A search engine for quizbowl questions where players can filter results by question category, difficulty, tournament, and a few other settings. Aseemsdb and qb reader, two searchable databases of quizbowl questions.
from www.stuvia.com
A search engine for quizbowl questions where players can filter results by question category, difficulty, tournament, and a few other settings. If you are looking for questions for students playing quizbowl for the first time, start with these packets. (downloadable pdf and tips included) The packet archive at quizbowlpackets.com contains thousands of question sets available for free practice use! Qb reader allows for filtering by question difficulty and. Use this comprehensive list of quiz bowl questions and answers to prepare for a diverse topics and subjects before the actual day! Repository of archived quizbowl packets for study and practice use. Aseemsdb and qb reader, two searchable databases of quizbowl questions.
Quiz Bowl (all) Questions Correctly Solved To Score A+ Bowls Stuvia US
Practice Quizbowl Questions Use this comprehensive list of quiz bowl questions and answers to prepare for a diverse topics and subjects before the actual day! A search engine for quizbowl questions where players can filter results by question category, difficulty, tournament, and a few other settings. Repository of archived quizbowl packets for study and practice use. If you are looking for questions for students playing quizbowl for the first time, start with these packets. (downloadable pdf and tips included) The packet archive at quizbowlpackets.com contains thousands of question sets available for free practice use! Aseemsdb and qb reader, two searchable databases of quizbowl questions. Use this comprehensive list of quiz bowl questions and answers to prepare for a diverse topics and subjects before the actual day! Qb reader allows for filtering by question difficulty and.
From www.youtube.com
Sports Quizbowl Questions YouTube Practice Quizbowl Questions Qb reader allows for filtering by question difficulty and. If you are looking for questions for students playing quizbowl for the first time, start with these packets. (downloadable pdf and tips included) The packet archive at quizbowlpackets.com contains thousands of question sets available for free practice use! A search engine for quizbowl questions where players can filter results by question. Practice Quizbowl Questions.
From www.slideshare.net
Quiz Bowl Questions (Science) Practice Quizbowl Questions Repository of archived quizbowl packets for study and practice use. Use this comprehensive list of quiz bowl questions and answers to prepare for a diverse topics and subjects before the actual day! A search engine for quizbowl questions where players can filter results by question category, difficulty, tournament, and a few other settings. Aseemsdb and qb reader, two searchable databases. Practice Quizbowl Questions.
From browsegrades.net
Quiz Bowl Test Questions & Answers Browsegrades Practice Quizbowl Questions The packet archive at quizbowlpackets.com contains thousands of question sets available for free practice use! Aseemsdb and qb reader, two searchable databases of quizbowl questions. A search engine for quizbowl questions where players can filter results by question category, difficulty, tournament, and a few other settings. (downloadable pdf and tips included) Use this comprehensive list of quiz bowl questions and. Practice Quizbowl Questions.
From www.scribd.com
Swine Quiz Bowl Questions PDF Pig Medical Specialties Practice Quizbowl Questions Aseemsdb and qb reader, two searchable databases of quizbowl questions. Repository of archived quizbowl packets for study and practice use. Qb reader allows for filtering by question difficulty and. Use this comprehensive list of quiz bowl questions and answers to prepare for a diverse topics and subjects before the actual day! The packet archive at quizbowlpackets.com contains thousands of question. Practice Quizbowl Questions.
From www.youtube.com
Easy Quizbowl Practice Questions YouTube Practice Quizbowl Questions (downloadable pdf and tips included) The packet archive at quizbowlpackets.com contains thousands of question sets available for free practice use! Qb reader allows for filtering by question difficulty and. A search engine for quizbowl questions where players can filter results by question category, difficulty, tournament, and a few other settings. If you are looking for questions for students playing quizbowl. Practice Quizbowl Questions.
From www.scribd.com
Interschool Quizbowl Math Questions PDF Area Rectangle Practice Quizbowl Questions Qb reader allows for filtering by question difficulty and. (downloadable pdf and tips included) A search engine for quizbowl questions where players can filter results by question category, difficulty, tournament, and a few other settings. Repository of archived quizbowl packets for study and practice use. Use this comprehensive list of quiz bowl questions and answers to prepare for a diverse. Practice Quizbowl Questions.
From www.youtube.com
Art Quizbowl Practice Question Trivia Challenge shorts YouTube Practice Quizbowl Questions The packet archive at quizbowlpackets.com contains thousands of question sets available for free practice use! (downloadable pdf and tips included) Qb reader allows for filtering by question difficulty and. A search engine for quizbowl questions where players can filter results by question category, difficulty, tournament, and a few other settings. Repository of archived quizbowl packets for study and practice use.. Practice Quizbowl Questions.
