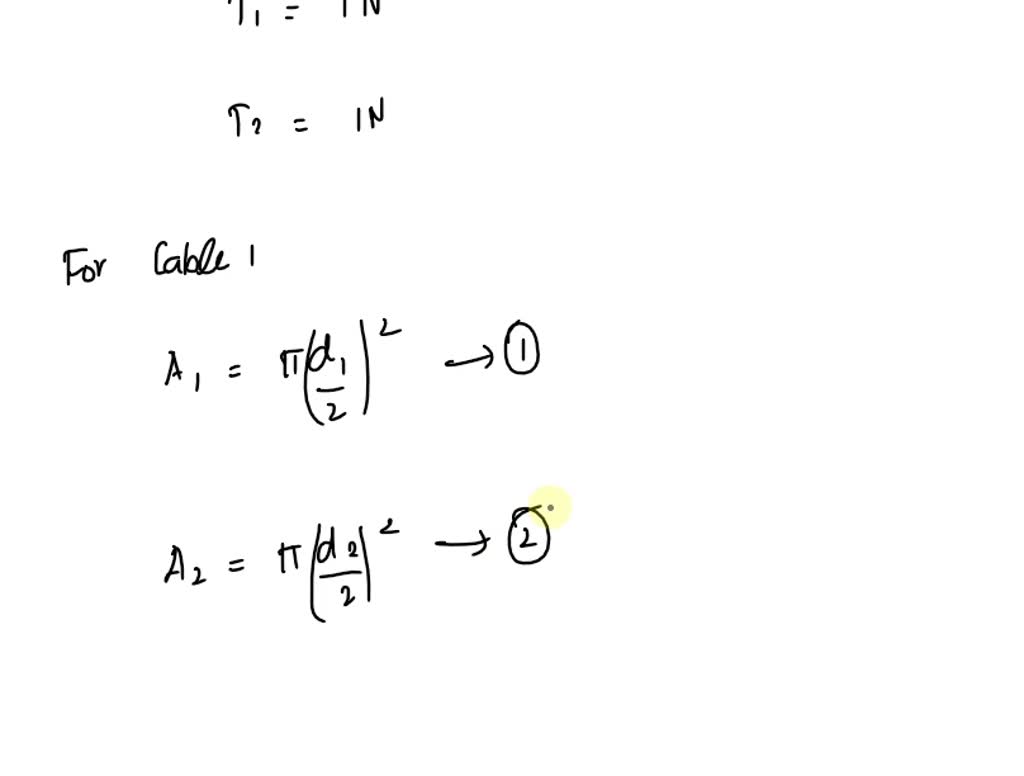
Steel Wire Of Diameter 0.5 Mm . 83 rows learn about the international standard wire sizes defined by iec 60228 and how to convert them to american. 55 rows how to convert awg to mm. The length of the wire with the load is 1.0 m,. Plus, calculate the size of a wire gauge in awg. A steel wire of diameter 0.5 mm and young modulus 2 × 10 11 n m − 2 carries a load of mass m. Convert american wire gauge (awg) to diameter and area values in inches (in) millimeters (mm) or circular mil area (cma) using the wire size. When calclating awg from diameter or cross sectional area, the diameter and cross sectional area are. Calculate the wire size needed for a circuit given the voltage and current rating required. Convert wire area from square mm to diameter mm. This wire allows heat and electricity to pass and resists oxide buildup, making it ideal for thermocouple probes, which require accurate.
from www.indiamart.com
When calclating awg from diameter or cross sectional area, the diameter and cross sectional area are. Convert american wire gauge (awg) to diameter and area values in inches (in) millimeters (mm) or circular mil area (cma) using the wire size. 83 rows learn about the international standard wire sizes defined by iec 60228 and how to convert them to american. Plus, calculate the size of a wire gauge in awg. A steel wire of diameter 0.5 mm and young modulus 2 × 10 11 n m − 2 carries a load of mass m. 55 rows how to convert awg to mm. Convert wire area from square mm to diameter mm. Calculate the wire size needed for a circuit given the voltage and current rating required. This wire allows heat and electricity to pass and resists oxide buildup, making it ideal for thermocouple probes, which require accurate. The length of the wire with the load is 1.0 m,.
