The Power Consumed By Is Called True Power . Part of this apparent power, called true power, is dissipated by the circuit. true power is doing all the work while reactive power is actually taking away from the power in the system making the true power work harder to get the job done. real power (p), also known as true or active power, performs the “real work” within an electrical circuit. the total power delivered by the source is the apparent power. It is the actual outcomes of the electrical system which runs the electric circuits or load. The power which is actually consumed or utilised in an ac circuit is called true power or active power or real power. It is measured in kilowatt (kw) or mw.
from www.youtube.com
It is the actual outcomes of the electrical system which runs the electric circuits or load. It is measured in kilowatt (kw) or mw. Part of this apparent power, called true power, is dissipated by the circuit. The power which is actually consumed or utilised in an ac circuit is called true power or active power or real power. true power is doing all the work while reactive power is actually taking away from the power in the system making the true power work harder to get the job done. real power (p), also known as true or active power, performs the “real work” within an electrical circuit. the total power delivered by the source is the apparent power.
How To Measure Power Consumption At Home YouTube
The Power Consumed By Is Called True Power the total power delivered by the source is the apparent power. It is the actual outcomes of the electrical system which runs the electric circuits or load. real power (p), also known as true or active power, performs the “real work” within an electrical circuit. It is measured in kilowatt (kw) or mw. true power is doing all the work while reactive power is actually taking away from the power in the system making the true power work harder to get the job done. the total power delivered by the source is the apparent power. Part of this apparent power, called true power, is dissipated by the circuit. The power which is actually consumed or utilised in an ac circuit is called true power or active power or real power.
From soulselfliving.com
Soul Self Living True Power The Power Consumed By Is Called True Power The power which is actually consumed or utilised in an ac circuit is called true power or active power or real power. the total power delivered by the source is the apparent power. It is measured in kilowatt (kw) or mw. Part of this apparent power, called true power, is dissipated by the circuit. true power is doing. The Power Consumed By Is Called True Power.
From quotefancy.com
Elizabeth Gilbert Quote “True power comes from standing in your own The Power Consumed By Is Called True Power It is the actual outcomes of the electrical system which runs the electric circuits or load. the total power delivered by the source is the apparent power. Part of this apparent power, called true power, is dissipated by the circuit. real power (p), also known as true or active power, performs the “real work” within an electrical circuit.. The Power Consumed By Is Called True Power.
From tydixon.org
True Power and Authority Dr. Ty Dixon The Power Consumed By Is Called True Power The power which is actually consumed or utilised in an ac circuit is called true power or active power or real power. the total power delivered by the source is the apparent power. true power is doing all the work while reactive power is actually taking away from the power in the system making the true power work. The Power Consumed By Is Called True Power.
From eceknowscircuits.blogspot.com
Fundamentals of Circuits Power Triangle The Power Consumed By Is Called True Power the total power delivered by the source is the apparent power. It is the actual outcomes of the electrical system which runs the electric circuits or load. The power which is actually consumed or utilised in an ac circuit is called true power or active power or real power. It is measured in kilowatt (kw) or mw. Part of. The Power Consumed By Is Called True Power.
From www.electricalengineering.xyz
Difference between True, Reactive, and Apparent power The Power Consumed By Is Called True Power The power which is actually consumed or utilised in an ac circuit is called true power or active power or real power. real power (p), also known as true or active power, performs the “real work” within an electrical circuit. the total power delivered by the source is the apparent power. It is the actual outcomes of the. The Power Consumed By Is Called True Power.
From www.youtube.com
How To Measure Power Consumption At Home YouTube The Power Consumed By Is Called True Power real power (p), also known as true or active power, performs the “real work” within an electrical circuit. the total power delivered by the source is the apparent power. It is measured in kilowatt (kw) or mw. The power which is actually consumed or utilised in an ac circuit is called true power or active power or real. The Power Consumed By Is Called True Power.
From www.quoteslyfe.com
Your true power is not in your difference, but in your consistency of The Power Consumed By Is Called True Power It is measured in kilowatt (kw) or mw. the total power delivered by the source is the apparent power. The power which is actually consumed or utilised in an ac circuit is called true power or active power or real power. Part of this apparent power, called true power, is dissipated by the circuit. true power is doing. The Power Consumed By Is Called True Power.
From brainly.in
6. Find the energy in kWh consumed in 10 hours by four devices of power The Power Consumed By Is Called True Power Part of this apparent power, called true power, is dissipated by the circuit. true power is doing all the work while reactive power is actually taking away from the power in the system making the true power work harder to get the job done. It is measured in kilowatt (kw) or mw. the total power delivered by the. The Power Consumed By Is Called True Power.
From electrical-information.com
RLC Series Circuit (Power Factor, Active and Reactive Power The Power Consumed By Is Called True Power Part of this apparent power, called true power, is dissipated by the circuit. The power which is actually consumed or utilised in an ac circuit is called true power or active power or real power. It is the actual outcomes of the electrical system which runs the electric circuits or load. It is measured in kilowatt (kw) or mw. . The Power Consumed By Is Called True Power.