From www.studocu.com
Quizbowlquestions practice questions BIOL91; Multiple Choice Practice Quizbowl Questions Aseemsdb and qb reader, two searchable databases of quizbowl questions. The packet archive at quizbowlpackets.com contains thousands of question sets available for free practice use! If you are looking for questions for students playing quizbowl for the first time, start with these packets. (downloadable pdf and tips included) Qb reader allows for filtering by question difficulty and. Repository of archived. Practice Quizbowl Questions.
From www.studocu.com
Quiz bowl for contest Science 9 (First Quarter) Easy Round’ What Practice Quizbowl Questions Use this comprehensive list of quiz bowl questions and answers to prepare for a diverse topics and subjects before the actual day! Aseemsdb and qb reader, two searchable databases of quizbowl questions. Qb reader allows for filtering by question difficulty and. Repository of archived quizbowl packets for study and practice use. The packet archive at quizbowlpackets.com contains thousands of question. Practice Quizbowl Questions.
From www.youtube.com
SCOP MS 1 NAQT Quizbowl Packet Reading Practice Questions Middle Practice Quizbowl Questions Qb reader allows for filtering by question difficulty and. A search engine for quizbowl questions where players can filter results by question category, difficulty, tournament, and a few other settings. (downloadable pdf and tips included) If you are looking for questions for students playing quizbowl for the first time, start with these packets. The packet archive at quizbowlpackets.com contains thousands. Practice Quizbowl Questions.
From www.youtube.com
20 Knowledge Bowl Practice Questions YouTube Practice Quizbowl Questions Aseemsdb and qb reader, two searchable databases of quizbowl questions. A search engine for quizbowl questions where players can filter results by question category, difficulty, tournament, and a few other settings. Qb reader allows for filtering by question difficulty and. The packet archive at quizbowlpackets.com contains thousands of question sets available for free practice use! (downloadable pdf and tips included). Practice Quizbowl Questions.
From exonexbpj.blob.core.windows.net
Science Quiz Bowl Questions Middle School at Veronica Welton blog Practice Quizbowl Questions If you are looking for questions for students playing quizbowl for the first time, start with these packets. Aseemsdb and qb reader, two searchable databases of quizbowl questions. (downloadable pdf and tips included) A search engine for quizbowl questions where players can filter results by question category, difficulty, tournament, and a few other settings. Qb reader allows for filtering by. Practice Quizbowl Questions.
From www.youtube.com
Math Quizbowl Practice Question Trivia Challenge shorts YouTube Practice Quizbowl Questions A search engine for quizbowl questions where players can filter results by question category, difficulty, tournament, and a few other settings. Use this comprehensive list of quiz bowl questions and answers to prepare for a diverse topics and subjects before the actual day! (downloadable pdf and tips included) Qb reader allows for filtering by question difficulty and. If you are. Practice Quizbowl Questions.
From www.pinterest.com
Sample Quiz Bowl Questions WLHS QUIZ BOWL in 2023 School quiz, Quiz Practice Quizbowl Questions Qb reader allows for filtering by question difficulty and. Aseemsdb and qb reader, two searchable databases of quizbowl questions. The packet archive at quizbowlpackets.com contains thousands of question sets available for free practice use! Use this comprehensive list of quiz bowl questions and answers to prepare for a diverse topics and subjects before the actual day! (downloadable pdf and tips. Practice Quizbowl Questions.
From www.yumpu.com
Quiz Bowl Sample Questions 1 Practice Quizbowl Questions Use this comprehensive list of quiz bowl questions and answers to prepare for a diverse topics and subjects before the actual day! The packet archive at quizbowlpackets.com contains thousands of question sets available for free practice use! A search engine for quizbowl questions where players can filter results by question category, difficulty, tournament, and a few other settings. Repository of. Practice Quizbowl Questions.
From www.youtube.com
Math Quizbowl Practice Question Trivia Challenge shorts YouTube Practice Quizbowl Questions If you are looking for questions for students playing quizbowl for the first time, start with these packets. Use this comprehensive list of quiz bowl questions and answers to prepare for a diverse topics and subjects before the actual day! The packet archive at quizbowlpackets.com contains thousands of question sets available for free practice use! Aseemsdb and qb reader, two. Practice Quizbowl Questions.
From www.amazon.com
Quiz Bowl Primer High School Geography Quiz Bowl Study Guide Kindle Practice Quizbowl Questions The packet archive at quizbowlpackets.com contains thousands of question sets available for free practice use! Use this comprehensive list of quiz bowl questions and answers to prepare for a diverse topics and subjects before the actual day! (downloadable pdf and tips included) Qb reader allows for filtering by question difficulty and. Aseemsdb and qb reader, two searchable databases of quizbowl. Practice Quizbowl Questions.