Galvanized Stainless Steel Barbed Wire, Wire Diameter 2.5 mm at Rs 67
Steel Wire Of Diameter 0.5 Mm A steel wire of diameter 0.5 mm and young modulus 2 × 10 11 n m − 2 carries a load of mass m. Plus, calculate the size of a wire gauge in awg. The length of the wire with the load is 1.0 m,. This wire allows heat and electricity to pass and resists oxide buildup, making it ideal for thermocouple probes, which require accurate. A steel wire of diameter 0.5 mm and young modulus 2 × 10 11 n m − 2 carries a load of mass m. Convert wire area from square mm to diameter mm. When calclating awg from diameter or cross sectional area, the diameter and cross sectional area are. Calculate the wire size needed for a circuit given the voltage and current rating required. 83 rows learn about the international standard wire sizes defined by iec 60228 and how to convert them to american. Convert american wire gauge (awg) to diameter and area values in inches (in) millimeters (mm) or circular mil area (cma) using the wire size. 55 rows how to convert awg to mm.
From blog.tatanexarc.com
Steel wires Types, applications, benefits and more Steel Wire Of Diameter 0.5 Mm Calculate the wire size needed for a circuit given the voltage and current rating required. Convert american wire gauge (awg) to diameter and area values in inches (in) millimeters (mm) or circular mil area (cma) using the wire size. 83 rows learn about the international standard wire sizes defined by iec 60228 and how to convert them to american. The. Steel Wire Of Diameter 0.5 Mm.
From www.homedepot.com
OOK 110 ft. 25 lb. Galvanized Steel Wire 50131 The Home Depot Steel Wire Of Diameter 0.5 Mm 55 rows how to convert awg to mm. A steel wire of diameter 0.5 mm and young modulus 2 × 10 11 n m − 2 carries a load of mass m. Calculate the wire size needed for a circuit given the voltage and current rating required. This wire allows heat and electricity to pass and resists oxide buildup, making. Steel Wire Of Diameter 0.5 Mm.
From www.homedepot.com
OOK 100 ft. 5 lb. 28Gauge Galvanized Steel Wire 50138 The Home Depot Steel Wire Of Diameter 0.5 Mm Convert american wire gauge (awg) to diameter and area values in inches (in) millimeters (mm) or circular mil area (cma) using the wire size. The length of the wire with the load is 1.0 m,. Plus, calculate the size of a wire gauge in awg. Calculate the wire size needed for a circuit given the voltage and current rating required.. Steel Wire Of Diameter 0.5 Mm.
From hxekooayu.blob.core.windows.net
Steel Cable Diameter Chart at Louis Barbeau blog Steel Wire Of Diameter 0.5 Mm This wire allows heat and electricity to pass and resists oxide buildup, making it ideal for thermocouple probes, which require accurate. The length of the wire with the load is 1.0 m,. 83 rows learn about the international standard wire sizes defined by iec 60228 and how to convert them to american. Plus, calculate the size of a wire gauge. Steel Wire Of Diameter 0.5 Mm.
From glsteel.en.made-in-china.com
Factory 0.27mm Good Price High Quality Hot Dipped Galvanized Binding Steel Wire Of Diameter 0.5 Mm This wire allows heat and electricity to pass and resists oxide buildup, making it ideal for thermocouple probes, which require accurate. 83 rows learn about the international standard wire sizes defined by iec 60228 and how to convert them to american. Plus, calculate the size of a wire gauge in awg. Convert american wire gauge (awg) to diameter and area. Steel Wire Of Diameter 0.5 Mm.
From www.indiamart.com
Galvanized Stainless Steel Barbed Wire, Wire Diameter 2.5 mm at Rs 67 Steel Wire Of Diameter 0.5 Mm Plus, calculate the size of a wire gauge in awg. A steel wire of diameter 0.5 mm and young modulus 2 × 10 11 n m − 2 carries a load of mass m. 55 rows how to convert awg to mm. The length of the wire with the load is 1.0 m,. 83 rows learn about the international standard. Steel Wire Of Diameter 0.5 Mm.
From edurev.in
An aluminium wire has a diameter 0.5 mm and resistivity 2.8*10^6 ohm Steel Wire Of Diameter 0.5 Mm 83 rows learn about the international standard wire sizes defined by iec 60228 and how to convert them to american. This wire allows heat and electricity to pass and resists oxide buildup, making it ideal for thermocouple probes, which require accurate. Convert wire area from square mm to diameter mm. Plus, calculate the size of a wire gauge in awg.. Steel Wire Of Diameter 0.5 Mm.
From www.toppr.com
A steel wire of diameter 0.5 mm and Young modulus 2 × 10^11 N m^2 Steel Wire Of Diameter 0.5 Mm Calculate the wire size needed for a circuit given the voltage and current rating required. Convert american wire gauge (awg) to diameter and area values in inches (in) millimeters (mm) or circular mil area (cma) using the wire size. Plus, calculate the size of a wire gauge in awg. 55 rows how to convert awg to mm. A steel wire. Steel Wire Of Diameter 0.5 Mm.