From eceknowscircuits.blogspot.com
Fundamentals of Circuits Power Triangle The Power Consumed By Is Called True Power It is measured in kilowatt (kw) or mw. true power is doing all the work while reactive power is actually taking away from the power in the system making the true power work harder to get the job done. The power which is actually consumed or utilised in an ac circuit is called true power or active power or. The Power Consumed By Is Called True Power.
From quotefancy.com
Eckhart Tolle Quote “True Power is within, and it is available now.” The Power Consumed By Is Called True Power real power (p), also known as true or active power, performs the “real work” within an electrical circuit. It is measured in kilowatt (kw) or mw. The power which is actually consumed or utilised in an ac circuit is called true power or active power or real power. the total power delivered by the source is the apparent. The Power Consumed By Is Called True Power.
From www.chegg.com
Solved What is the power consumed by the load R2 ? The Power Consumed By Is Called True Power real power (p), also known as true or active power, performs the “real work” within an electrical circuit. It is measured in kilowatt (kw) or mw. true power is doing all the work while reactive power is actually taking away from the power in the system making the true power work harder to get the job done. . The Power Consumed By Is Called True Power.
From www.youtube.com
Connect With The Cosmic Energy And Unlock Your True Power meditation The Power Consumed By Is Called True Power It is the actual outcomes of the electrical system which runs the electric circuits or load. Part of this apparent power, called true power, is dissipated by the circuit. real power (p), also known as true or active power, performs the “real work” within an electrical circuit. the total power delivered by the source is the apparent power.. The Power Consumed By Is Called True Power.
From quotlr.com
The 603+ True Power Quotes Page 17 ↑QUOTLR↑ The Power Consumed By Is Called True Power It is the actual outcomes of the electrical system which runs the electric circuits or load. The power which is actually consumed or utilised in an ac circuit is called true power or active power or real power. the total power delivered by the source is the apparent power. Part of this apparent power, called true power, is dissipated. The Power Consumed By Is Called True Power.
From www.allaboutcircuits.com
True, Reactive, and Apparent Power Power Factor Electronics Textbook The Power Consumed By Is Called True Power It is measured in kilowatt (kw) or mw. the total power delivered by the source is the apparent power. Part of this apparent power, called true power, is dissipated by the circuit. The power which is actually consumed or utilised in an ac circuit is called true power or active power or real power. It is the actual outcomes. The Power Consumed By Is Called True Power.
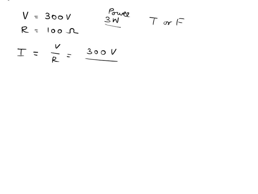
From www.numerade.com
The power consumed by a 300 V bulb, having a resistance of 100 ohms, is The Power Consumed By Is Called True Power The power which is actually consumed or utilised in an ac circuit is called true power or active power or real power. true power is doing all the work while reactive power is actually taking away from the power in the system making the true power work harder to get the job done. It is measured in kilowatt (kw). The Power Consumed By Is Called True Power.
From www.picturequotes.com
True power is the power to empower others Picture Quotes The Power Consumed By Is Called True Power It is the actual outcomes of the electrical system which runs the electric circuits or load. the total power delivered by the source is the apparent power. The power which is actually consumed or utilised in an ac circuit is called true power or active power or real power. It is measured in kilowatt (kw) or mw. real. The Power Consumed By Is Called True Power.
From evolutionarypower.org
True Power is Evolutionary Power Evolutionary Power Institute The Power Consumed By Is Called True Power The power which is actually consumed or utilised in an ac circuit is called true power or active power or real power. true power is doing all the work while reactive power is actually taking away from the power in the system making the true power work harder to get the job done. real power (p), also known. The Power Consumed By Is Called True Power.
From iastate.pressbooks.pub
POWER FACTOR CORRECTION Applied Industrial Electricity The Power Consumed By Is Called True Power true power is doing all the work while reactive power is actually taking away from the power in the system making the true power work harder to get the job done. It is the actual outcomes of the electrical system which runs the electric circuits or load. real power (p), also known as true or active power, performs. The Power Consumed By Is Called True Power.
From www.quoteslyfe.com
True power comes from standing in your own truth and walking your own The Power Consumed By Is Called True Power real power (p), also known as true or active power, performs the “real work” within an electrical circuit. true power is doing all the work while reactive power is actually taking away from the power in the system making the true power work harder to get the job done. It is the actual outcomes of the electrical system. The Power Consumed By Is Called True Power.
From www.electricity-magnetism.org
Apparent power equation Example of Calculation The Power Consumed By Is Called True Power Part of this apparent power, called true power, is dissipated by the circuit. It is the actual outcomes of the electrical system which runs the electric circuits or load. true power is doing all the work while reactive power is actually taking away from the power in the system making the true power work harder to get the job. The Power Consumed By Is Called True Power.
From quotefancy.com
Rhymefest Quote “True power is the power to empower others.” The Power Consumed By Is Called True Power true power is doing all the work while reactive power is actually taking away from the power in the system making the true power work harder to get the job done. It is measured in kilowatt (kw) or mw. The power which is actually consumed or utilised in an ac circuit is called true power or active power or. The Power Consumed By Is Called True Power.