From dxobzkluy.blob.core.windows.net
Quiz Bowl Questions Elementary School at Kendra Paulino blog Practice Quizbowl Questions The packet archive at quizbowlpackets.com contains thousands of question sets available for free practice use! (downloadable pdf and tips included) Use this comprehensive list of quiz bowl questions and answers to prepare for a diverse topics and subjects before the actual day! Aseemsdb and qb reader, two searchable databases of quizbowl questions. A search engine for quizbowl questions where players. Practice Quizbowl Questions.
From www.pdffiller.com
Sample Quiz Bowl Questions extension usu Doc Template pdfFiller Practice Quizbowl Questions (downloadable pdf and tips included) Qb reader allows for filtering by question difficulty and. Repository of archived quizbowl packets for study and practice use. If you are looking for questions for students playing quizbowl for the first time, start with these packets. Aseemsdb and qb reader, two searchable databases of quizbowl questions. A search engine for quizbowl questions where players. Practice Quizbowl Questions.
From fyolvyuua.blob.core.windows.net
Quiz Bowl Questions For 3Rd Graders at Sylvia Meade blog Practice Quizbowl Questions A search engine for quizbowl questions where players can filter results by question category, difficulty, tournament, and a few other settings. Qb reader allows for filtering by question difficulty and. Aseemsdb and qb reader, two searchable databases of quizbowl questions. (downloadable pdf and tips included) Use this comprehensive list of quiz bowl questions and answers to prepare for a diverse. Practice Quizbowl Questions.
From www.slideshare.net
Quiz bowl questions round 9 10 & 11 PPT Practice Quizbowl Questions Qb reader allows for filtering by question difficulty and. A search engine for quizbowl questions where players can filter results by question category, difficulty, tournament, and a few other settings. The packet archive at quizbowlpackets.com contains thousands of question sets available for free practice use! Aseemsdb and qb reader, two searchable databases of quizbowl questions. Use this comprehensive list of. Practice Quizbowl Questions.
From www.youtube.com
Literature Quizbowl Practice Question Trivia Challenge shorts YouTube Practice Quizbowl Questions (downloadable pdf and tips included) Qb reader allows for filtering by question difficulty and. Use this comprehensive list of quiz bowl questions and answers to prepare for a diverse topics and subjects before the actual day! A search engine for quizbowl questions where players can filter results by question category, difficulty, tournament, and a few other settings. Repository of archived. Practice Quizbowl Questions.
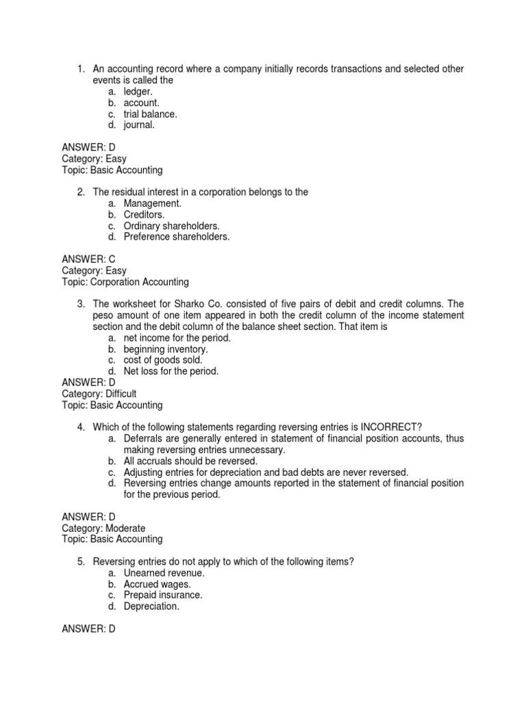
From www.scribd.com
Basic Accounting Quizbowl Questions Debits And Credits Balance Sheet Practice Quizbowl Questions A search engine for quizbowl questions where players can filter results by question category, difficulty, tournament, and a few other settings. The packet archive at quizbowlpackets.com contains thousands of question sets available for free practice use! Qb reader allows for filtering by question difficulty and. Repository of archived quizbowl packets for study and practice use. Aseemsdb and qb reader, two. Practice Quizbowl Questions.
From joitlmtla.blob.core.windows.net
Example Quiz Bowl Questions at Linda Sheehy blog Practice Quizbowl Questions Qb reader allows for filtering by question difficulty and. A search engine for quizbowl questions where players can filter results by question category, difficulty, tournament, and a few other settings. (downloadable pdf and tips included) Use this comprehensive list of quiz bowl questions and answers to prepare for a diverse topics and subjects before the actual day! Aseemsdb and qb. Practice Quizbowl Questions.
From fyolvyuua.blob.core.windows.net
Quiz Bowl Questions For 3Rd Graders at Sylvia Meade blog Practice Quizbowl Questions Use this comprehensive list of quiz bowl questions and answers to prepare for a diverse topics and subjects before the actual day! The packet archive at quizbowlpackets.com contains thousands of question sets available for free practice use! (downloadable pdf and tips included) A search engine for quizbowl questions where players can filter results by question category, difficulty, tournament, and a. Practice Quizbowl Questions.