From lowcostwire.com.au
5.0mm 7x19 G2070 Galvanised Steel Wire Rope for Lifting and Rigging Steel Wire Of Diameter 0.5 Mm 55 rows how to convert awg to mm. When calclating awg from diameter or cross sectional area, the diameter and cross sectional area are. This wire allows heat and electricity to pass and resists oxide buildup, making it ideal for thermocouple probes, which require accurate. Convert american wire gauge (awg) to diameter and area values in inches (in) millimeters (mm). Steel Wire Of Diameter 0.5 Mm.
From www.tisco-tech.com
Galvanzied Steel WireJiangsu Tisco Technology Co., Ltd. Steel Wire Of Diameter 0.5 Mm Calculate the wire size needed for a circuit given the voltage and current rating required. Plus, calculate the size of a wire gauge in awg. 55 rows how to convert awg to mm. A steel wire of diameter 0.5 mm and young modulus 2 × 10 11 n m − 2 carries a load of mass m. The length of. Steel Wire Of Diameter 0.5 Mm.
From mavink.com
Steel Wire Gauge Chart Steel Wire Of Diameter 0.5 Mm Plus, calculate the size of a wire gauge in awg. Calculate the wire size needed for a circuit given the voltage and current rating required. 83 rows learn about the international standard wire sizes defined by iec 60228 and how to convert them to american. Convert wire area from square mm to diameter mm. A steel wire of diameter 0.5. Steel Wire Of Diameter 0.5 Mm.
From www.toppr.com
A steel wire of diameter 0.4 mm is heated upto 250^oC and then rigidity Steel Wire Of Diameter 0.5 Mm This wire allows heat and electricity to pass and resists oxide buildup, making it ideal for thermocouple probes, which require accurate. 83 rows learn about the international standard wire sizes defined by iec 60228 and how to convert them to american. Plus, calculate the size of a wire gauge in awg. Calculate the wire size needed for a circuit given. Steel Wire Of Diameter 0.5 Mm.
From riyadh-cables.com
0.6/1 kV, Copper, Multi core (≤5), Lead Alloy Sheathed, Steel Wire Steel Wire Of Diameter 0.5 Mm 55 rows how to convert awg to mm. The length of the wire with the load is 1.0 m,. Convert american wire gauge (awg) to diameter and area values in inches (in) millimeters (mm) or circular mil area (cma) using the wire size. 83 rows learn about the international standard wire sizes defined by iec 60228 and how to convert. Steel Wire Of Diameter 0.5 Mm.
From brainly.in
On increasing the length by 0.5 mm in a steel wire of length 2 m and Steel Wire Of Diameter 0.5 Mm A steel wire of diameter 0.5 mm and young modulus 2 × 10 11 n m − 2 carries a load of mass m. 83 rows learn about the international standard wire sizes defined by iec 60228 and how to convert them to american. 55 rows how to convert awg to mm. This wire allows heat and electricity to pass. Steel Wire Of Diameter 0.5 Mm.
From www.aliexpress.com
100M/Roll AISI 304 Stainless Steel Wire Rope 7X7 Structure 0.5 MM Steel Wire Of Diameter 0.5 Mm The length of the wire with the load is 1.0 m,. Convert american wire gauge (awg) to diameter and area values in inches (in) millimeters (mm) or circular mil area (cma) using the wire size. 83 rows learn about the international standard wire sizes defined by iec 60228 and how to convert them to american. Convert wire area from square. Steel Wire Of Diameter 0.5 Mm.
From www.ebay.com
304 Stainless Steel Wire Rope Cable PVC Clear Plastic Coated 0.6mm12mm Steel Wire Of Diameter 0.5 Mm Convert american wire gauge (awg) to diameter and area values in inches (in) millimeters (mm) or circular mil area (cma) using the wire size. 55 rows how to convert awg to mm. This wire allows heat and electricity to pass and resists oxide buildup, making it ideal for thermocouple probes, which require accurate. Calculate the wire size needed for a. Steel Wire Of Diameter 0.5 Mm.
From www.longtengspecialsteel.com
Hot Rolled Low Carbon Iron 5.5mm Steel Wire ER70SG Steel Wire Of Diameter 0.5 Mm When calclating awg from diameter or cross sectional area, the diameter and cross sectional area are. Plus, calculate the size of a wire gauge in awg. The length of the wire with the load is 1.0 m,. Convert wire area from square mm to diameter mm. Convert american wire gauge (awg) to diameter and area values in inches (in) millimeters. Steel Wire Of Diameter 0.5 Mm.