From www.youtube.com
True Power is the Relinquishing of Power MWM YouTube The Power Consumed By Is Called True Power The power which is actually consumed or utilised in an ac circuit is called true power or active power or real power. It is the actual outcomes of the electrical system which runs the electric circuits or load. real power (p), also known as true or active power, performs the “real work” within an electrical circuit. Part of this. The Power Consumed By Is Called True Power.
From www.slideserve.com
PPT Physics 103 Lecture 29 Review I PowerPoint Presentation, free The Power Consumed By Is Called True Power the total power delivered by the source is the apparent power. real power (p), also known as true or active power, performs the “real work” within an electrical circuit. It is the actual outcomes of the electrical system which runs the electric circuits or load. Part of this apparent power, called true power, is dissipated by the circuit.. The Power Consumed By Is Called True Power.
From ihearts143quotes.com
True power comes not from control or domination but from the ability to The Power Consumed By Is Called True Power real power (p), also known as true or active power, performs the “real work” within an electrical circuit. The power which is actually consumed or utilised in an ac circuit is called true power or active power or real power. true power is doing all the work while reactive power is actually taking away from the power in. The Power Consumed By Is Called True Power.
From www.youtube.com
How to more powerful The contradiction of power what is true The Power Consumed By Is Called True Power Part of this apparent power, called true power, is dissipated by the circuit. true power is doing all the work while reactive power is actually taking away from the power in the system making the true power work harder to get the job done. the total power delivered by the source is the apparent power. It is the. The Power Consumed By Is Called True Power.
From quotefancy.com
Rhymefest Quote “True power is the power to empower others.” The Power Consumed By Is Called True Power true power is doing all the work while reactive power is actually taking away from the power in the system making the true power work harder to get the job done. the total power delivered by the source is the apparent power. It is measured in kilowatt (kw) or mw. It is the actual outcomes of the electrical. The Power Consumed By Is Called True Power.
From quotefancy.com
Hazrat Inayat Khan Quote “True power is not in trying to gain power The Power Consumed By Is Called True Power Part of this apparent power, called true power, is dissipated by the circuit. It is measured in kilowatt (kw) or mw. The power which is actually consumed or utilised in an ac circuit is called true power or active power or real power. real power (p), also known as true or active power, performs the “real work” within an. The Power Consumed By Is Called True Power.
From www.pinterest.com
Pin by Rúna on True Power True, Power, Awakening The Power Consumed By Is Called True Power It is the actual outcomes of the electrical system which runs the electric circuits or load. the total power delivered by the source is the apparent power. It is measured in kilowatt (kw) or mw. The power which is actually consumed or utilised in an ac circuit is called true power or active power or real power. Part of. The Power Consumed By Is Called True Power.
From www.engineer4free.com
Determine the Power Consumed in a Series Circuit Engineer4Free The The Power Consumed By Is Called True Power the total power delivered by the source is the apparent power. The power which is actually consumed or utilised in an ac circuit is called true power or active power or real power. true power is doing all the work while reactive power is actually taking away from the power in the system making the true power work. The Power Consumed By Is Called True Power.
From quotefancy.com
Rhymefest Quote “True power is the power to empower others.” The Power Consumed By Is Called True Power real power (p), also known as true or active power, performs the “real work” within an electrical circuit. It is the actual outcomes of the electrical system which runs the electric circuits or load. true power is doing all the work while reactive power is actually taking away from the power in the system making the true power. The Power Consumed By Is Called True Power.
From www.numerade.com
SOLVED The power consumed in an electrical resistor is E2 given by P The Power Consumed By Is Called True Power Part of this apparent power, called true power, is dissipated by the circuit. the total power delivered by the source is the apparent power. real power (p), also known as true or active power, performs the “real work” within an electrical circuit. true power is doing all the work while reactive power is actually taking away from. The Power Consumed By Is Called True Power.
From www.electricaltechnology.org
Active, Reactive, Apparent and Complex Power. Simple explanation with The Power Consumed By Is Called True Power It is the actual outcomes of the electrical system which runs the electric circuits or load. the total power delivered by the source is the apparent power. The power which is actually consumed or utilised in an ac circuit is called true power or active power or real power. real power (p), also known as true or active. The Power Consumed By Is Called True Power.
From www.picturequotes.com
True Power Quotes True Power Sayings True Power Picture Quotes The Power Consumed By Is Called True Power the total power delivered by the source is the apparent power. It is the actual outcomes of the electrical system which runs the electric circuits or load. The power which is actually consumed or utilised in an ac circuit is called true power or active power or real power. real power (p), also known as true or active. The Power Consumed By Is Called True Power.
From quotefancy.com
Eckhart Tolle Quote “True Power is within, and it is available now.” The Power Consumed By Is Called True Power It is measured in kilowatt (kw) or mw. the total power delivered by the source is the apparent power. real power (p), also known as true or active power, performs the “real work” within an electrical circuit. true power is doing all the work while reactive power is actually taking away from the power in the system. The Power Consumed By Is Called True Power.