From www.youtube.com
Geography Quizbowl Practice Question Trivia Challenge shorts YouTube Practice Quizbowl Questions Qb reader allows for filtering by question difficulty and. A search engine for quizbowl questions where players can filter results by question category, difficulty, tournament, and a few other settings. The packet archive at quizbowlpackets.com contains thousands of question sets available for free practice use! (downloadable pdf and tips included) If you are looking for questions for students playing quizbowl. Practice Quizbowl Questions.
From www.youtube.com
Hindu Gods And Heroes Quizbowl Practice Questions Read Aloud YouTube Practice Quizbowl Questions (downloadable pdf and tips included) A search engine for quizbowl questions where players can filter results by question category, difficulty, tournament, and a few other settings. Aseemsdb and qb reader, two searchable databases of quizbowl questions. Repository of archived quizbowl packets for study and practice use. If you are looking for questions for students playing quizbowl for the first time,. Practice Quizbowl Questions.
From fyolvyuua.blob.core.windows.net
Quiz Bowl Questions For 3Rd Graders at Sylvia Meade blog Practice Quizbowl Questions Use this comprehensive list of quiz bowl questions and answers to prepare for a diverse topics and subjects before the actual day! Repository of archived quizbowl packets for study and practice use. Qb reader allows for filtering by question difficulty and. If you are looking for questions for students playing quizbowl for the first time, start with these packets. Aseemsdb. Practice Quizbowl Questions.
From bingobaker.com
quizbowl bingo Card Practice Quizbowl Questions The packet archive at quizbowlpackets.com contains thousands of question sets available for free practice use! A search engine for quizbowl questions where players can filter results by question category, difficulty, tournament, and a few other settings. Use this comprehensive list of quiz bowl questions and answers to prepare for a diverse topics and subjects before the actual day! If you. Practice Quizbowl Questions.
From www.stuvia.com
Quiz Bowl (all) Questions Correctly Solved To Score A+ Bowls Stuvia US Practice Quizbowl Questions Qb reader allows for filtering by question difficulty and. Aseemsdb and qb reader, two searchable databases of quizbowl questions. Use this comprehensive list of quiz bowl questions and answers to prepare for a diverse topics and subjects before the actual day! (downloadable pdf and tips included) If you are looking for questions for students playing quizbowl for the first time,. Practice Quizbowl Questions.
From www.youtube.com
Musicals Quizbowl Practice Questions YouTube Practice Quizbowl Questions Aseemsdb and qb reader, two searchable databases of quizbowl questions. The packet archive at quizbowlpackets.com contains thousands of question sets available for free practice use! (downloadable pdf and tips included) A search engine for quizbowl questions where players can filter results by question category, difficulty, tournament, and a few other settings. If you are looking for questions for students playing. Practice Quizbowl Questions.
From www.studocu.com
QuizbowlQuestions QuizbowlQuestionsQuizbowlQuestionsQuizbowl Practice Quizbowl Questions Aseemsdb and qb reader, two searchable databases of quizbowl questions. The packet archive at quizbowlpackets.com contains thousands of question sets available for free practice use! Repository of archived quizbowl packets for study and practice use. A search engine for quizbowl questions where players can filter results by question category, difficulty, tournament, and a few other settings. If you are looking. Practice Quizbowl Questions.
From quizizz.com
50+ Early Writing Practice worksheets for 8th Grade on Quizizz Free Practice Quizbowl Questions (downloadable pdf and tips included) Use this comprehensive list of quiz bowl questions and answers to prepare for a diverse topics and subjects before the actual day! A search engine for quizbowl questions where players can filter results by question category, difficulty, tournament, and a few other settings. If you are looking for questions for students playing quizbowl for the. Practice Quizbowl Questions.
From www.youtube.com
STEM Quiz Bowl / Science Bowl Practice Questions YouTube Practice Quizbowl Questions Use this comprehensive list of quiz bowl questions and answers to prepare for a diverse topics and subjects before the actual day! Repository of archived quizbowl packets for study and practice use. If you are looking for questions for students playing quizbowl for the first time, start with these packets. (downloadable pdf and tips included) Aseemsdb and qb reader, two. Practice Quizbowl Questions.
From joitlmtla.blob.core.windows.net
Example Quiz Bowl Questions at Linda Sheehy blog Practice Quizbowl Questions (downloadable pdf and tips included) Qb reader allows for filtering by question difficulty and. If you are looking for questions for students playing quizbowl for the first time, start with these packets. The packet archive at quizbowlpackets.com contains thousands of question sets available for free practice use! A search engine for quizbowl questions where players can filter results by question. Practice Quizbowl Questions.