From askfilo.com
[Adv. 2019]52. A steel wire of diameter 0.5 mm and Young's modulus 2×101.. Steel Wire Of Diameter 0.5 Mm This wire allows heat and electricity to pass and resists oxide buildup, making it ideal for thermocouple probes, which require accurate. When calclating awg from diameter or cross sectional area, the diameter and cross sectional area are. Plus, calculate the size of a wire gauge in awg. 55 rows how to convert awg to mm. The length of the wire. Steel Wire Of Diameter 0.5 Mm.
From www.toppr.com
2. A steel wire of diameter 0.8 mm and length 1m is clamped firmly two Steel Wire Of Diameter 0.5 Mm This wire allows heat and electricity to pass and resists oxide buildup, making it ideal for thermocouple probes, which require accurate. 55 rows how to convert awg to mm. Plus, calculate the size of a wire gauge in awg. Calculate the wire size needed for a circuit given the voltage and current rating required. 83 rows learn about the international. Steel Wire Of Diameter 0.5 Mm.
From www.coursehero.com
[Solved] A metal wire of diameter 1.00 mm can support a tension Steel Wire Of Diameter 0.5 Mm Plus, calculate the size of a wire gauge in awg. Convert american wire gauge (awg) to diameter and area values in inches (in) millimeters (mm) or circular mil area (cma) using the wire size. 55 rows how to convert awg to mm. A steel wire of diameter 0.5 mm and young modulus 2 × 10 11 n m − 2. Steel Wire Of Diameter 0.5 Mm.
From askfilo.com
9.5 Two wires of diameter 0.25mathrm cm, one made of steel and the other Steel Wire Of Diameter 0.5 Mm Convert american wire gauge (awg) to diameter and area values in inches (in) millimeters (mm) or circular mil area (cma) using the wire size. A steel wire of diameter 0.5 mm and young modulus 2 × 10 11 n m − 2 carries a load of mass m. The length of the wire with the load is 1.0 m,. Convert. Steel Wire Of Diameter 0.5 Mm.
From askfilo.com
A steel wire of diameter 0.5 mm and Young's modulus 2×1011 N m−2 carries Steel Wire Of Diameter 0.5 Mm Convert american wire gauge (awg) to diameter and area values in inches (in) millimeters (mm) or circular mil area (cma) using the wire size. This wire allows heat and electricity to pass and resists oxide buildup, making it ideal for thermocouple probes, which require accurate. 83 rows learn about the international standard wire sizes defined by iec 60228 and how. Steel Wire Of Diameter 0.5 Mm.
From www.indiamart.com
Stainless Steel fence, Wire Diameter 1.5 mm at best price in Chennai Steel Wire Of Diameter 0.5 Mm This wire allows heat and electricity to pass and resists oxide buildup, making it ideal for thermocouple probes, which require accurate. The length of the wire with the load is 1.0 m,. When calclating awg from diameter or cross sectional area, the diameter and cross sectional area are. 55 rows how to convert awg to mm. A steel wire of. Steel Wire Of Diameter 0.5 Mm.
From www.doubtnut.com
A metal wire of diameter 2 mm and length 100 m has a resistance of 0.5 Steel Wire Of Diameter 0.5 Mm A steel wire of diameter 0.5 mm and young modulus 2 × 10 11 n m − 2 carries a load of mass m. The length of the wire with the load is 1.0 m,. Plus, calculate the size of a wire gauge in awg. 55 rows how to convert awg to mm. Convert american wire gauge (awg) to diameter. Steel Wire Of Diameter 0.5 Mm.
From www.heremesh.com
Specifications of stainless steel cable mesh Stainless Steel Cable Steel Wire Of Diameter 0.5 Mm Plus, calculate the size of a wire gauge in awg. When calclating awg from diameter or cross sectional area, the diameter and cross sectional area are. The length of the wire with the load is 1.0 m,. A steel wire of diameter 0.5 mm and young modulus 2 × 10 11 n m − 2 carries a load of mass. Steel Wire Of Diameter 0.5 Mm.
From www.frontiersuniversal.com
Different Grades of Stainless Steel Wire and Their Uses Frontiers Steel Wire Of Diameter 0.5 Mm 83 rows learn about the international standard wire sizes defined by iec 60228 and how to convert them to american. The length of the wire with the load is 1.0 m,. Convert wire area from square mm to diameter mm. This wire allows heat and electricity to pass and resists oxide buildup, making it ideal for thermocouple probes, which require. Steel Wire Of Diameter 0.5 Mm.
From alexnld.com
1.5mm Stainless Steel Wire Rope Tensile Diameter Structure Cable Steel Wire Of Diameter 0.5 Mm The length of the wire with the load is 1.0 m,. Calculate the wire size needed for a circuit given the voltage and current rating required. Convert american wire gauge (awg) to diameter and area values in inches (in) millimeters (mm) or circular mil area (cma) using the wire size. Convert wire area from square mm to diameter mm. When. Steel Wire Of Diameter 0.5 Mm.
From www.numerade.com
SOLVED A steel wire of diameter 1 mm can support a tension of 0.2 kN Steel Wire Of Diameter 0.5 Mm This wire allows heat and electricity to pass and resists oxide buildup, making it ideal for thermocouple probes, which require accurate. Calculate the wire size needed for a circuit given the voltage and current rating required. 55 rows how to convert awg to mm. The length of the wire with the load is 1.0 m,. Convert wire area from square. Steel Wire Of Diameter 0.5 Mm.
From www.tradeindia.com
Silver 0.37 Mm To 5.00 Mm Material Mild Steel Gi Wire Glavanised Iron Steel Wire Of Diameter 0.5 Mm Plus, calculate the size of a wire gauge in awg. Convert wire area from square mm to diameter mm. Calculate the wire size needed for a circuit given the voltage and current rating required. 55 rows how to convert awg to mm. A steel wire of diameter 0.5 mm and young modulus 2 × 10 11 n m − 2. Steel Wire Of Diameter 0.5 Mm.
From www.indiamart.com
1 Meter Insulated Stainless Steel Cable, Thickness 5mm, Thickness 0. Steel Wire Of Diameter 0.5 Mm Plus, calculate the size of a wire gauge in awg. 83 rows learn about the international standard wire sizes defined by iec 60228 and how to convert them to american. 55 rows how to convert awg to mm. The length of the wire with the load is 1.0 m,. When calclating awg from diameter or cross sectional area, the diameter. Steel Wire Of Diameter 0.5 Mm.
From www.tecni.uk
5mm 7x19 Galvanised Steel Cable MBL 2029kgs 504.000.050 Steel Wire Of Diameter 0.5 Mm 55 rows how to convert awg to mm. Calculate the wire size needed for a circuit given the voltage and current rating required. A steel wire of diameter 0.5 mm and young modulus 2 × 10 11 n m − 2 carries a load of mass m. This wire allows heat and electricity to pass and resists oxide buildup, making. Steel Wire Of Diameter 0.5 Mm.
From riyadh-cables.com
Home / Products / Low Voltage Cables (LV) / 0.6/1 kV, Copper, Single Steel Wire Of Diameter 0.5 Mm The length of the wire with the load is 1.0 m,. This wire allows heat and electricity to pass and resists oxide buildup, making it ideal for thermocouple probes, which require accurate. 55 rows how to convert awg to mm. Plus, calculate the size of a wire gauge in awg. Convert wire area from square mm to diameter mm. Calculate. Steel Wire Of Diameter 0.5 Mm.
From www.amazon.com
Galvanized Steel Wire 6 Gauge, Thickness 5mm (0.197in Steel Wire Of Diameter 0.5 Mm Convert wire area from square mm to diameter mm. The length of the wire with the load is 1.0 m,. Convert american wire gauge (awg) to diameter and area values in inches (in) millimeters (mm) or circular mil area (cma) using the wire size. This wire allows heat and electricity to pass and resists oxide buildup, making it ideal for. Steel Wire Of Diameter 0.5 Mm.
From www.indiamart.com
Stainless Steel Polished H Barbed Wire, Wire Diameter 2.5 mm at Rs 250 Steel Wire Of Diameter 0.5 Mm When calclating awg from diameter or cross sectional area, the diameter and cross sectional area are. A steel wire of diameter 0.5 mm and young modulus 2 × 10 11 n m − 2 carries a load of mass m. The length of the wire with the load is 1.0 m,. Calculate the wire size needed for a circuit given. Steel Wire Of Diameter 0.5 Mm.
From www.lazada.sg
5/10 Meter Steel PVC Coated Flexible Wire Rope soft Cable Transparent Steel Wire Of Diameter 0.5 Mm Convert wire area from square mm to diameter mm. When calclating awg from diameter or cross sectional area, the diameter and cross sectional area are. Plus, calculate the size of a wire gauge in awg. 55 rows how to convert awg to mm. This wire allows heat and electricity to pass and resists oxide buildup, making it ideal for thermocouple. Steel Wire Of Diameter 0.5 Mm.